Бюджет-салық саясатының қысқа және ұзақ мерзімдегі мақсаты, құралдары

 
    
Жоспары:
I. Кіріспе бөлімі:
1. 1. Бюджет-салық саясатының қысқа және ұзақ мерзімдегі мақсаты, құралдары. Мемлекеттік шығындардың мультипликаторы . . . 2
II. Негізгі бөлімі:
2. 1. Салық мультипликаторы, баланстық бюджет мультипликаторы . . . 3
2. 2. Дискрециялық және дискрециялық емес қазыналық саясат. Бюджет тапшылығы және артықшылығы. Мемлекеттік бюджеттің циклдік және құрылымдық тапшылығы . . . 6
2. 3. Қазақстан Республикасының 2008-2010 жылдарға арналған фискалдық саясаты . . . 11
III. Қорытынды . . . 28
Қолданылған әдебиеттер тізімі . . . 29
  I. Кіріспе
 
1. 1. Бюджет-салық саясатының қысқа және ұзақ мерзімдегі мақсаты, құралдары
Мемлекеттің экономикаға әсер етуі салық салу құралдары арқылы жүргізіледі. Мемлекеттік шығындар мемлекеттік бюджеттің қаржыларын пайдалану нәтижесінде мүмкін болады, ал салық бюджетті қаржымен қамтамасыз ететін бірден-бір құрал.
Бюджет-салық саясаты ( қазыналық (фискалдық) саясат) - мемлекеттік бюджет жағдайын, салық салуды және мемлекеттік шығындардың өзгерісін реттеу мақсатында үкімет тарапынан жүргізілетін шаралар. Бұл шараларжұмыспен толық қамтылуды, төлем балансының тепе-теңдігін және экономиканың өсуін қамтамасыз ету мақсатында жүргізіледі.
Ынталандырушы бюджет-салық саясатының (қазыналық экспансия) мақсаты - қысқа мерзімді кезеңде экономикадағы циклдік құлдырауды жою. Ол үшін мемлекет шығындарды (G) өсіріп, салық мөлшерін төмендетуді немесе біріктірген, құрастырма шараларды жүзеге асырады.
Ұзақ мерзімдік кезеңде ынталандырушы бюджет-салық саясаты өндіріс факторларын кеңейтуге және экономикалық әлуеттің өсуіне алып келуі мүмкін. Бұл кешенді салық реформасының жүргізілуіне байланысты болады. Ал ол өз кезегінде Орталық банк жүргізетін тежеуші ақша-несие саясатымен және мемлекеттік шығындардың құрылымын оңтайландырумен байланысты.
Тежеуші бюджет-салық саясатының (қазыналық шектеу) мақсаты - экономикадағы циклдік өсуді тежеу. Бұл саясатты жүзеге асыру үшін мемлекет мемлекеттік шығындарды (G) төмендетіп, салық мөлшерін (T) жоғарылатады немесе біріктірген, құрастырма шараларды іске асырады. Қысқа мерзімдік кезеңде бұл шаралар өндірістің құлдырауы және жұмыссыздық деңгейінің өсуі салдарынан болған сұраныс инфляциясын төмендетуге мүмкіндік береді.
Ұзақ мерзімдік кезеңдегі тежеуші бюджет-салық саясаты жиынтық ұсыныстың төмендеуіне және құлдыраушылық механизмінің басталуына негіз болуы мүмкін. Бұл құбылыс мемлекеттік шығындардың азаюы бюджеттің барлық баптарында пропорционалды қысқартылса және еңбек нарығының инфрақұрылымына мемлекеттік инвестиция берілуінде басымдылық болмаса кездеседі.
Мемлекеттік шығындарды тиімсіз басқарумен қатар ұзақ уақытқа созылған құлдыраушылық экономикалық әлуеттің бұзылуына әсерін тигізеді. Мұндай жағдай экономиканың өтпелі кезеңінде жиі кездеседі.
II. Негізгі бөлім
2. 1. Мемлекеттік шығындардың мультипликаторы. Салық мультипликаторы. Баланстық бюджет мультипликаторы
Қысқа мерзімдік кезеңде бюджет-салық саясаты баланстық бюджеттің, салықтың және мемлекеттік шығындардың мультипликаторы әсерімен байланысты болады.
Мемлекеттік шығындардың өзгерісін көру үшін кейнс кресін пайдаланады. Кейнс кресі салық төлемі (Т), мемлекеттік шығындар (G) және жоспарланған инвестицияның (I) қай деңгейінде тепе-теңдік өнім көлемі (У) қалыптасатынын көрсетеді. Мемлекеттік шығындар жиынтық шығындардың құрауышы болып табылады, олардың өсуі жоспарланған шығындарды да өсіреді.
 
