Талғар қаласындағы спорт ғимаратын жылыту


Қазақстан республикасы білім және ғылым министрлігі
Қ. И. Сәтбаев атындағы Қазақ ұлттық техникалық университеті
Т. Қ. Бәсенов атындағы Сәулет және Құрылыс институты
Инженерлік жүйелер және желілер кафедрасы
Байбараков Б. С
Талғар қаласындағы спорт ғимаратын жылыту
Дипломдық жобаға
ТҮСІНІКТЕМЕЛІК ЖАЗБА
050729-Құрылыс мамандығы
Алматы 2013
Қазақстан республикасы білім және ғылым министрлігі
Қ. И. Сәтбаев атындағы Қазақ ұлттық техникалық университеті
Т. Қ. Бәсенов атындағы Сәулет және Құрылыс институты
Инженерлік жүйелер және желілер кафедрасы
ҚОРҒАУҒА ЖІБЕРІЛДІ
Кафедра меңгерушісі
техн. ғыл. д-ры., профессор
М. Мырзахметов
«» 2013ж.
Дипломдық жобаға
ТҮСІНІКТЕМЕЛІК ЖАЗБА
Тақырыбы: «Талғар қаласындағы спорт ғимаратын жылыту»
050729-Құрылыс
Орындаған Байбараков Б. С
Пікір беруші
«» 2013ж.
Жетекші
техн. ғыл. канд., доцент
К. К Алимова
«___» 2013ж.
Алматы 2013
Қазақстан республикасы білім және ғылым министрлігі
Қ. И. Сәтбаев атындағы Қазақ ұлттық техникалық университеті
Т. Қ. Бәсенов атындағы Сәулет және Құрылыс институты
Инженерлік жүйелер және желілер кафедрасы
050729-Құрылыс
БЕКІТЕМІН
Кафедра меңгерушісі
техн. ғыл. д-ры., профессор
М. Мырзахметов
«» 2013ж.
Дипломдық жоба орындауға
Тапсырма
Білім алушы Байбараков Бауыржан Сабитович
Тақырыбы «Талғар қаласындағы спорт ғимаратын жылыту »
Университет ректорының «29» 12. 2012ж. №829-п бұйырығымен бекітілген
Аяқталған жобаны тапсыру мерзімі «03» мамыр 2013ж.
Дипломдық жобаның бастапқы берілістері М 1:100, бас фасадтың бағыты мен орналасу орны, сыртқы қоршаушы құрылымдар материалының сипаттамалары мен қаланың климаттық параметрлері.
Дипломдық жобада қарастырылатын мәселелер тізімі а) Негізгі бөлім: Сыртқы қоршаулардың жылутехникалық есебі; жылыту жүйесін таңдау және құрастыру есебі; б) ҚӨТ бөлімі: Еңбек шығынын калькуляциялау; күнтізбелік жоспар және жұмысшылардың қозғалыс графигі; технико-экономикалық көрсеткіштер; в) Экономика бөлімі: Келтірілген шығын есебі; негізгі технико-экономикалық көрсеткіштер; г) ҚжЕҚ бөлімі: Еңбек қауіпсіздігінің талаптары, жарықтандыруды есептеу.
Сызбалық материалдар тізімі (міндетті сызбалар дәл көрсетілуі тиіс) -4. 000 белгілердегі жертөле жобасы; +0, 000 белгідегі 1 қабат жобасы; +5, 400 белгідегі 2 қабаттар жобасы; жылыту жүйесінің тік құбырларының сұлбасы Тқ. 14-Тқ. 21; 1-3 қабаттардағы жылыту жүйесінің сұлбасы; В8, В4, В10, В12, В5, В7’ желдету жүйелерінің сұлбалары; күнтізбелік жоспар.
Ұсынылған негізгі әдебиет 15 атау:
Дипломдық жобаны дайындау
Кестесі
Дипломдық жоба бөлімдерінің кеңесшілері мен
норма бақылаушының аяқталған жобаға қойған
қолтаңбалары
Кеңесшілер
(аты-жөні, тегі, ғылыми дәрежесі, атағы)
Ж. Н Нигметов
техн. ғыл. канд., доцент
М. У Дуйсемалиева
экон. ғыл. канд., доцент
С. М Почанов
техн. ғыл. канд.,
доцент
А. Н Хойшиев
техн. ғыл. канд.,
аға оқытушы
Жетекші К. К Алимова
Тапсырманы орындауға алған білім алушы Б. С Байбараков
Күні «___» 2013ж.
