Математикалық модельдің құрылуы және таралу динамикасы


РЕФЕРАТ
Бітіру жұмысыміның көле: 2 тараудан, 41 бет, 25 сурет, 15 график, 2 кестеден тұрады.
Кілттік сөздер: Өткір ішек инфекциясы, SIR моделі, шигелла, дизентерия, орнықтылық шарты, стационар шешім, математикалық модел.
Бұл жұмыста SIR моделін пайдалана отырып, шигелланың математикалық моделін құрдық, шигелланың математикалық моделі теңдеуінің стацонарлы шешімдері табылды, стационарлы шешімді пайдаланып теңдеу тұрақтылыққа зерттелді. Шигелла ауруының патогенезі бойынша, модель халықтың құбылмалылығын қоса есептейтін SIR жүйесімен құрылды. Халықты жас мөлшерімен бөліп зерттеу жүргізілді.
Жұмыстың барысында математикалық модел стационарлыққа зерттелді, математикалық моделді пайдаланып графиктер тұрғызылды, орнықтылық шартына зерттелді, стационар шешім арқылы MathCad бағдарламасында графиктер тұрғызылды.
Жұмыстың мақсаты:
- Өткір ішек инфекциясының SIR моделін қолдана отырып және оған вакцинациялау теңдеуін қосып математикалық моделін құру.
- Динамикалық жүйенің стационарлы шешімін табу және әдістерді қолдана отырып орнықтылыққа зерттеу.
- Динамикалық жүйелерді графиктер түрінде көрсету.
Жұмыстың зерттелу барысында SIR моделін қолдана отырып және вакцинациялау теңдеуін қосып математикалық модель тұрғызылды, бұл моделде жұқтырғандарды I c клиникалық және I s субклиникалық деп екіге бөлінді, вакцинациялауды жас ерекшелігіне қарай v 1 жаңа туылған және v 2 үлкен кісілер деп теңдеуге еңгізілді. Математикалық моделді пайдаланып графиктер тұрғызылды, орнықтылық шарты зерттелінді, стационар шешім арқылы MathCad бағдарламасында графиктер тұрғызылды.
МАЗМҰНЫ
1 МАТЕМАТИКАЛЫҚ МОДЕЛЬДІҢ ҚҰРЫЛУЫ ЖӘНЕ ТАРАЛУ ДИНАМИКАСЫ . . . 12
- SIR моделін пайдаланып шигелланың математикалық моделін құру. 12
- Шигелланың математикалық моделін стационарлыққа зерттеу. ……… 16
- Стационарлы шешімді пайдаланып теңдеуді тұрақтылыққа зерттеу. 17
2 АЛЫНҒАН КӨРСЕТКІШТЕРДІ ЗЕРТТЕУ . . . 20
ҚОРЫТЫНДЫ 45
пайдаланылған әдебиеттер 46
БЕЛГІЛЕУЛЕР МЕН ҚЫСҚАРТУЛАР
S - Сезімтал
I - Жұқтырғандар
R - Қалпына келгендер
П - Халықтың жаңарту деңгейі(популяция)
β - Аурудың жұғу жылдамдығы
µ - Табиғи өлім деңгейі
r - Қалпына келу деңгейі
α - Иммунитетті жоғалту деңгейі
Кіріспе
Шигеллез - су, тағам және тұрмыстық заттар арқылы таралатын, көбіне тоқ ішектің шырышты қабықшасын зақымдайтын, шигелла текті микробтары әсерінен туындайтын антропонозды жедел ішек инфекциялы ауруы. Дизентерия терминін Гиппократ енгізген («dis» - бұзылыс, «enteron» - ішек) . Дизентерия микробтарын 1891 жылы А. В. Григорьев және 1898 жылы жапон ғалымы К. Шига ашқан.
