Элементар бөлшектер дегеніміз не?


Қазақстан Республикасы
Білім және ғылым министрлігі
“Сырдария” университеті
“Математика және экономика” факультеті
“Жоғары математика және физика” кафедрасы
“Элементар бөлшектер” пәні бойынша
Лектор: проф. Ходжахметов Э.
Жетісай - 2009 ж.
Элементар бөлшектер физикасы.
ОБСӨЖ № 1
Тақырыбы: Элементар бөлшектер дегеніміз не?
Жоспары:
1. Элементар бөлшектер физикасы пәні.
2. Элементар бөлшектер деп нені айтамыз?
3. Элементар бөлшектер “зоопаркі”
- Элементар бөлшектер физикасы пәні материяның табиғатын және өзгерістерін субядролық деңгейде немесе элементар бөлшектер деңгейінде үйренетін пәнге айтылады. Сол пәнді өте кіші қашықтықтар мен өте кіші энергиялар сипаттайды. Ал оны физиканың жоғарғы энергиялы физикасы бөлімі үйренеді. Атом құрамының өте күрделі процесте екендігі бекітілген соң оның ядросының құрамыда басқа деңгейде ғылыми жағынан үйәненіле бастаған. Ядроның бөлінбейтін 3 бөлшектен (протон, электрон, нейтрон) тыс басқа да микробөлшектер барлығы анықтала бастады. Фотон қосылды. Олардың әр біреуі өзінше дискрет болуына сәйкес оларды элементар бөлшектер деп атайды.
Элементар- қарапайым.
Ал табылып жатқан бөлшектер мысалы, миюондар, пиондар және нейтринолар қарапайымдылық ролін атқармайды.
Қазіргі күндегі элементар бөлшектер немесе атомдар Менделеев элементіне қарағанда өте көп екендігі анықталды. Сонда протон және нейтрон элементарлық бөлшектерден шығып кетті. Элементар бөлшектер термині ішінде жататын материялар өте көп кіші топтарға немесе микро объектерге бөлінеді.
Нақты элементар бөлшектер деп- барлық фундаменталь бөлшектер және субъбөлшектерге айтылады. Ал физикада барлығын жай ғана элементар бөлшектер деп атайды.
- Барлық жаңа ашылып жатқан бөлшектер серпімсіз шашылу реакциясы нәтижесінде пайда болып жатыр. Олардың бірі нейтрино. Оны жүзеге келтіруде үлкен энергиялы бөлшектер өзара бөлшектер өзара соқтығысып, кейін олардан арнайы детекторлар арқылы нейтриноның шашылуын үйренеді. Бірінші бөлшектердің негізгі көзі 1950ж космостық сәулелер болса кейін жасанды түрде немесе үдеткіштер жәрдемінде басқарылатын жоғарғы энергиялы интенсивті бөлшектер жиынтығы жүзеге асырылды. Олардың тізімі кестелерде беріледі. әр екі жылда бір рет жаңаланып арнайы комиссия көріп шығады. Комиссияның аты -Particle Data Group. Қазіргі күнде 400-ге жуық элементар бөлшектер анықталған және олардың саны ай сайын өсуде. Төменде олардың хронологиялық ретімен келтірілген кестесі болады. Олардың бірнешеуімен бізде танысамыз:Электрон - е-. 1897ж Дж. Дж Томсон, М. Фарадей, Е Вихерд ашқан. Сөзсіз электронды 1911ж тәжірибеде Милликен анықтаған. Протон белгісі р. Ол сутегі атом ядросы болып, 1919ж элементар бөлшектер жүйесіне Резерфорд енгізген. Фотон белгісі -. 1922-23жж М Планк А Энштейн және Комптон тарапынан енгізілген. Ал оны нағыз фотон деп атаған 1926ж Г Льюис. Фотон ерікті электромагниттік өрістер кванты болуымен бірге электромагниттік өзара әсерді тасушылар болып табылады. Гравитон G ол да фотон сияқты функцияны атқарады. Бірақ гравитациялық қатынасында эксперименте оны күзету өте қиын болған. Себебі олардың гравитациялық өзара әсерлері өте кіші болған. Гравитонның интенсивтігі 10-38, әсер ету радиусы шексіз, жасау уақыты белгісіз. Нейтрон белгісі- n. Теория жүзінде 1920ж Резерфорд айтып келсе, 1932ж Чедвик оны ашқан. Антибөлшектер. 1930ж Дирак тарапынан айтылған. 1932ж позитрон заряды е+, е-анти ашылған. Пиондар (пи-мезондар) белгісі-. 1935ж Х. Юкаба жағынан табылған. Ал 1947ж С. Пауэлл, Акиолини жағынан зарядталған пиондар ашылған. Ал 1950ж Р. Верхлунд жағынан зарядсыз пиондар ашылған.
