Өнеркәсіпті ұйымдастыру, жоспарлау және басқару трансформатор жасау өндірісін ұйымдастыру


ӨНЕРКӘСІПТІ ҰЙЫМДАСТЫРУ, ЖОСПАРЛАУ ЖӘНЕ
БАСҚАРУ
ТРАНСФОРМАТОР ЖАСАУ ӨНДІРІСІН ҰЙЫМДАСТЫРУ
МАЗМҰНЫ
Кіріспе . . .
1 Тапсырма . . .
2 Жабдықты таңдау және есептеу . . .
3 Өндірістік ырғақ . . .
4 Жабдықты орналастыру және басқа бөлімдердің сызбасы . . .
5 Көлік таңдау . . .
6 Негізгі жұмысшылар саны және жалақының есебі . . .
7 Көмекші жұмысшылар саны мен жалақының есебі . . .
8 Негізгі және қосымша шикізаттар қажеттілігін есептеу . . .
9 Өндірісті дайындау . . .
10 Техникалық бақылау . . .
11 Автоматтау және автоматтық басқару мәселелер . . .
12 Цехтың құрылымы . . .
13 Жобаға кететін күрделі қаржы . . .
14 Бұйымның өз құны . . .
15 Маркетинг және нәтиже . . .
16 Техника-экономикалық көрсеткіштер . . .
Әдебиеттер тізімі . . .
2. ЖАБДЫҚТЫ ТАҢДАУ ЖӘНЕ ЕСЕПТЕУ
Бір трансофрматорды жасау үшін мынадай операциялар және уақыт ережелері «
» белгілі, мин:
- Бір трансформаторларға қаңылтырларды ою - 6, 1;
- Қаңылтырларды лактау - 5, 2;
- Қаңылдытралрдан екі өзекшені жинау - 7, 0;
- бір өзекшеде орамды орау - 8, 5;
- Басқа өзекшеде орамды орау - 8, 0;
- Орамдарды өңдеу - 5, 4;
- Трасформаторды құрастыру - 8, 3;
- Сымдардың ұштарын дәнекерлеу - 7, 8;
- Трансформаторды тексеру - 4, 0.
Осы көрсетілген уақытты «0» вариантқа пайдалану керек. Басқа вариатнттардың уақыттары
. Әрбір операцияға қажетті жабдықта табу керек. Жабдықтың саны былай есептеледі:
Мұндағы, К - жылдық трансформатордың көлемі,
- жоғарғы айтылған уақыт ережелері, У - бір сменаның жылдық уақыт қоры (52 апта*40 сағат - 5*8) *60, П - сменанлардың саны (тақ субварианттарда - үш смена, жұп субварианттарда - екі смена) .
Есептелген станоктар саны бүтін санға келтіріледі (С
б
) . Станоктар санына (С
б
) қарасақ, ең жиі кездесетіні - 3. Бұл сан ағынды сызықтарды көрсетеді. Сонда басқа станоктардың санын 3-ке сәйкес аламыз (Ск) . Станок пайдалану коэфициенті
. Егер Кп>1 болса, арнайы шараларды ұйымдастыру керек.
Есептеу жүргізу .
1. Штампылық операция:
;
дана=1. 8 дана;
дана;
3 дана;
2. Сырлау станогы
дана=1. 5 дана;
дана;
3 дана;
3. Жинау стенді
дана=2. 1 дана;
дана;
3 дана;
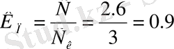
4. Орау станок
дана=2. 6 дана;
дана;
3 дана;
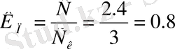
5. Орау станок
дана=2. 4 дана;
дана;
3 дана;
6. Өңдеу стенд
дана=1, 6 дана;
дана;
3 дана;
7. Құрастыру стенд
дана=2. 5 дана;
дана;
3 дана;
8. Дәнекерлеу стенд
дана=2. 4 дана;
дана;
3 дана;
9. Тексеру стенд
дана=1. 2 дана;
дана;
3 дана;
Қорытынды кестеге жазылады.