ДДҰ мәліметтерінде сәйкес жылына дизентерия ауруынан 1 миллионға жуық аурулар қайтыс болады. Жедел ішек инфекциялары арасында дизентерия сырқаттанушылықтың 54-75% құрайды. Дизентериямен сырқаттанушылық дамып келе жеткен елдерде өте көп таралған. Қазақстанда барлық инфекциялы аурулар ішінде жедел ішек инфекциялары 80% құрайды. Жедел ішек инфекциялары ішінде шигеллездер 30% құрайды. Жедел ішек инфекцияларымен сырқаттанушылық әсіресе Оңтүстік Қазақстан, Маңғыстау, Атырау, Қызылорда, Павлодар облыстарында көптен таралған.
Дизентерия ауруының әлі де көптеп таралуының себептері:
- сүт тағамдарының, ауыз суының, көпшілік тамақтандыру
- мекемелерінің тағамдарының қоздырғыштармен ластануы;
- тамақ өндірісінде санитарлық-техникалық, технологиялық,
санитарлық-эпидемияға қарсы ережелердің бұзылуы;
- диагностикалық қателіктер;
- аурулардың дәрігерлік көмекке кеш келуі;
- нашар тамақтану, иммунитет жетіспеушілік;
- санитарлық ағарту, гигиеналық тәрбиелеу жұмыстарының төмен деңгейде жүргізілуі.
Қоздырғышы Шигелла - дизентерия микробтары. Негізгі 4 түрі жиі тіркеледі: Григорьев - Шиго, Флекснер, Зонне және Щмиц-Штуцер шигеллалары. Дизентерия микробтарының морфологиялық қасиеттері ұқсас, грамтеріс таяқшалар, қоректі орталарда жақсы өседі. Микроб жасушаларының ыдырауы барысында эндотоксин бөліп шығарады, Григорьев-Шиго шигелласы эндо- және экзотоксин бөледі. Эндотоксиндердің әсерінен организмде жалпы улану белгілері пайда болады.
Шигеллалар нәжісте 2-35 күнге дейін, топырақта - 10- 62 күн сақталады (топырақтың түріне, температурасына байланысты) . Өзен суларында 12-92 күн, заттардың бетінде - 20 күн, сүтте - 12 күн, нан, жеміс-жидектерде 11 күнге дейін сақталады. Шигелла тағамдарда сақталып қана қоймай көбеюі де мүмкін.
ХХ ғасырдың басында көбіне Григорьев-Шиго шигелласы таралған (дизентерия 1, бірінші серовар) . Бұл шигеллалардың сыртқы ортада төзімділігі төмен, бірақ барлық дизентерия микробтары арасында аса патогенді. Санитарлық-гигиеналық жағдайдың нашарлығына байланысты Григорьев Шиго дизентериясы көптеп таралған.
1940 жылдары (соғыс, ашаршылық, кедейшілік) Флекснер түрі көптеп таралған - патогенділігі төмендеу, бірақ сыртқы ортада төзімді - топырақта қыста 4-5 айға дейін, суда - 3 айға дейін сақталады. Бұл дизентерия көбіне су арқылы берілген.
1950-1980 жылдары елді мекендердің сумен қамтамасыз ету мәселелерінің шешілуімен, сумен байланысты Флекснер дизентериясының саны төмендеген. Бірақ оның орнына Сонней шигеллалары келген, сыртқы ортада өте төзімді және тағамдарда көбеюге қабілетті. Бұл дизентерияның өсуінің негізгі себебі - көпшілік тамақтандыру мекемелерінің көбеюі және көбейген қала халқының асханаларында жиі тамақтануы.
Дизентерияны «кір қол» ауруы деп атайды. Көбіне инфекция кір қол және нәжіспен ластанған тұрмыста қолданатын заттар арқылы жиі таралады. Балалар мекемелерінде санитарлық, эпидемияға қарсы ережелердің сақталмауынан дизентерия ауруы горшоктар, ойыншықтар, ыдыстар, төсек жабдықтары, шыбындар, кір қол арқылы таралуы мүмкін.