ОБСӨЖ № 2
Тақырыбы: Антибөлшектер
Жоспары:
1Антибөлшектердің ашылуы
2. Олардың түрлері
3. Өзара әсерлесу күштері
- 1930ж Дирак тарапынан бірінші болып заряды нолге тең болмаған әрбір элементар бөлшектің қарама-қарсы таңбалы зарядқа ие болған анртибөлшегі барлығы айтылады.
1932ж К. Андерсон тарапынан бірінші антибөлшек болған электронның сыңары табылды. Яғни е + . Олар левтондар отбасына кіреді және массасы электрон массасына тең. Меншікті энергиясы 0, 511МэВ спині ½-ге тең.
Спин деп
- берілген бөлшектің өз осі орбитасымен айналуындағы қозғалыс мөлшерінің моментіне айтылады. Оның бірлігі етіп
алынған . Левтон сөзінің мағынасы грек тілінің “левто” сөзінен алғанда ең майда монета деп аталады.
Реакция кезінде шашылуы тұрақты, жасау уақыты шамалы.
1935ж Жапон физигі ядрокүштерінің табиғатын түсіндіру үшін пи-мезондарды енгізді. Олар плюсты, зарядсыз, теріс зарядты болады. Олар мезондар тобына кіріп, гректің “мезос” сөзінен ауңдарғанда “орталықты” деген сөз.
-тің энергиялары 140МэВ массалары электрон массасынан 273есе үлкен, спиндері 0.
Реакция кезінде шашырауы:
Жоғарғы екеуінің жасау уақыты 2, 6*10
-8
с. Ал
-дікі 1, 8*10
-16
с. Олар жоғарғы энергиялы вариондардың ядромен өзара әсерлері уақытында шашырап шығады.
Вариондар деп - элементар бөлшектердің үшінші негізгі тобында аталып, гректің “бар” деген сөзінен шығып “ауыр” деген мағынаны білдіреді.
Зарядталған пиондар 1947ж, ал нейтраль пиондар 1950ж тәжірибеде табылған. 1930ж Андерсон және Нидермайер тарапынан мию-мезондар тәжірибеде күзетілді. 1930ж Паули тарапынан β бөлшекті бөле алу түсінігі мақсатында істелген тәжірибеде нейтрино ν түсінігі пәнге кіріп келді. Нейтрино нейтронның сыңары болып табылады. Оның массасы электрон массасына 1839есе үлкен. Меншікті энергоиясы 940 Мэ . спині ½ . Шашырауы:
Антибөлшектердің төбесіне ~ қоямыз. Жасау уақыты 10 3 с.
Протон мен нейтрон атом ядросын түзетін болса оның антибөлшектері немесе егізектері үдеткіштерде жоғары энергиялы протонның ядромен өзара әсері кезінде жүзеге келеді. Нейтриноның барлығы 1950ж тәжірибелерде күзетіледі. Солай етіп 1940ж сонына келіп элементар бөлшектер саны 15-ке жетті.
1960ж ортасында Менделеев элементінің сандарынан артып кетті. Мұндай табылулар элементар бөлшектердің шынымен элементар екендігіне сенімді жоғалта бастады. Тексерулер нәтижесінде олар өз структурасына ие болмаған және одан әрі майда бөлшектерге бөлінбейтін бөлшек деп табылды.