Табыс, өнім шығару көлемі
1-сурет. Кейнс кресі үлгісіндегі мемлекеттік шығындар өсімі.
Егер мемлекеттік шығындар ∆G-ға өссе, онда жоспарланған шығындар қисығы жоғары қарай сол мәнге жылжиды. Ал тепе-теңдік өнім көлемі Y 1 -ден Y 2 -ге өседі, демек, ∆Y=∆G x m g . m g - мемлекеттік шығындардың мультипликаторы. Мемлекеттік шығындар мультипликаторы мемлекеттік шығындар 1 теңгеге көбейгенде пайда мөлшері қандай шамаға өсетінін көрсетеді. Мемлекеттік шығындар ∆G-ға өскенде мультипликаторлық үрдіс басталады және табысты сол мәнге өсіреді, ол тұтынуды b*∆G шамасына өсіреді. Тұтыну көлемінің мұндай өсуі табыс пен шығын көлемін тағы да өсіреді. Ол тұтынуды тағы да b*∆G шамасына өсіреді. Сонда жиынтық әсер төмендегідей:
шығынның алғашқы өзгерісі=∆G
тұтынудың алғашқы өзгерісі=b*∆G
тұтынудың екінші өзгерісі=b 2 *∆G
∆Y=∆G(1+b+b 2 +…)
 формуласы арқылы мемлекеттік шығындар мультипликаторы есептеледі. Кейде оны кейнс мультипликаторы деп те атайды.
 формуласы арқылы мемлекеттік шығындар мультипликаторы есептеледі. Кейде оны кейнс мультипликаторы деп те атайды.
Мемлекеттік шығындар мультипликаторының көлемі мен тепе-теңдік көлемін төмендегі теңдеулер жүйесін шешу арқылы табады:
 
 
мұндағы Y=C+I+G - негізгі макроэкономикалық тепе-теңдік;
C=a+b*Y - тұтыну функциясы.
Тұтыну фкнкциясының мәнін макроэкономикалық теңдеуге қою тепе-теңдік өнім көлемін анықтауға мүмкіндік береді:
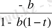
 Y=a+b*Y+I+G => Y-bY=a+I+G => Y*(1-b) =a+I+G => Y=
  (a+I+G)
 (a+I+G)
 мұндағы (a+I+G) - табыс көлемі Y-тен тәуелсіз шығындар, ал
  - мультипликатор.
 - мультипликатор.
Жабық экономикада тепе-теңдік табыс көлемі деңгейінің өзгеруіне байланысты мемлекеттік шығындар ғана емес, автономды шығындар да өзгереді, осы құбылысты мультипликатор көрсетеді.
Мультипликатор шамасын анықтайтын негізгі фактор болып тұтынудың шекті бейімділігі (b), МРС есептеледі.
Табысқа салық салынғаннан соң, тұтыну функциясы басқаша болады, демек, мультипликатор лгісі де өзгереді:
 
 мұндағы
  - жабық экономикадағы мультипликатор шығындары.
 - жабық экономикадағы мультипликатор шығындары.
t- шекті салық мөлшерлемесі.
Шекті салық мөлшерлемесі - енгізілген салық сомасы өсімшесінің табыс өсімшесіне қатынасы арқылы табылады:
 t=
  
Өнім шығару көлемі мен жұмысбастылық деңгейін тұрақтандыратын және мультипликатор әсерін азайтуға ықпал ететін фактор - үдемелі салық салу жүйесі.
Жабық экономикаға қарағанда ашық экономикада мемлекеттік шығындарға мультипликатор әсері төмен.
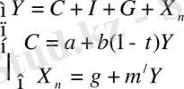
Ашық экономикада тепе-теңдік өнім көлемі мен мемлекеттік шығындар мультипликаторының көлемі төмендегі теңдеулер жүйесін шешу арқылы табылады:
 
мұндағы Y=C+I+G+X n - негізгі макроэкономикалық тепе-теңдік;
C=a+b(1- t) Y - тұтыну функциясы;
X n =g-m / Y - таза экспорт функциясы.
 