Тағам арқылы көбіне Зонне дизентериясы таралады. Инфекция таратушы факторлар: сүт, балмұздақ, қаймақ, сары май. Көпшілік тамақтандыру мекемелерінде салаттар, винегреттер, компот, кисель, ет өнімдері, фарш, балық арқылы таралады. Тағам өнімдерінде қоздырғыштар көбеюі де мүмкін. Тағаммен байланысты өршулер өте ауыр түрде өтеді, клиникалық белгілері тамақпен улану белгілеріне ұқсас болады.
Су арқылы Флекснер дизентериясы таралады. Ашық су қоймаларының суы жаңбыр, еріген қардың суымен, тазаланбаған тұрмыстық қалдық суларымен және кір жуылған суларымен немесе шомылу кезінде ластанады. Сумен байланысты өршулер бір белгілі су көзімен қатысты болады, тек ластанған суды ішкендер ауырады, инкубациялық кезеңі ұзақтау, клиникалық белгілері орташа ауыр түрде болады.
Дизентериямен барлық адамдар ауырады (60%) . Аурудан кейін тұрақсыз, ұзаққа созылмайтын (14-12 ай) түрлік, типтік арнайы иммунитет пайда болады. Дизентерия қоздырғыштарының антигендік варианттары көп болғандықтан иммунитет тұрақсыз, қайта ауру инфекциясы, суперинфекция түрінде өтеді.
Республикада 2013 жылы халық арасында ауруға шалдыққандардың ішінде өткір ішек инфекциясы (ӨІИ) тобы 13% төмендеді. 100 мың тұрғынға шаққандағы 88, 64 көрсеткішпен барлығы 14 722 жағдай тіркелді, ал 2012 жылы 100 мың тұрғынға шаққандағы 99, 55 көрсеткішпен барлығы 16 659 жағдай тіркелді.
14 жасқа дейінгі балалардың арасында ауруға шалдығу 14, 7% азаюы байқалды, 100 мың тұрғынға шаққандағы 247, 53 көрсеткішпен барлығы 16 659 жағдай тіркелді, ал 2012 жылы 100 мың тұрғынға шаққандағы 99, 55 көрсеткішпен барлығы 16 659 жағдай тіркелді.
Есеп беру жылы ең жоғарғы көрсеткіш Қызылорда (216, 16), Оңтүстік Қазақстан (112, 01), Жамбыл (102, 09), Ақтөбе (93, 79), Шығыс Қазақстан (93, 11) облыстарында және Астана қаласында (131, 37) тіркелді.
2013 жылғы қала тұрғындарының арасында ӨІИ ауруының үлес салмағы 72%, ал 2012 жылы 71% болды.
ӨІИ ның нозологиялық құрылымында 2012 жылмен салыстырғанда анықталған ішек инфекциялары үлес салмағының өсуі байқалды. 2013 жылы анықталған ішек инфекциялардың үлес салмағы 73, 4% болды, керісінше 2012 жылы 71, 9% болды. Сонымен қатар, ішек инфекциясы тобының ішінде бактериялық дизентерияның үлес салмағының 9, 9% дейін азаюы байқалуда. Белгісіз бактериялық және вирустық ішек инфекциялардың үлесі 2012 жылғы деңгейде, 16, 7% құрайды.
Кесте 1. 2012-13 жж. ӨІИ құрылымының салыстырмалы характеристикасы
1 сурет. ҚР 2014 жылы өткір ішек ауруымен, соның ішінде бактериялық дизентерияның жас бойынша бөлінуі.