- Элементар бөлшектер физикасында 4түрлі өзара әсерлесу күші бар. Күшті өзара әсерлеасу күші. Бұл әсерлесуге қатысушы аталады. Бұл бөлшектер әсеріндегі ядродағы протонмен нейтрондарды ұстап тұрады. Бұл күштер арқылы кварктар өзара байланысып адрондарды жүзеге келтірген. Электромагниттік өзара әсерлесу күші. Бұл әсерде негізінен зарядталған бөлшектер қатысады. Бірақ нейтраль бөлшектерде өз структурасына ие болғандығы себепті бұл әсерде қатынасуы мүмкін . Мысалы, неитрон күрделі структураға ие болғандығы себепті өз магнит моментіне ие болып, мұндай әсерде толығымен қатынасады. Бұл әсер қазіргі заманда зерттелген, үйренілгенәсер түрі болып есептеледі. Күшсіз өзара әсерлесу күші. Мұнда барлық элементар бөлшектер қатынасуы мүмкін. Бүл әсер астында жүзеге келетін процестер өте баяу жүреді. Атом ядроларының β шашырауы күшсіз өзара әсерге мысал бола алады. Гравитациялық өзара әсерлесу ең универсалы болып саналады. Мұнда барлық бөлшектер қатысады. Әрқандай өзара әсер 3 шамамен сипатталады. Олар:1 әсер интенсивтігі немесе қарқындылығы. 2-ші әсер радиусы, 3-ші әсерлесу қарқындылығы өзара әсерлесу уақыты өзара әсерлесу механизмін есепке алғандағы 3 физикалық шама 1-ші кестеде келтірілген.

ОБСӨЖ №3
Таќырыбы: Кесте бойынша µзара єсер механизімін т‰сіндіру.
Жоспары:
1. К‰шті єсер
2. Электромагниттік єсер
3. К‰шсіз єсер
4. Гравитациялыќ єсер
1 К‰шті єсер к‰шті протон мен неитронды ядрода сонымен бірге кварктарды адрондарды ±стап т±рады . Ќазіргі заман физикасы теориялыќ кµзќарасына ќараѓанда ядрода протон жєне неитрондар µзара мезондармен айырбасталуы есебінен ±стап т±рылады. Протон мен неитронныњ µздері де кварктардан т‰зілген болып кварктардыњ µзі де протон мен неитронныњ ішінде глюон аѓылшын тіліндегі “giue”
![]()
ќазаќшада “желім” арќылыµзара ќосылып т±рады. Протондармен нейтрондар арасындаѓы мнзон алмасу к‰штерініњ 10 -15 м ден ‰лкен болѓан араќашыќтыќтаѓы ќалдыќ к‰штері деп саналады. К‰шшлті єсердіњ интинсивтілігі “а s ж‰гіруші” µзара єсер т±раќтысы деп аталады жєне басќа µзара єсер т±раќтыларынан мєнініњ ќашыќтыќќа µзгерісіне ќарай олардан ажыралып т±рады. Ол 0, 1 ÷10 -ѓа дейінгі аралыќта µзгереді. Б±л жерде s єріпі аѓылшын тілінен аударѓанда “strong”-“к‰шті” дегенді білдіреді.
Б±л шама 10 -15 м ќашыќтыќта µзін кµрсетеді жєне ол 10 -23 с єсер етіп т±рады.
2. Электромагниттік єсер зарядталѓан жєне белгілі бір нейтрон электронейтраль бµлшектігіне ќарамастан магнит моментіне ие структуралы бµлшек болѓандыѓы ‰шін б±л єсерге ие структуралы бµлшектер арасында ж‰зеге келіп фотондар арќылы µз єсерін тигізеді. Єсер интинсивтілігі α=1/137 µте кіші структура т±раќтысымен сипатталады. Б±ныњ єсер к‰шініњ радиусы шексіз болып µзара єсерлесу уаќыты 10 -20 с тењ.
3. К‰шсіз єсер барлыќ бµлшектер ‰шін тєн болѓан єсер болып олар
деп аталушы базондар арќылы ж‰зеге асырылады. Єсер интинсивтігі Перни т±раќтысы арќылы сипатталады
б±л жердегі m p -протон массасы µќзара єсер ету ќашыќтыѓы шамамен 10 -18 м, єсер ету уаќыты 10 -13 с .