АҢДАТПА
Дипломдық жобаның негізгі мақсаты Талғар қаласындағы спорт ғимаратын жылыту жүйелерін есептеу және құрастыру. Жоба кіріспе, төрт бөлім, қорытынды, пайдаланылған әдебиеттер тізімі және қосымшалардан құрастырылған.
Кіріспеде тақырыптың өзектiлiгі дәлелдеген, жазылған дипломдық жобаның мақсаты қойылған, міндеттері анықталды.
Бірінші бөлімінде жұмыс барысында жылыту жүйелерінің түрлері анықталып, құрылыс ауданының климаттық шарттары мен қоршау құрылымдарының жылутехникалық қасиеттерi ескеріліп, құрылыс нормалары және ережелері талабына сай есептеулер жүргiзiлдi. Спорт ғимаратының көлеміне, сәулеттік ерекшеліктеріне, климаттық параметрлеріне байланысты жүйелердің түрін таңдалды. Жылыту жүйесінің кең тараған екі құбырлы жылыту жүйесі қабылданған. Есепті параметрлер бойынша жылыту жүйелерінің жабдықтары таңдалды.
Екінші бөлімінде жұмыстың ұйымдастырылуы толық ашылды. Жұмысшылардың қозғалыс графигінің күнтізбелік жоспары және еңбек шығынын калькуляциялау жұмысы құрастырылды.
Үшінші бөлімінде жылыту жүйелерінің материалдар шығыны қазіргі заманға сай оптималды бағамен есептелді. Құрылыс нормаларына сай жылдық эксплуатационды шығындар анықталды. Технико-экономикалық көрсеткіштер құрастырылды.
Төртінші бөлімінде жылыту жүйелерін құрастыру кезінде қауіпсіздік шаралары қарастырылды, жарықтандырудың есептері жүргізілді.
Қорытындыда дипломдық жобаның жылыту және қабылданған негізгі шешімдері, олардың тиімділігі, маңыздылығы ашық жазылған.
АННОТАЦИЯ
Главной целью дипломной работы является подсчет и строительство отопительных систем в спортивном комплексе (здании) города Талгар. Проект состоит из введения, четырех частей, заключения, списка литератур и дополнительных материалов.
В введении говорится об актуальности данной темы, о четком постановлений целей, об определении обязательств.
В первой части определены виды отопительных систем в ходе работы, учтены климатические условия строительной зоны и свойственные структуры заграждения, были сделаны подсчеты строго по правилам строительных норм. Выбор систем спортивного комплекса был сделан исходя из объема здания, архитектурных особенностей и климатических параметров. Было утверждено использование широко распространённых двухпроводных отопительных систем. Оборудования отопительных систем были выбраны по подсчитанным параметрам.
Во второй части дипломной работы полностью раскрыта организаторская часть работы. Был сконструктирован календарный план графика движении рабочих и калькуляционная работа потерь труда.
В третьей части были подсчитаны расходы использования материалов отопительных систем по нынешним оптимальным ценам. Были определены расходы годовой эксплуатации по строительским нормам. Сконструированы технико-экономические показатели.
В четвертой части были рассмотрены способы (правила) безопасности во время конструирования отопительных систем, были сделаны отчеты осветления.
В заключении ясно и четко написано об основных принятых решениях, об их рациональности и важности.
ABSTRACT
The main purpose of the thesis is the calculation and construction of heating systems in the sports complex (building) of Talgar. The project consists of an introduction, four parts, conclusion, bibliography, and additional materials.
The introduction refers to the relevance of the topic, about its actuality, clear purposes and determining the liability.
The first part defines the types of heating systems in term of work, takes into account the climatic conditions of the construction zone and the peculiar structure of the barrier, counts were made strictly according to the rules of building codes. Choosing a sports complex systems has been made based on the volume of the building, architectural features and climatic parameters. It was approved by the widespread use of two-wire heating systems. Equipment of heating systems were chosen by counted parameters.
The second part of the thesis is fully revealed organizational part. Schedule of movements of workers and calculative job losses were constructed.
In the third part, heating systems’ materials’ price have been calculated according to the current best price. Annual operating expenses identified by building standards. Indicators were designed both technically and economically.
The fourth part examined ways (rules) of safety during the construction of heating systems, reports have been made through clarifying.
Conclusion was clearly and accurately written about the basic decisions, about their rationality and the importance of construction.