1-кесте


3. ӨНДІРІСТІК ЫРҒАҚ (РИТМ)
Жоғарыда есептелген станоктарды тізбекті орналастырып, конфецерді ұйымдастыру керек.
Бөлшектерді жылжыту үшін, ырғақтық конвейерді пайдалануға болады. Конвейерді өндірістік ырғағы былай есептеледі:
Мұндағы У - бір сменаның жылғы уақыт қоры, П- сменалар саны, а - ағынды сызықтың саны, К - бұйымның жылғы көлемі.
Өндірістің көбінде жабдықтың жұмыстың автоматтандырып, әрбір операциялар уақытын есептеген ырғаққа жақындатады. Сонда әртүрлі станоктардың саны бір-біріне тең емес немесе сәйкес болады.
Өндіріс циклы
Мұндағы О - операциялардың түрлері.
Конвейердің ұзындығы
Мұндағы, У 1 - станоктың орташа ұзындығы, У 1 =7*l деп алуға болады ( l - трансформатордың ұзындығы) ; С Т - тізбекті әдіспен қойған станоктың саны; У 2 - станоктардың арасы (0, 7-0, 9 м. ) .
Конвейердің жалпы жылдамдығы
Есептеу жүргізу .
1. Конвейердің өндірістік ырғағын есептеу:
2. Өндіріңс циклы
3. Конвейердің ұзындығы
4. Конвейердің жалпы жылдамдығы
4. ЖАБДЫҚТЫ ОРНАЛАСТЫРУ ЖӘНЕ БАСҚА БӨЛІМДЕРДІҢ СЫЗБАСЫ
1:100 масштабында цехтың сызбасы №1 жасалынуы керек. Цехта тіректер (0, 50*0, 50 м) әрбір 6 метрде цехтың ұзыннан және 12 м енінен қойылады, яғни тіректер торы 6*12 м. Цехтың ені 24 немесе 36 метр, ұзындығы керегінше болуы керек.
Сызбада әуелі конфейерлердің есептелген санын орналастырып, ал станоктардың өлшемдерін арнайы анықтамадан алу керек. Өлшемі табылмаған станоктарды төрт бұрыштық деп санап, ұзындығын 7*1, енін 3*1 деп алуға болады.
Станоктардың ұзындығының арасы айтылғандай 0, 9 м, ал ағынды сызықтардың таза арасы 3, 0 м болуы керек.
Әр станоктың қасына жұмыс орны 0, 7*0, 6 м төрт бұрыштық болып көрсетілуі тиіс. Конвейердің ені 0, 5 м, ұзындығы керек бойынша. Бөлшек конвейерден алынып, станокта өңделеді. Кейбір станоктың қасында сол жақта кіретін бөлшектер, оң жақта шығатын бөлшектер қоймалары болуы керек.
Содан кейін цехта шикізаттардың және дайын бұйымның қоймалары жобалануы керек. Қоймалардың аудандары:
мұндағы, к - сақталатын шикізаттың көлемі, яғни
қаңылтыр
мыс
,
К
у
- бір шаршы метрде заттың сақталатын көлемі;
- ауданның пайдалану коэффициенті (0, 6-0, 7) .
Дайын бұйымның қоймасы да бір айда шығарылған трансформатордың көлеміне жететін болуы керек.
Сондай-ақ, желдеткіш бөлме, электробөлме және басқа көмекші бөлмелер көзделену керек. Есептелген аудандарды сызбада көрсету керек.
Қоймаларға машина кіретіндей етіп, қақпа тамбур арқылы жобалануы керек.
Қоймалар цехқа түсетін күн сәулесін жаппау керек.