4. Элементар бµлшектер гравитациялыќ єсер µте кіші болып µзін кµрсете алмайды. Соныњ ‰шін оныњ єсер уаќыты аныќталмаѓан интенсивтігі шамамен 10 -18 с. Єсер ету радиусы шексіз. Соныњ ‰шін б±л єсер массасы Планк массасынан
![]()
m п л ~ 10 19 ГэВ тењ
‰лкен денелер ‰шін ѓана сезілерлі болады. Б±л жерде α=1/137 ж±ќа структураныњ т±раќтылыѓы
![]()
Ферми тұрақтысы G F =1. 43*10 -62 Дж*м 2
Күшсіз әсерлердің интинсивтілігі
Equation. 3
Гравитациялық әсердің интинсивтілігі
~10 -38
Өзара әсер радиусы күшті әсер үшін 2 нуклон арасындағы әсер Юкабтық потенциалдар арқылы табылған немесе жапон физигі Юкаба енгізген потенциал арқылы табылған:
![]()
-2 тыныштықта тұрған нуклондар арасындағы потенциал.
-элекртомагниттік әсер бойынша потенциалы.
Қортынды. Әсерлерді физикалық процестер арқылы классификациялау 4жаңа фундаменталь тұрақтыларды өз интенцивтіктермен бірге физика курсына енгізуге болады. бұл тұрақтылар арқылы материяның түзілісінің тегі бір екендігін білдіреді.
ОБСӨЖ № 4
Тақырыбы: Элементар бөлшектер классификациясы.
Жоспары:
1. Адрондар.
2. Мезондар.
3. Резонанстар.
4. Лептондар.
5. Гиперондар.
Күшті әсерде қатынасушы(сонымен бірге электромагниттік және әсерде де) элементар бөлшектерге адрондар дейді. Олар вариондар мен мезондарға бөлінеді. Вариондар нуклондарға (протон және нейтрондардың жалпы атына айтылады) . Гиперондарға және резонанстарға бөлінеді. Гиперондар массасы протондікінен ауыр болатын бөлшектер болып, оларға бұларды ламбда гиперондар дейді. Одан тыс сигма гиперондар бар:
.
Кси гиперондар:
Гиперондардың периоды
Резонанстардың орташа жасау периоды өте кіші болып,
. Оларөткен ғасырдың 60 жылы ашылған болып, қазіргі күнде олардың саны 300-ден артық. Нуклондар мнен гиперодар жасау периодтары резонанстардікіне қарағанда үлкен болғандығы үшін оларды стабиль бөлшек деп аталады. Ең нақты стабиль бөлшек болып протон саналады. Себебі, оның жасау периоды
Нейтрон еркін күйде шамамен 15 минут айналасында жасайды. Мезондарда стабиль болып саналып олар резонансты мезондарға бөлінеді.
Стабиль мезондарға жатады. Стабиль-тұрақты. Стабиль мезондардың жасау периодыРезонансты мезондарғаСияқты мезондар мысал бола алады.
Жалпы барион және мезон резонанстарының жасау периоды. Олар мұндай өте қысқа уақыт ішінде жасауына қарамастан белбілі спиндерімен жұптықтарына ие болып белгілі ішкі квант сандарына да ие болғандығы үшін оларды да элементер бөлшектер қатарына қосқан.
Резонастар нық массаңы ие болмай үздіксіз масса спектріне ғана ие. Осы спектрдің максимумына сәйкес келуші мән резонанс массасы деп қыблданған. Олардың болу ықтималдығы.
теңдеуімен анықталынып, бұған ыдырау ықтималдығы делінеді.
Г-резонастардың ыдырау ықтималығы.
4. Күшті өзара әсерде қатынаспайтын элементар бөлшектерге лептондар деп аталады. Қазіргі күнде 3 топқа бөлінген лептондар анықталған
бөлшек
,
,
антибөлшек
және олардың бөлшек немесе антибөлшектері болып бөлінеді.