МАЗМҰНЫ
Адам өз өмірінің 80 пайызын жабық бөлмелерде өткізеді. Бұндай жағдайда адам тіршілік әрекетінің қалыпты шарттарын қамтамасыз ету үшін, ішкі ауаның есепті температурасын ұстау керек. Мұндай температураны ұстап тұру жылыту қондырғыларына жүктелінеді, адамдар бұрыннан оның құрастырылуы мен толық жетілдірілуімен айналысып келеді.
Жылытудың атқаратын міндеті - адамның өмір тіршілігі және жұмыс атқаруы жайлы болуына салқын мерзім кезінде ғимараттар мен үймереттердің бөлмелерінде бапты жылулық комфорттық жағдай тұрғызу, оптимальді температуралық жағдай арқылы. Бөлмелерде жылулық комфорттық жағдайды құрастырып және бапты жағдайда ұстау үшін ең жоғарғы техникалық жылыту қондырғылары қолдануы қажет. Жылыту бөлмелерінде комфорттық жағдай қамтамасыз етеді. Комфорттық жағдайдың параметрлері: температура, ылғалдық, ауа жылдамдығы. Әр ғимаратың бөлмелерін ішкі температуралары әртүрлі болуы мүмкін, бұл температуралар сәулетшілердің нормативтік құжаттарынан қабылданады. Жылыту құрастырылған бөлшектерден болғандықтан жүйе деп аталады. Жылыту жүйесі үш бөлшектен қарастырылады: жылу көзі, құбырлар, жылыту аспаптары. Жылыту жүйесінің түрі мен сұлбалары ғимараттын қабаттар жобаларына, конструктивтік және технологиялық ерекшеліктеріне сәйкес таңдалады. Жылыту жүйесінің жұмысының басқару принциптері мен қозғалыс тәртіптері қарастырылады.
Жылыту жүйесіне келесі талаптар қойылады: санитарлы-гигиеналық, технико-экономикалық, құрылыс-сәулеттік, пайдаланулық. Санитарлы-техникалық жұмыстың табысты орындалуы барлық нысана бойынша құрылыс- құрастыру жұмыстарының уақытылы бітуін және оның тағайындалған мерзімде пайдалануға берілуін қамтамасыз етеді. Өзі кезегінде санитарлы-техникалық жұмыстың орындалуы құрылыстық конструкцияның және ғимараттың элементінің нақты дайындығымен технологиялық байланысты.
Жылыту жүйелерінің құрастыру жұмыстарын орындауды нысанның құрастырылуының астына немесе оның актыға оның жеке басып алу әдістерінен кейін ғана бастау тиіс. Жылыту жүйесінің құрастырылуына дейін келесі жұмыстар орындалуы тиіс: ғимараттың тіректері құрастырылған, жабынның конструкциялары орналастырылған, қара едендер жасалған, құрылыс конструкцияларынан және материалдардан жолдар мен жүру жерлері босатылған, жасанды жарық қамтамасыздандырылған. Құбырдың төсемесінің жерлерінде құбырды бекіту үшін кронштейн және салпыншақтар болуы керек. Жылыту жүйесінің құрастырылуы біткен соң және табылған ақауларды жойған соң жүйені гидравликалық әдіспен 0, 7МПа қысыммен тығыздыққа және беріктікке сынау. Құбырлар ретінде болат және пластикалық материалдар қолданылады.
1 Негізгі бөлім
- Жобалауға берілген негізгі деректер
Дипломдық жобада Талғар қаласында орналасқан спорт ғимаратының микроклиматын қамтамасыз ету үшін жылыту жүйесінің есептері қарастырылады және құрал жабдықтары таңдалады. Спорт ғимаратының жылыту жүйесін жобалауға қажетті деректері қабылданады.
Жылдың суық кезеңінің климаттық параметрлері:
-сыртқы ауаның есепті температурасы (ең салқын бес күндіктің) : - 25 о С;
-жылыту мерзімі кезіндегі сыртқы ауаның орташа температурасы: 1, 6 о С;
-жылыту мерзімінің ұзақтылығы: 168 тәулік;
-жылыту мерзімі кезіндегі желдің орташа жылдамдығы: 5, 2 м/с.