Әкімшілік - басқаруы қызметкерлеріне арналған бөлмелерді жалпы цехта, кейде бөлек үйде орналастырады. Цех бастығы, орынбасары, қабылдау бөлмелері 18м
2
тең. Басқаларға кеңселік жұмыс ауданын былай есептеуге болады:
, мұндағы С - басқару аппаратының саны (12-ші тармақтан алынады немесе 12-13 адам деп алуға болады), б - бір адамға қажетті жұмыс ауданы (6 м
2
) .
Содан басқа асханаша шамамен 54 м2, дене жуғыштар, дәретханалар, вестибюль, дәліздер, тамбурлар қажет. Бір дене жуғыш кабинасы 1х1 м. Дәретхана унитаз, бидэ, қол жуғыш болу керек. Орын жетсе, цехта физио кабинет болуы мүмкін. Әкімшілік бөлмелері оңтүстік жақта орналасады.
Есептеу жүргізу
1. Темір қаңылтыр қоймасының ауданын есептеу
м 2
- Мыстық сым қоймасының ауданын есептеу
![]()
м 2
- Лак қоймасының ауданын есептеу
![]()
![]()
4. Изоляциялық қағаз (8 %мыстық сымнан)
![]()
Қорытынды кесте

5. КӨЛІК ТАҢДАУ
Қоймалармен байланысты сыртқы және ішкі көліктерді таңдау керек, олардың тізімін жазып, бағаларын қою керек.
3-кесте
Әдетте, шикізатты, дайын бұйымды жақын тұрған теміржол стансасына дейін жеткізу сатушының міндеті, ол шығындар бағаға қосылады.
- НЕГІЗГІ ЖҰМЫСШЫЛАР САНЫ ЖӘНЕ
ЖАЛАҚЫНЫҢ ЕСЕБІ
Бір сменадағы жұмысшылардың саны станоктар санына тең болуы керек, (Ск) +екі адам (шикізат әкелуші, бұйымды әкетуші) .
Әрбір операцияда істейтін жұмысшылар разряды мен жалақысы былай есептеледі:
0. Шикізат әкелуші
теңге
1. Штампышы
Жалақы=7600*1, 45=11020 теңге
2. Сырлаушы
Жалақы=7600*1, 3=9880 теңге
3. Жинаушы
Жалақы=7600*1, 3=9880 теңге
- Ораушы
Жалақы=7600*1, 45=11020 теңге
6. Өңдеуші
Жалақы=7600*1, 6=12160 теңге
7. Құрастырушы
Жалақы=7600*1, 75=13300 теңге
8. Дәнекерлеуші
Жалақы=7600*1, 6=12160 теңге
9. Тексеруші
Жалақы=7600*1, 75=13300 теңге
Бұйымды әкетуші
Жалақы=7600*1, 15=8740 теңге
Қорытынды төмендегі кестеге жазылады.
4 кесте
Разрядтық
коэф.

Әрбір разрядтың жалақысы разрядтың коэффициентіне сәйкес болу керек. Мұнда әрбір ақша есептерін теңгемен көрсету керек, ал тиындарды санаудың қажеті жоқ.
Жалпы цехтағы айлық жалақы былай есептеледі:
1. Шикізат әкелуші
Жалпы айлық жалақы =9*7600=68400 теңге
2. Штампышы
Жалпы айлық жалақы =9*11020=99180 теңге
3. Сырлаушы
Жалпы айлық жалақы =9*9880=88920 теңге
4. Жинаушы
Жалпы айлық жалақы =9*9880=88920 теңге
5. Ораушы
Жалпы айлық жалақы =18*11020=198360 теңге
6. Өңдеуші
Жалпы айлық жалақы =9*12160=109440 теңге
7. Құрастырушы
Жалпы айлық жалақы =9*13300=119700 теңге
8. Дәнекерлеуші
Жалпы айлық жалақы =9*12160=109440 теңге
9. Тексеруші
Жалпы айлық жалақы =9*13300=119700 теңге
10. Бұйымды әкетуші
Жалақы=9*8740=78660 теңге
Қорытынды төмендегі кестеге жазылады.