Электрон
,
,
,
нейтрондар болып олар стабиль жасайды. Ал
мезон немесе
лептондар стабиль емес.
Барлық стабиль емес бөлшектредің жасау периоды негізінен кестелерде келтіріледі. Лептондардың өз структурасы фундамаенталь бөлшектерге жатады. Себебі қзіргі күндегі үдеткіштерде жүзеге келтіру мүмкін болған мысалы шамамен 10 -18 м масштабтағы немесе өлшемдегі электронда структураға ие местігі ашылған.
Электрон
мезон немесе
лептондар электромагниттік немесе өзара әсерде болса нейтрондар тек күшсіз әсерде ғана қатынасады. Солай еіп қазіргі күнге элементар бөлшектер классификациясын көз алдымызға келтіу үшін келесі кестені пайдаланамыз.
бөлшектер
адрон
Әсер тасушылар Лептондар Стабиль Резонанстар
адрондар
Мезон Барион
Мезон Барион резонанс резонанс
Адрондар мен лептондар өздерінің антибөлшектеріне ие. Егер бөлше пен оның антибөлшегі бетпе-бет түссе онда оларға нақты нейтраль бөлшек делінеді.
ОБСӨЖ №5
Таќырыбы:Бөлшектердің бір -бірінен ажыратушы қасиеттері.
Жоспары:
1. Масса
2. Спин
3. Жұптық
4. Электр заряды
5. Магнит моменті
6. Изоспин
Бөлшектерді сипаттаушы квант салаларының сақталу заңдары негізінде жүзеге келеді. Бұл заңдар кеңістік пен уақыттық симметриясы немесе ішкі кеңестік симметриясы нәтижесінде пайда болады. Ішкі симметрия өзара әсер симметриясымен белгілейді және ішкі квант сандарды да алып келеді. Олардан:
- Масса деп- берілген бөлшектің өзіндігін белгілеуші қасиетке айтылады. Эйнштейн теңдеуіне сәйкес
МэВ-пен өлшенеді.
![]()
Әрқандай өзара әсерде масса сақталуы керек. Себебі, масса динамикалық табиғатқа ие болып және бөлшектің негізгі классификациялық белгісі болып есептеледі.
Менделеевте элементар периодтық кестелерден алдымен атомдар массасына қарай түзілген. Бірақ ол кесте қате болып табылады.
2. Спин. Бөлшектердің сипаттамасы болып Планк тұрақтысының белбаулы бірлігімен өлшенеді. J[ħ] - бөлшектің меншікті қозғалыс мөлшері моментін белгілейді.
Мысалы: Фотонның спині 1-ге тең.
Гравитонныың спині 2-ге тең.
Левтондікі ½-ге тең.
Мезон 0-ге тең.
Гиферондар 3/2-ге тең.
Барион ½-ге тең.
Олар тобындағы бүтін санды спиндерге бозондар деп аталады. Ал жартылай немесе бөлшек санды спиндерге фермиондар деп аталады.
3. Жұптық. Кеңестік жұптылығы деп бөлшек толқын функциясының кеңестік координатасына
сияқты өзгертетін өзін ұстап немесе тұтып тұру қасиетіне айтылады.
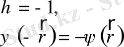
Егер жұптылығы
-ге өтудефизикалық шамалар компонентталары өзгермей қалса, онда бұл шама оң таңбалы жұптыққа ие болады және
Егер өз таңбаларын өзгертсе, онда
яғни теріс таңбалы жұптылыққа ие болады. Кеңестік жұптық түсінігінен тыс ішкі кеңістік жұптылығыда табылған. Сонда кеңестік жұптылығы бөлшектердің орнын сипаттайды.
Ал ішкі кеңестік жұптығы тікелей бөлшектің өзін сипаттайды.
Бөлшектің сипаттаушы квант сандарды осы кеңестік жұптығымен тәуелді немесе байланысты. Егер бөлшектер системасы жұптылығынан басқа бөлшектер жұптығы енетін болса, ол системаның жұптығы сол бөлшектер жұптығының көбейтіндісіне тең болады.