Өткір ішек инфекциясының жұғу жолдарының 86, 2% республикамызда анықталды: маңызды бөлігін ас арқылы жұғу - 77, 6%, және тұрмыстық-қатынастық жолмен жұғу - 20, 0%, су арқылы жұғу - 2, 4%. Эпидемиологиялық зерттеулер барысында ӨІИ жоғарғы көрсеткіштер:
- су арқылы жұғу - Алматы (12, 8%) және Қызылорда (5, 9%) облыстарында;
- тұрмыстық-қатынастық жолмен жұғу Атырау (64, 4%), Оңтүстік Қазақстан (44, 3%) облыстарында және Астана (48, 9%) қаласында;
- ас арқылы жұғу Шығыс Қазақстан (97, 3%), Батыс Қазақстан (94, 6%) , Ақмола (93, 8%) , Павлодар (93, 7%) , Ақтөбе (93, 2%), Қызылорда (90, 9%) облыстарында және Алматы (98, 4%) қаласында, сондай-ақ халық арасында санитарлы-оқыту шараларын жүргізу тиіс.
2 сурет. Өткір ішек инфекцияларының таралу жолдары мен бастауын анықтау, 2013 жыл
Орташа республикалық көрсеткіші бойынша 90, 9 % эпидемиологиялық зерттеулер кезінде ӨІИ жұғу жолдарының факторлары келесідей: Маңғыстау, Павлодар және Солтүстік Қазақстан - 100 %; Атырау - 68, 1%, Астана қаласында - 68, 2% кезікті. Сонымен қатар, ӨІИ жұғуының маңызды факторлары 28, 2% дейінгі тұрмыстық жағдайда технологиялық ережелер сақталмаған астарды қолдану, жеке бас гигиенасын сақтамау 25, 6%, жуылмаған жеміс-жидектер 23, 3% дейін, сүт және сүт өнімдері 10, 2% дейін, сапасы төмен ішетін сулар - 2, 3% және балалардың сүт өнімдері - 0, 03%. ӨІИ жоғарғы үлес салмағы қабылдаумен байланысты:
- Сапасы төмен сулар - Алматы облысы (12, 8%) ;
- Тұрмыстық жағдайда дайындалған тағамдар - Алматы (61, 5%) , Шығыс Қазақстан (50, 3%) және Батыс Қазақстан (45, 8%) облыстарында;
- Сүт және сүт өнімдері - Батыс Қазақстын (26, 9) , Павлодар (18, 2%) және Маңғыстау (18, 0%) облыстары;
- Ет және етті өнімдер - Ақтөбе (15, 3%) , Ақмола (10, 8%) , Батыс Қазақстан (10, 4%) және Қостанай (10, 3%) облыстары;
- Жеміс-жидектер - Оңтүстік Қазақстан (30, 8%) және Қостанай (30, 7%) облыстары;
- Балалардың сүт өнімдері - Қарағанды (0, 1%) және Қостанай (0, 4%) облыстары(сурет) .
3 сурет. Өткір ішек инфекциясының жұғу инфекцияларының анықталған факторлары.
2 кесте. Дизентерия ауруының жас мөлшері бойынша бөліп көрсетілген мәліметтер.
1 МАТЕМАТИКАЛЫҚ МОДЕЛЬДІҢ ҚҰРЫЛУЫ ЖӘНЕ ТАРАЛУ ДИНАМИКАСЫ
SIR моделін пайдаланып шигелланың математикалық моделін құру, шигелланың математикалық моделі теңдеуінің стационарлы шешімдерін табу, стационарлы шешімді пайдаланып теңдеуді тұрақтылыққа зерттеу.
SIR моделін пайдалана отырып, өткір ішек инфекциясына шалдығудың алдын алу шараларын жүргізу, моделді халықты жас мөлшерімен бөліп зерттеу жүргізу.
- SIR моделін пайдаланып шигелланың математикалық моделін құру
Математикалық модел бізге жалпы аурудың жұғуын және таралуын түсінуге көмектеседі, сондай-ақ әртүрлі эффективті стратегиялық араласуының бағасын береді. Бұл моделдер мына сияқты ауруларда кеңінен қолданылады, атап айтсақ: сыздауық, тұмау және холералар.