5-кесте
Жұмысшының
мамандығы
1080
7 КӨМЕКШІ ЖҰМЫСШЫЛАР САНЫ МЕН ЖАЛАҚЫНЫҢ ЕСЕБІ
Қажетті көмекші жұмысшылар санын студент өзі ойлап табу керек. Көмекші жұмысшыларға қоймашылар, жүкші, станок реттейтін және жөндейтіндер, жұмысшылар, электриктер, күзетшілер, тазалаушылар т. б. жатады.
Көмекші жұмысшылардың жалақысы негізгі жұмысшылар жалақысынан артпау керек, яғни олардың разряды 1, 2, 3, 4 ғана.
6 - кесте
8 НЕГІЗГІ ЖӘНЕ ҚОСЫМША ШИКІЗАТТАРДЫ ЕСЕПТЕУ
Мұнда барлық шикізат шығындары ережелер арқылы саналады. Ереже арнайы техникалық анықтамалардан алынады. Трансформатордың басқа ұзындығының ережесі былай есептеледі:
- Қаңылтыр
![]()
Жылдық шығын= Е*К=12*60=720
Жылдық ақша шығын= Жылдық шығын* Бір өлшемнің бағасы=720*10=7200 тенге
- Лак
![]()
Жылдық шығын= Е*К=0, 2*60=12
Жылдық ақша шығын= Жылдық шығын*Бір өлшемнің бағасы=12*70=840 тенге
- Мыстық сым
![]()
Жылдық шығын= Е*К=8*60=480
Жылдық ақша шығын= Жылдық шығын*Бір өлшемнің бағасы=480*180=86400 тенге
- Картон
![]()
Жылдық шығын= Е*К=0, 04*60=2, 4
Жылдық ақша шығын= Жылдық шығын*Бір өлшемнің бағасы=2, 4*35=84 тенге
- Пластмаса
![]()
Жылдық шығын= Е*К=0, 02*60=1, 2
Жылдық ақша шығын= Жылдық шығын*Бір өлшемнің бағасы=1, 2*130=156 тенге
- Қалайы
![]()
Жылдық шығын= Е*К=0, 012*60=0, 72
Жылдық ақша шығын= Жылдық шығын*Бір өлшемнің бағасы=0, 72*200=144 тенге
- Мастика
![]()
Жылдық шығын= Е*К=0, 12*60=7, 2
Жылдық ақша шығын= Жылдық шығын*Бір өлшемнің бағасы=7, 2*200=1440 тенге
7 - кесте
Қорытынды: 96 мың тг,
Айлық шығын: 8 мың тг,
Қорытындыдан 15% қосылған құнның салығы - 15 мың тг.
9 ӨНДІРІСТІ ДАЙЫНДАУ
Инженерлік дайындау мақсаты - жаңа немесе өзгерген бұйымның идеясын табу, бұйымды жобалау, бұйымды шығару, жоғары сапасына жету. Жаңаруына орай машиналарды төрт топқа бөледі:
а) ортақ шығаратын бұйымның
б) машинада көп бөлшектер өзгерген
в) машинаның немесе аспаптың мөлшері және қуаты басқа қасиеттері өзгерген
г) өмірде болмаған.
Машинаның жаңалығына және құрамына сәйкес инженерлік дайындалуының көлемі қажет болады. әрбір кәсіпорында жыл сайын техникалық дамыту жоспары жазылады. Сонда инженерлік дайындау жұмыстары көзделеді. Инженерлік дайындауды үш сатыға бөлуге болады:
а) ғылыми-техникалық дайындау
б) конструкциялық дайындау
в) технологиялық дайындау
Ғылыми-техникалық дайындау бұл ғылыми техниканы негіз етіп, қажетті бұйымды шығаруға мақсат қою. Конструкциялық дайындау машинаның нақты сызбаларын сызу. Сызбаларды жасағанда „Бірыңғай конструкциялық құжаттар жүйесі” гостары пайдаланады. Бұл жүйеге 180-ге жақын ГОСТ кіреді.