1. 2 Сыртқы қоршаулардың жылу техникалық есептері
Жылыту жүйелерін жобалау үшін жылутехникалық есептер арқылы мәліметтер болу қажет. Жылу берудің үш түрі болады: сәулелік, конвективтік және жылу өткізгіштік. Сыртқы қоршауларда жылу өткізгіштік түрі мол болады. Ішкі және сыртқы ауа қатынасы сыртқы қоршаулар арқылы қарастырылады. Жылу техникалық есепті орындауға негізгі қажеттіліктер: жылдың салқын мерзіміндегі ішкі және сыртқы ауаның термодинамикалық параметрлері және сыртқы қоршаулардың жылуфизикалық сипаттамалары. Жылу техникалық есеп жылытылатын мерзімде ғимараттың барлық бөлмелерінің сыртқы қоршауларына санитарлы-гигиеналық талаптарын және пайдалану шарттарын есепке ала отырып жүргізіледі.
Спорт ғимаратының сыртқы қоршауларының жылу техникалық есептеуін өткізу үшін бөлмелерінің тағайындалуы мен пайдалануын білу қажет, себебі олардың ішкі ауа температурасы, ылғалдылығы санитарлық нормалар және ережелермен беріледі. Сыртқы қоршаудың ішкі бетіндегі температурасы, ылғалды нүктедегі температурадан артық болу керек, кем дегенде 2-3С.
Ғимараттың санитарлы - гигиеналық және комфорттық жағдайларға сәйкес қоршаудың жылу таратуға керекті кедергісі
, м
2 o
C/Вт анықталады
, (1. 1)
немесе
, (1. 1а)
мұндағы
сыртқы қоршаудың сыртқы ауаға қатынасын ескеретін коэффициент, қабылданады [2, 4] ;
бөлменің ішкі ауа температурасы,
о
С;
сыртқы ауаның есепті температурасы,
о
С;
қоршаудың ішкі бетінен жылу өткізгіш коэффициенті, Вт/м
2
o
C;
ішкі ауа температурасы мен қоршаудың ішкі бетіндегі температуралар арасындағы нормативті температура айырмасы,
о
С, қабылданады [2] .
Сыртқы қоршау арқылы жоғалатын жылу шығыны
, Вт анықталады
, (1. 2)
мұндағы к - сыртқы қоршаудың жылу өткізгіш коэффициенті, Вт/м 2 o C;
А - қоршаудың ауданы, м
2
;
- ішкі ауа температурасы,
о
С;
- есепті сыртқы ауа температурасы,
о
С.
Cыртқы қоршаулардың жылу өткізгіштік коэффициенті
,
анықталады
(1. 3)
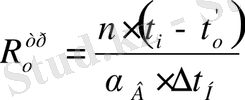
Сыртқы қоршаулардың жылу өткізгіш коэффициенттерін анықтау үшін олардың жылулық кедергілері белгілі болуы керек. ҚР ҚНжЕ 2. 04-03-2002 «Құрылыс жылутехникаға» сәйкес сыртқы қоршаудың жылулық кедергісі (R 0 ) анықтаудан басталады және ол қоршаудың жылу таратуға келтірілген кедергілерінен (R 0 пр ) кем болмауы керек санитарлы гигиеналық талаптарға байланысты.
Сыртқы қоршаулардың жалпы жылу өткізу кедергісі
,
o
C/Вт анықталады
, м
2
(1. 4)
мұндағы
қоршаудың ішкі беттерінен ауаның жылу өткізу кедергісі;
қоршаудың қабаттарының жылу өткізгіштік кедергілері;
қоршаудың сыртқы бетінен ауаның жылу өткізгіш кедергісі.
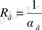
Қоршаудың ішкі бетінен ауаның жылулық кедергісі
, м
2o
C/Вт анықталады
, (1. 5)
мұндағы
қоршаудың ішкі беттерінен ауаның жылу өткізу коэффициенті, Вт/м 2 o C, қабылданады
Вт/м 2 o C [2] .
Қоршаудың қабаттарының жылу өткізгіштік кедергілері
, м
2o
C/Вт анықталады
, (1. 6)
мұндағы δ - қоршаудың қабаттарының қалыңдығы, м;
λ- жылуөткізгіштік коэффициент, Вт/м°С.
Cыртқы қоршаулардың жылу өткізгіштік коэффициентерін нормативті келтірілген термиялық кедергілері бойынша ЖМГТ-ға байланысты анықтауға болады
ЖМГТ=(t i -t оm ) ⋅z, (1. 7)
мұндағы t оm - жылытылатын мерзімнің орташа температурасы, °С;
z - жылытылатын мерзімнің ұзақтылығы, тәулік;
ЖМГТ-ны анықтау үшін Талғар қаласының жылытылатын мерзімнің ұзақтылығы z=168 тәулік, t оm =1, 6°С.