Қарапайым дифференциялдық теңдеулер Кермак және Маккендриктің жасаған SIR моделіне өзгертулер енгізуге көмектеседі. Мұндағы моделіміз SIR моделінің базасы арқылы өзгереді, бірнеше инфекционды этаптарды қосу үшін, әрқайсысы әртүрлі инфекциялық күшке ие, сондай-ақ инфекционды периодтары да бар.
3 сурет. Негізгі SIR моделі
Төменде көрсетілген (1) - (3) теңдеулерде көрсетілгендей, қарапайым дифференциялдық теңдеулер мен кейбір анықталған параметрлер SIR моделін анықтауға комектеседі. Бұл модельде β инфекцияның параметрлерін, ал r қайта қалпына келу көрсеткіші болып табылады. Олай болса, бұл моделде ешқандай кездейсоқтық жоқ [1] .
SIR-модель:
S - Сезімтал
I - Жұқтырғандар
R - Қалпына келгендер
П - Халықтың жаңарту деңгейі(популяция)
β - Аурудың жұғу жылдамдығы
µ - Табиғи өлім деңгейі
r - Қалпына келу деңгейі
α - Иммунитетті жоғалту деңгейі
SIR моделі эпидемиялық моделдеу кезінде кеңінен қолданылады, сол себепті басқа моделдердің негізі ретінде кездеседі. Бұл моделде жасы, жынысы мен аурумен байланысты инфекциялар, ем шаралары мен табиғи өлім қосылған [1] .
Қарастырып отырған моделіміз SIR моделіне негізделіп жасалды. Жүйеге кірген үш бөлімді былайша сипаттаймыз:
- S (Сезімтал) - бұл бүкіл адамзат популяциясында ауруды жұқтыруы мүмкін жеке тұлғалардың білдіреді;
- I (Жұқтырған) - бұл ауруды жұқтырған адамдар болып табылады және сезімтал халыққа инфекциясының беруге қабілетті;
- R (Қалпына келген) - осы бөлім аурудан жазылған адамдардан тұрады. Олар бірте-бірте иммунитетін жоғалтады және белгілі бір уақыт кезеңінен кейін сезімталға айналады.
Моделдің схемалық түрі:
4 сурет. SIRS моделінің кеңейтілген түрі
3 кесте. SIRS моделінің параметрлерін сипаттау
Ауруға сезімтал тұрғындар, аты айтып тұрғандай, ауруға қарсы төтеп бере алмайды, әрі ауруды жұқтырған тұрғындардан ауруды қоздырады. Ауруды жұқтырған класс қоршаған ортаға ауруды тасымалдайды. Дәрі-дәрмек пен регидратациялық емдеудің көмегімен, немесе дене иммунитетінің арқасында жұқпалы адамдар қайта қалпына келеді. Кей уақыт аралығында адам денесі иммунитеттің белгілі бір деңгейін сақтайды, бірақ бұл деңгей біртіндеп түседі және жазылып қалпына келгендер қайтадан ауруға сезімтал болады.
Жоғарыда көрсетілген жүйеден келесі болжамдар жасалады:
- Моделдің барлық классында табиғи өлім деңгейі бірдей болады деп болжаймыз;
- Барлық адам сезімтал болып дүниеге келеді;
Моделді топтарға бөлу жоғарыда берілген параметрлер бойынша келесі формулалардың көмегімен табылады:
(4)
Сезімтал халықтың өзгеру қарқынын жоғарыдағы (4) теңдеуді пайдалана отырып сипаттауға болады. Π тұрақты өскен сайын класста жаңа тұлғаларды қамтамасыз етеді және тұрақты туу көрсеткіші μ сезімтал халықты азайтады. Сезімтал халықтың бір бөлігі β инфекцияның таралу жылдамдығымен ауруға шалдығуы мүмкін. Қайта қалпына келген тұлғалар α иммунитетті жоғалту жылдамдағы кезінде біртіндеп сезімтал классына қосылады.