Конструкциялық жұмыстардың бағаы және оларды жасау үшін қажет уақыт арнаулы анықтамалылықтарда бекітілген. Конструкциялық сызбалар көбінесе бір рет жасалынады. Олар жұмыс жобасы деп аталады. Машинаның конструкциясы құрамды болса және бірінші рет жасалған болса, сызбаларды екі рет жасауы мүмкін.
1-ші саты жоба.
2-ші саты жұмыстық құжат.
Машинаның сызбаларын жасағанда, конструкторлық мынадай талаптар жасалуы тиіс:
- бұйым қарапайым болу керек (артық бөлшектер болмау керек) ;
- бұйымның материалдары арзан және жеткілікті болу керек;
- бұйым жеңіл шағын болу керек;
- бұйым мықты ұзақ өмір болу керек;
- технологиясы ыңғайлы болу керек;
- орынбасарлық келешек бұйымдарда бұрынғы бұйымдардың бөлшегі
болу керек;
- бұйымдар стандартталған болу керек;
- бұйымның бөлшектері унификацияланған, яғни көп бұйымдарға
қажет болу керек.
11 АВТОМАТТАУ ЖӘНЕ АВТОМАТТЫҚ БАСҚАРУ МӘСЕЛЕЛЕРІ
Автоматты басқару жүйелерiн өндiруге адам денсаулығына зиян келтiретiн қауыпты жұмыстарды механикаландыруға микропроцессорлық техника кеңiнен пайдаланылады.
Автоматтандыру деп - адамды тiкелей технологиялық процестерден босататын автоматты құрылғыларды пайдалануды айтады.
Автомат - өндiрiстiк процестi адамның қатысуынсыз, тек оның бақылауымен жүзеге асыратын құрылғы (машина, аппарат, аспап) .
Автоматты басқару теориясы (АБТ) деп, жүйелерде өтетiн процестердiң физикалық негiзiнде тәуелсiз техникалық немесе технологиялық процестердi, басқару мен бақылау функцияларын адамның тiкелей қатысуынсыз орындайтын, автоматты жүйелердi есептеу тәсiлдерiмен құру принциптерiн зерттеумен шұғылданатын ғылыми тәсiлдi айтады.
Кибернетика деп - әр түрлi қызмет атқаруға тағайындалған (жанды және жансыз) обьектiлерiмен және күрделi дамып тұратын жүйелермен мақсатты бағытталған басқару туралы ғылымды айтуға болса, онда АБТ кибернетика теория негiзi болады.
АБТ алғашқы 1868 жылы пайда болған, сол жылы ағылшын физигi Максвелдің реттеушiлер туралы мақаласы шыққан. Бiрақ, ол мақала тәжiрибе жүзiнде қолдануын таппады. 1872 - 1876 жылдар аралығында орыс механигi Высшнеграцкий екi еңбек жазды:
- Тiкелей әрекеттi реттеушiлер;
- Реттеушiлердiң жалпы теориясы.
Осы еңбектерге АБТ негiзi салынды.
Автоматты реттеу дегенiмiз - обьектiнiң жағдайын сипаттауға тағайындалған шаманы бiрқалыпты қолдану немесе оны белгiлi заң бойынша өзгерту процесi.
Ол процесс обьектiнiң жағдайын немесе оған әрекет етiп тұратын ауытқушы әсерлердi өлшеу және реттеу органына әрекет ететiн әсердi айтады.
Басқару мен реттеу анықтамаларын салыстыра отырып, барлық реттеу мәселелерi қарапайым жағдайларда басқару мәселелерiне кiредi деуге болады.
Автоматты жүйелер арналуына және конструкторлық орындалуына қарай әртүрлі болады. Оларды негізгі 2 бөлшектерге бөлуге болады.
- Басқарылатын объект (БО)
- Басқару құрылғы (БҚ)
Оларды функционалдық схемада келесідей көрсетуге болады
кіріс шығыс
кіріс шығыс
Нұсқамалармен сигналдың өту бағыты көрсетіледі.