ЖМГТ = (18+1, 6) ⋅168=3292, 8.
1. 2. 1 Төбелік жабынның жылутехникалық есебі
Спорт ғимаратының төбе жабынның материалдарының құрылымы сурет 1. 1-де келтірілген.
1-қабат: темір бетонды плита, δ 1 =0, 15 м; жылуөткізгіштігі λ=1, 62 Вт/м°С;
2 - қабат: перлитопластобетон, қалыңдығы δ 2 - белгісіз, жылуөткізгіштігі λ=0, 052 Вт/м°С;
3- қабат: руберойд, қалыңдығы δ 3 =0, 01 м, жылуөткізгіштігі λ=0, 17 Вт/м°С;
4 - қабат: ауа қабаты, кедергісі R 4 =0, 14 м 2 0 С/Вт.
1. 1-сурет. Төбе жабынның материалдарының құрылымы
ЖМГТ көрсеткішіне байланысты төбелік жабын үшін келтірілген кедергісін қабылдаймыз R 0 пр =2, 45 м 2 °С/Вт.
м
2
°С/Вт,
Оқшаулағыш қалыңдығын 0, 2 м деп қабылдаймыз.
Төбелік жабынның жалпы жылу өткізу кедергісін анықталады
м
2
°С/Вт.
Төбелік жабынның жылу өткізгіштік коэффициенті (1. 3) өрнекпен анықталады
Вт/м
2
°С.
1. 2. 2 Сыртқы қабырғаның жылу техникалық есебі
Спорт ғимаратының сыртқы қабырғасының материалдарының құрылымы
1 - қабат: гипсокартон, жылуөткізгіштігі λ 1 =0, 19 Вт/м°С, қалыңдығы δ 1 =0, 01;
2- қабат:ауа қабаты, кедергісі R 2 =0, 14 м 2 0 С/Вт;
3 - қабат: кәдімгі балшық кірпіш, жылуөткізгіштігіλ 3 =0, 7 Вт/м°С қалыңдығы δ 3 =0, 5м;
4 - қабат: «Пеноплекc» жылуоқшаулағышы, қалыңдығы белгісіз,
жылуөткізгіштігі λ 4 =0, 028 Вт/м°С;
5 - қабат: ауа қабаты, кедергісі R 5 =0, 14 м 2 0 С/Вт;
6 - қабат: ағаш мықтағыш, қалыңдығы δ 6 =0, 04 м; λ=0, 35 Вт/м°С;
7-қабат: алюкобонд - есептелгенде саналмайды, қабырғаға ағаш мықтағыш арқылы қойылады.
1. 2- сурет. Сыртқы қабырғасының материалдарының құрылымы
Санитарлы - гигиеналық және комфорттық жағдайларға сәйкес ЖМГТ=3292, 8 үшін сыртқы қабырғаның жылу таратуға келтірілген кедергісі қабылданады R 0 пр =2, 12 м 2 °С/Вт.
Жылу энергия үнемдеу талабына сай келетін жылуоқшаулағыш «Пеноплекс» қолданамыз, оның эффективті қалыңдығын
, м анықтаймыз
, (1. 8)
Оқшаулағыш қалыңдығын 0, 06 м деп қабылдаймыз.
Сыртқы қабырғаның жалпы жылу өткізу кедергісі
, м
2
°С/Вт. анықталады
м
2
°С/Вт.
Қоршаудың ағаш ұстатқышының жылулық кедергісін
, м
2
°С/Вт. анықтаймыз
м
2
°С/Вт.
Сыртқы қабырғаның жылу өткізгіштік коэффициенті К ст, м 2 o C/Вт анықталады
К
ст
, м
2
o
C/Вт.
1. 2. 3 Еденнің жылу техникалық есебі
Спорт ғимаратының жерде орналасқан еденінің материалдарының құрылымы 1. 3суретте келтірілген.
1- қабат: монолитті темірбетонды плита, жылуөткізгіштігі λ
1
=1, 92 Вт/м°С, қалыңдығы
;
2- қабат:ДВП 10мм жылуөткізгіштігі λ
2
=0, 17 Вт/м°С, қалыңдығы
;
3- қабат: тұтастырғыш цементті-құмды ерітіндіден М50, армираланған сетка жылуөткізгіштігі λ=0, 76Вт/м°С, қалыңдығы
;
4-қабат: еден жабыны - көп қабатты линолеум жылуөткізгіштігі λ=
0, 33
0, 19 Вт/м°С, қалыңдығы
.