(5)
(5) теңдеу сезімтал халықтың өзгеру қарқынын сипаттайды. Сезімтал класстың бір бөлігі ауруға шалдығып, осы бөлікке қосылады. Ауруды жұктырған халық саны өлім-жітім көрсеткіші μ және қалпына келтіру қарқыны R тұрақтылығынан азаяды.
(6)
(6) теңдеудің көмегімен қайта қалпына келу бөлімін сипаттауға болады. Ауруды жұқтарғандар r қайта қалпына келіп, қайта қалпына келген топқа қосылады. Адамдар қайта қалпына келген класстан тұрақты өлімі μ кезінде көз жұмады. Бұл топтың белгілі бір бөлігі α жылдамдығымен иммунитетін жоғалтып, сезімтал классқа барады.
Шигелла ауруының патогенезі бойынша, модель халықтың құбылмалылығын қоса есептейтін SIR жүйесімен құрылды. Халықты жас мөлшерімен бөліп зерттеу жүргізілді [2] .
- жас аралығы:
1-6 жас аралығы:
7-14 жас аралығы:
15-30 жас аралығы:
30 және одан жоғары жас аралығы:
SIRS моделінің орнықтылық теоремасына сай болатынын көрсету үшін, берілген моделді MathСad бағдарламасының көмегімен құрдық. 4 кестеде моделдеу кезіндегі айнымалының мәндері берілген.
4 кесте. Модельдеу үшін пайдаланылатын параметрлердің мәндері
1. 2 Шигелланың математикалық моделін стационарлыққа зерттеу
1. 2. 1 Стационарлы шешім
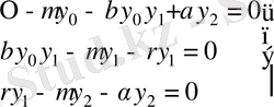
Берілген математикалық моделдің стационарлы шешімін есептейміз. Ол үшін келесі түрлендірулер енгіземіз [3], яғни
Әрі қарай осы түрлендіруді теңдеулерімізге қойып шығамыз:
Бұдан кейін теңдеудің сол жағын 0-ге теңестіріп аламыз:
(2)
(2) теңдеуді
- ге бөлеміз. Осыдан теңдеуіміз келесі мәндерге ие болды:
1. 3 Стационарлы шешімді пайдаланып теңдеуді орнықтылыққа зерттеу
2 АЛЫНҒАН КӨРСЕТКІШТЕРДІ ЗЕРТТЕУ
... жалғасы- Іс жүргізу
- Автоматтандыру, Техника
- Алғашқы әскери дайындық
- Астрономия
- Ауыл шаруашылығы
- Банк ісі
- Бизнесті бағалау
- Биология
- Бухгалтерлік іс
- Валеология
- Ветеринария
- География
- Геология, Геофизика, Геодезия
- Дін
- Ет, сүт, шарап өнімдері
- Жалпы тарих
- Жер кадастрі, Жылжымайтын мүлік
- Журналистика
- Информатика
- Кеден ісі
- Маркетинг
- Математика, Геометрия
- Медицина
- Мемлекеттік басқару
- Менеджмент
- Мұнай, Газ
- Мұрағат ісі
- Мәдениеттану
- ОБЖ (Основы безопасности жизнедеятельности)
- Педагогика
- Полиграфия
- Психология
- Салық
- Саясаттану
- Сақтандыру
- Сертификаттау, стандарттау
- Социология, Демография
- Спорт
- Статистика
- Тілтану, Филология
- Тарихи тұлғалар
- Тау-кен ісі
- Транспорт
- Туризм
- Физика
- Философия
- Халықаралық қатынастар
- Химия
- Экология, Қоршаған ортаны қорғау
- Экономика
- Экономикалық география
- Электротехника
- Қазақстан тарихы
- Қаржы
- Құрылыс
- Құқық, Криминалистика
- Әдебиет
- Өнер, музыка
- Өнеркәсіп, Өндіріс
Қазақ тілінде жазылған рефераттар, курстық жұмыстар, дипломдық жұмыстар бойынша біздің қор #1 болып табылады.

Ақпарат
Қосымша
Email: info@stud.kz