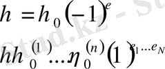
η 0 -бөлшектің ішкі жұтығы. (-1) е -тең болады. η е - оның орбиталь жұптылығы болып табылады. (-1) е = η 0
Гравитоннан басқа барлық бозондар жұптығы теріс болып жүреді. Ал мезон резонанстары терісте, оң да жұптарға ие. Барлық бариондардың кеңістік жұптығы оң болады. ал антибариондар теріс болады.
Кестелерде спин және жұптарды J η деп белгілеп, біргелікте берілуі мүмкін. Ол: фотон үшін 1 - , гравитон үшін 2 + , пион үшін 0-ге, протон үшін 1 η /2 .
Бөлшектің 3 қасиеті (масса, спин, жұптық) олардың “геометриялық ” немесе кеңестік уақыт симметриясына незізделген сипаттама болып шықты. Бөлшектің қалған басқа қасиеттері ішкі кеңестік “жасырын” симметриясына негізделген болып ішкі квант сандарына, яғни сақталушы шамалардан келіп шығады. Сонымен бірге оларда сақталушы шамалар болып табылады.
4. Бөлшектің электр заряды-әдетте 0немесе 1-ге тең болса, ∆ бөлшектерде +2, ал олардың анти бөлшектерінде -2-ге тең болады.
Лептон заряды өзі үшін +1-ге, ал антилептондар үшін -1-ге тең. Сонда электрон лептон заряды -l e , ал мюон лептон заряды -l μ , ал тауон лептон заряды өзіне сәйкес l τ болып лептон зарядының сақталу заңына сәйкес:
және бұл сақталу заңы әрбір лептондар тектерді үшін өзінше атқарады. Варион заряды +1-ге тең. Антиварион үшін -1-ге тең. Соның үшін вариондар мен лептондар зарядтары аддитив квант сандары болып есептелінеді. Атом ядролары үшін варион квант саны ядроның массалар саны А-ға тең болады.
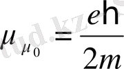
5. Магнит моменті- μ-тыныш тұрған бөлшектің сыртқы магнит өрісімен болатын өзара әсерді сипаттайды және
магнитон бірлігімен өлшенеді.
6. Изоспин. Ол изомультиплетті сипаттайды. Изомультиплетті бөлшектер саны
анықталады.
Т- изоспинді белгілейді.
J-спинді бөлшектің спиндік орындары. 2J+1-мен анықталады.
Изоспин 0÷3/2-ге дейінгі мәндерді қабылдау мүмкін. Мысалы:
бөлшектер үшін изоспин тең нолге Т=0. Ал K, D, N бөлшектер үшін Т=1/2 Ал изобар үшін T=3/2
Изоспин проекциясы . -Т 3 →-Т→+Т дейінгі болған мәндерді қабылданған бөлшектердің электр зарядымен анықталады. Ол нейтрон үшін Т 1 =-1/2, протон үшін Т 1 =+1/2.
Ал пимезондарға сәйкес болған +1, 0, -1-р қабылданды. Ал изобарларға
сәйкес -3/2, -1/2, +1/2, +3/2 болып алынады. Сонда бөлшектердің электр зарядын q=T
1
+1/2B формуласы арқылы есептеу мүмкін.
ОБСӨЖ № 6
Тақырыбы:Элементар бөлшектер зоопаркі.
Жоспары:
1. Электронның ашылуы.
2. Протонның ашылуыр.
3. Фотонның ашылуы.
4. Гравитонның ашылуы.
5. Нитронның антибөлшектердің пионмен мезондардың т. с. с. ашылуы.
- Электрон- ең ескі элементар бөлшек болып, 1987 жылы Томсон ашқан.
- Протон - 1919 жылы Резерфорд ашқан
- Фотон - Планк немесе
- энштейн ашқан 1926 жылы Фотон деп Льюнс атаған
- Гравитон - Феейльман диагнраммасы бойынша табылған.
- Нейтрон - 1920 жылы Резерфорд теорияда айтқан, ал 1932 жылы Чедвиг ашқан.