БО- техникалық (технологиялық) процесті жүзеге асыратн құрылғы немесе құрылғылар жиынтығы. БО жылжитын және жылжымайтын болуы мүмкін. АБЖ жылжитын объектісіне келесілер жатады: кемелер, поездар, ұшқыштар, ракеталар, ғарыштар. Жылжымайтын объект: агрегаттар, механизмдер, технологиялық және энергетикалық процестер, қондырғылар (бу пештері, айнымалы пештері) .
БҚ (автоматты реттеуіш, жай реттеуіш) белгілі заңға (алгоритмге, бағдарламаға) сәйкес басқарылатын объектіге әсер етіп тұратын, техникалық құрылғыны айтады.
Мысал: ұшқыштағы және ракеталардағы автопилоттар, басқарушы, ЭЕМ.
Қандай болмасын өндірістік қондырғыларда, машиналарда, аппараттарда өтетін түрлі техникалық процессті бір немесе бірнеше көрсеткіштермен сипаттауға болады. Сол көрсеткіштер әртүрлі механикалық, физикалық, химиалық шамалар болып келеді. Мысалы: жылдамдық, жол, уақыт, қысым, температура, көлем. Олар нақтылы жағдайға байланысты белгілі бір заңға сәйкес өзгеруі не тұрақты болуы мүмкін. Басқару тәжірибесінде оларды процестің параметрлер координаталары немесе басқарылатын объектінің шығу шамалары дейді. Басқарылатын параметрлер деп шығу параметрлерінің арасындағы параметрлерді айтады, егер реттеу процессі сол бойынша жүргізілсе.
Реттелінетін шаманың өзгерісін тудыратын әсерлер басқару және ауытқушы болып бөлінеді. Реттелетін шаманың өзгерту заңдылығын анықтайтын және басқару құрылғымен өндірілетін әсер - бұл басқару әсері. Ал басқару әсерімн реттелетін шама арасындағы байланысқа ықпал ететін барлық басқа әсерлер ауытқушы әсерлерге жатады. Егер объектіге әрекет ететін әсерлердің және реттелетін шамалардың саны бірден бір болса келесідей болады.
y(t)
- Іс жүргізу
- Автоматтандыру, Техника
- Алғашқы әскери дайындық
- Астрономия
- Ауыл шаруашылығы
- Банк ісі
- Бизнесті бағалау
- Биология
- Бухгалтерлік іс
- Валеология
- Ветеринария
- География
- Геология, Геофизика, Геодезия
- Дін
- Ет, сүт, шарап өнімдері
- Жалпы тарих
- Жер кадастрі, Жылжымайтын мүлік
- Журналистика
- Информатика
- Кеден ісі
- Маркетинг
- Математика, Геометрия
- Медицина
- Мемлекеттік басқару
- Менеджмент
- Мұнай, Газ
- Мұрағат ісі
- Мәдениеттану
- ОБЖ (Основы безопасности жизнедеятельности)
- Педагогика
- Полиграфия
- Психология
- Салық
- Саясаттану
- Сақтандыру
- Сертификаттау, стандарттау
- Социология, Демография
- Спорт
- Статистика
- Тілтану, Филология
- Тарихи тұлғалар
- Тау-кен ісі
- Транспорт
- Туризм
- Физика
- Философия
- Халықаралық қатынастар
- Химия
- Экология, Қоршаған ортаны қорғау
- Экономика
- Экономикалық география
- Электротехника
- Қазақстан тарихы
- Қаржы
- Құрылыс
- Құқық, Криминалистика
- Әдебиет
- Өнер, музыка
- Өнеркәсіп, Өндіріс
Қазақ тілінде жазылған рефераттар, курстық жұмыстар, дипломдық жұмыстар бойынша біздің қор #1 болып табылады.

Ақпарат
Қосымша
Email: info@stud.kz