1. 3-сурет. Еден материалдарының құрылымы
Жертөленің едені жерде орналасқан жылу жоғалуын анықтау үшін, еден ауданы 4 зонаға бөлінеді, ендері 2м-ден сыртқы қабырғаға параллельді 3 зона қабылданады, қалған ауданы 4 зонаға жатады. Әр зона үшін жылу беру кедергілері белгілі деп қабылданады:
1 зона үшін 2, 1 м 2 °С/Вт; 2 зона үшін 4, 3 м 2 °С/Вт;
3 зона үшін 8, 6 м 2 °С/Вт; 4 зона үшін 14, 2 м 2 °С/Вт.
Осыған байланысты әр зонаның жылу өткізгіштік коэффициенті анықталады
Еден 1 =0, 48 Еден 2 =0, 233
Еден 3 =0, 116 Еден 4 =0, 07
1. 2. 4 Терезенің жылу техникалық есебі
Терезенің конструкциясы мен материалына байланысты және ЖМГТ= 3292, 8 бойынша жылу берудің келтірілген кедергісін R о пр = 0, 3675 м 2 °С/Вт қабылдаймыз.
Терезенің жылу өткізгіштік коэффициенті К, м 2 Вт/м 2 анықталады
К
, м
2
Вт/м
2
1. 3 Жылыту жүйесінің қуаты
Спорт ғимаратының және оның бөлмелерінен жоғалатын жылу қуатын анықтау үшін мынадай мәліметтер болу қажет: 1) ғимараттың салынатын жері; 2) ғимараттың әлем бағытына қарай орналасуы және жел бағытттары; 3) барлық құрылыстық өлшемдері түсірілген ғимараттың қабаттарының жоспары және қималары; 4) ғимарат бөлмелерінің арналуы; 5) ғимараттың барлық сыртқы қоршауларының конструкциялары мен олардың жылу техникалық есептері. Ғимараттың жылыту жүйесін жобалау үшін бөлмелердің сыртқы қоршаулары арқылы жылу жоғалуларын анықтау қажет.
Бөлменің ішінде қажетті температураны бірқалыпты ұстап тұруға ар-налған жылту жүйесінің қуаты бөлменің жылу шығынына тең болатындай етіп есептелінеді. Біріқ, кейбір өндірістік, кеңселік, сауда және басқа да бөлмелерде қосымша жылу көздері болып, жылыту асптармен қатар жылыту шығынының орнын толтыру процесінде қатысуы мүмкін. Ондай жылу көзде- ріне адамдар, жұмыс істеп тұрған әртүрлі механизмдер, технологиялық аппараттар мен пештер, бөлмеге енгізілген қыздырылған материал массалары т. б жатады.
... жалғасы- Іс жүргізу
- Автоматтандыру, Техника
- Алғашқы әскери дайындық
- Астрономия
- Ауыл шаруашылығы
- Банк ісі
- Бизнесті бағалау
- Биология
- Бухгалтерлік іс
- Валеология
- Ветеринария
- География
- Геология, Геофизика, Геодезия
- Дін
- Ет, сүт, шарап өнімдері
- Жалпы тарих
- Жер кадастрі, Жылжымайтын мүлік
- Журналистика
- Информатика
- Кеден ісі
- Маркетинг
- Математика, Геометрия
- Медицина
- Мемлекеттік басқару
- Менеджмент
- Мұнай, Газ
- Мұрағат ісі
- Мәдениеттану
- ОБЖ (Основы безопасности жизнедеятельности)
- Педагогика
- Полиграфия
- Психология
- Салық
- Саясаттану
- Сақтандыру
- Сертификаттау, стандарттау
- Социология, Демография
- Спорт
- Статистика
- Тілтану, Филология
- Тарихи тұлғалар
- Тау-кен ісі
- Транспорт
- Туризм
- Физика
- Философия
- Халықаралық қатынастар
- Химия
- Экология, Қоршаған ортаны қорғау
- Экономика
- Экономикалық география
- Электротехника
- Қазақстан тарихы
- Қаржы
- Құрылыс
- Құқық, Криминалистика
- Әдебиет
- Өнер, музыка
- Өнеркәсіп, Өндіріс
Қазақ тілінде жазылған рефераттар, курстық жұмыстар, дипломдық жұмыстар бойынша біздің қор #1 болып табылады.

Ақпарат
Қосымша
Email: info@stud.kz