Антибөлшектер 1930 жылы Дирак арқылы болжанған. 1932 жылы Андерсон 1-ші античастицаны ашқан. Ол позитрон деп атаынады немесе электронның антибөлшегі.
Пиондар 1935 жылы Юкава тарапынан ашылған немесе 1947 жылы зарядталған пиондар ашылған. Зарядсыз пиондар 1950 жылы Веклунд тарапынан ашылған.
немесе электронның ауыр “інілері” ашылған.
Нейтрино v 1930 жылы Паули тарапынан енгізілген. 1950 жылы ортасына Рейнес пен Коуэн тарапынан өлшенген. Олар 3 сортты болады.
- электронды нейтрино
- мионды нейтрино
тауонды нейтрино
- экспериментте анықталмаған.
Камезон немесе каондар. Белгісі К оларда оң теріс немесе нейтраль болып
Гиперондар. Олар бірнеше түрі бар.
Лямбда гиперон
Кси гиперон
Сигам гиперон
1960 жылыүдеткіштер жәрдемінде олардың антибөлшектері де анықталды. Барлық кауон мен гиперондарды түрліше болшектер деп атайды. Себебі олар кездейсоқ түрліше қасиеттерге ие. Олар:
А) олар жұр болып жүріп өте тез тууылып
=10
-23
-10
-24
секундта тууылады. Ыдырауы баяу болады. Шамамамен 10
-10
с . мұндай механизмді түсіндіру үшін ассоциатив туылу гипотеасын енгізген.
Б) реакцияның туылу этабында
гиперон мен
гиперон қатнасады да, ал ыдырау кезінде күшсіз өзара әсерлермен баяу ыдырайды. Ал басында өте күшті реакция әсермен әсерлеседі.
В) ол жерде Ө тета деп аталушы ыдырау пайда болады.
. Ал
пиондар ыдырайды
Г) нейтраль каондардың өзіне сәйкес болған қасиеттері түрліше болып көрінеді.
Этамезон-
және омега минус гиперон
-1964 жылы экспериментте анықталған. 1960 жылы Альварес және Алстон тарапынан түрліше резонанстар анықталған. Оны У
*
арқылы белгілейміз. 1961 жылы Фрезер және Фуко тарапынан векторлы мезондар анықталған немесе резонанстар.
1974 жылы қарашада жоғары энергиялы физикада қызмет етуші мамандар және жаңа бөлшек тауып оның жасау уақыты секунд екені анықталған. Оларға иод бөлшектер деп атаған.
... жалғасы- Іс жүргізу
- Автоматтандыру, Техника
- Алғашқы әскери дайындық
- Астрономия
- Ауыл шаруашылығы
- Банк ісі
- Бизнесті бағалау
- Биология
- Бухгалтерлік іс
- Валеология
- Ветеринария
- География
- Геология, Геофизика, Геодезия
- Дін
- Ет, сүт, шарап өнімдері
- Жалпы тарих
- Жер кадастрі, Жылжымайтын мүлік
- Журналистика
- Информатика
- Кеден ісі
- Маркетинг
- Математика, Геометрия
- Медицина
- Мемлекеттік басқару
- Менеджмент
- Мұнай, Газ
- Мұрағат ісі
- Мәдениеттану
- ОБЖ (Основы безопасности жизнедеятельности)
- Педагогика
- Полиграфия
- Психология
- Салық
- Саясаттану
- Сақтандыру
- Сертификаттау, стандарттау
- Социология, Демография
- Спорт
- Статистика
- Тілтану, Филология
- Тарихи тұлғалар
- Тау-кен ісі
- Транспорт
- Туризм
- Физика
- Философия
- Халықаралық қатынастар
- Химия
- Экология, Қоршаған ортаны қорғау
- Экономика
- Экономикалық география
- Электротехника
- Қазақстан тарихы
- Қаржы
- Құрылыс
- Құқық, Криминалистика
- Әдебиет
- Өнер, музыка
- Өнеркәсіп, Өндіріс
Қазақ тілінде жазылған рефераттар, курстық жұмыстар, дипломдық жұмыстар бойынша біздің қор #1 болып табылады.

Ақпарат
Қосымша
Email: info@stud.kz