 мұндағы
  - ашық экономикадағы мемлекеттік шығындар мультипликаторы;
 - ашық экономикадағы мемлекеттік шығындар мультипликаторы;
m / - импорттаудың шекті бейімділігі.
Салық мультипликаторының механизмі, мемлекеттік шығындар мультипликаторы сияқты, салық көлемінің өзгерісі тұтыну көлемін қалай өзгертетінін көрсетеді.
 Салық мөлшері ∆Т-ға төмендесе
  қолда бар табыс ∆Т-ға өседі
 қолда бар табыс ∆Т-ға өседі
  тұтыну (b*∆Т) шамасына өседі
 тұтыну (b*∆Т) шамасына өседі
  жиынтық шығындар (b*∆Т) шамасына өседі
 жиынтық шығындар (b*∆Т) шамасына өседі
  жиынтық табыс (b*∆Т) шамасына өседі
 жиынтық табыс (b*∆Т) шамасына өседі
  тұтыну (b*∆Т) шамасына өседі
 тұтыну (b*∆Т) шамасына өседі
  жиынтық шығындар (b
 
  2
 
 *∆Т) шамасына өседі
 жиынтық шығындар (b
 
  2
 
 *∆Т) шамасына өседі
  жиынтық табыс (b
 
  2
 
 *∆Т) өседі
 жиынтық табыс (b
 
  2
 
 *∆Т) өседі
  тұтыну (b
 
  2
 
 *∆Т) шамасына өседі, т. с. с.
 тұтыну (b
 
  2
 
 *∆Т) шамасына өседі, т. с. с.
Егерде мемлекеттік бюджетке берілетін салық мөлшері табыс динамикасына тәуелді деп алсақ, онда салық функциясы былай жазылады:
Т=t*Y
Бұл жағдайда тұтыну функциясы төмендегідей болады:
C=a+b(Y-tY) =a+b(1-t) Y
Ал салық мультипликаторының үлгісі төмендегідей:
 m
 
  t
 
 =
  
мұндағы m t - жабық экономикадағы салық мультипликаторы
Жалпы салық функциясы төмендегідей:
T=T a +t*Y
мұндағы Т а - табыс мөлшерінен тәуелсіз автономды салық мөлшері;
t - шекті салық мөлшерлемесі.
Ашық экономикадағы тепе-теңдік өнім көлемінің үлгісі төмендегідей болады:
 Y=
  Equation. 3
 Equation. 3
 мұндағы
  - ашық экономикадағы салық мультипликаторы.
 - ашық экономикадағы салық мультипликаторы.
Автономды салық мөлшері мен мемлекеттік шығындардың бір мезгілдегі өзгерісінің нәтижесінде табыстың жиынтық өзгерісі мынадай түрде жазылады:
 
Егерде мемлекеттік шығындар және автономды салық төлемдері бірдей көлемге өзгерсе, онда тепе-теңдік өнім көлемі де өседі, яғни баланстық бюджет мультипликаторы орын алады. Баланстық бюджет мультипликаторы бірге тең немесе кіші болуы мүмкін. Баланстық бюджет мультипликаторы бюджет тапшылығы мен артықшылығын мүлдем жоя алмайды.
Мемлекеттік шығындардың өсуімен салыстырғанда, салық мөлшерінің азаюынан мультипликаторлық әсер әлсіздеу. Бұл құбылыс салықтың өзгерісімен салыстырғанда мемлекеттік шығындардың табыстың көлеміне және тұтынуға әсерінің әсерінің күштілігімен байланысты болады. Бұл айырмашылық қазыналық саясат құралдарын таңдағанда анықтаушы, негізгі болып есептеледі. Егерде қазыналық саясат экономикадағы мемлекеттік секторды кеңейту мақсатын көздесе, онда циклдік құлдырауды тоқтату үшін мемлекеттік шығын өседі, бұл құбылыс күшті ынталандырушы әсер береді.
Ал инфляцияның көтерілуін тежеу үшін, салық мөлшері өседі. Бұл құбылыс салыстырмалы жұмсақ тежеуші шара болып есептеледі.
Егерде қазыналық саясат мемлекеттік секторды тежеуге бағытталса, онда циклдік құлдырау кезеңінде салық төмендейді. Бұл жағдай салыстырмалы аз ынталандырушы әсер береді. Ал циклдік көтерілу кезеңінде мемлекеттік шығындар төмендейді, бұл инфляция деңгейін тез төмендетуге мүмкіндік береді.
2. 2. Дискрециялық және дискрециялық емес қазыналық саясат. Бюджет тапшылығы және артықшылығы. Мемлекеттік бюджеттің циклдік және құрылымдық тапшылығы
Дискрециялық қазыналық саясат - үкіметтің арнайы шешімі бойынша салықты, мемлекеттік бюджеттің сальдосын және мемлекеттік шығындардың көлемін мақсатты бағытта өзгерту. Бұл шаралар төлем балансының жағдайын, инфляция қарқынын, өнім көлемін, жұмысбастылық деңгейін өзгертуге бағытталған.
Дискрециялық емес қазыналық саясат - жиынтық табыстың циклдік тербелістерінің нәтижесінде жоғарыда аталған шамалардың дағдылы өзгеруі. Жалпы ұлттық өнімнің өсуі (төмендеуі) кезеңдерінде мемлекет бюджетіне түсетін таза салық салымдарының дағдылы түрде өсуін (төмендеуін) дискрециялық емес саясат қарастырады.
Бұл саясат экономикадағы тұрақтылыққа әсерін тигізеді. Таза салық түсімі - бюджетке түсетін жалпы салық мөлшері мен үкімет тарапынан берілетін трансферттің арасындағы айырма. Дискрециялық қазыналық саясат экономикадағы құлдырау кезеңінде жиынтық сұранысты ынталандыру мақсатында мақсатты түрде мемлекеттік шығындарды өсіре отырып, немесе салық мөлшерін төмендетіп мемлекеттік бюджетте тапшылық құрылады. Экономиканың өрлеу кезеңінде сәйкес түрде мақсатты түрде бюджет артықшылығы құрылады.
Үкіметтің дискрециялық саясаты ішкі уақытша кешеуілдеумен байланысты болады, өйткені мемлекеттік шығындар құрылымының және салық салымы пайыз мөлшерлемесінің өзгерістері парламентте ұзақ уақыт талқылауға түседі.
Дискрециялық емес қазыналық саясатта бюджет артықшылығы және тапшылығы дағдылы түрде пайда болады, ол экономиканың кіріктірме тұрақтандырғышы арқылы мүмкін болады.
Кіріктірме тұрақтандырғыш - үкіметтің экономикалық саясатын жиі өзгертпей-ақ, өнім көлемі мен жұмысбастылық деңгейінің циклдік амплитудасы төмендетуге мүмкіндік беретін экономикалық тетік. Өркениетті, дамыған мемлекеттерде мұндай тұрақтандырғыш ретінде үдемелі салық салу, мемлекеттік трансферттер жүйесі, жұмыссыздықтан сақтандыру және пайданы бөлуге қатысу жүйесі алынады.
Экономиканың «кіріктірме тұрақтандырғышы» дискрециялық қазыналық саясаттың уақытша кешеуілдеу мерзімі ұзақтығының проблемасын салыстырмалы түрде қарағанда әлсіретеді, жұмсартады, өйткені бұл механизмдер парламенттің қатысуынсыз да жұмыс істейді.
Экономика тұрақтылығының деңгейі тікелей циклдік бюджет тапшылығы мен артықшылығы көлеміне тәуелді, бұл жағдай жиынтық сұраныс тербелісінің дағдылы «амортизаторы» қызметін атқарады.
Циклдік тапшылық (артықшылық) - мемлекеттік бюджеттің тапшылығы (артықшылығы), іскерлік белсенділіктің құлдырауы (өрлеуі) жағдайында мемлекеттік трансферттердің өсуі (азаюы) және салық түсімдерінің азаюының (өсуінің) дағдылы жүзеге асуымен байланысты болады.
 Циклдік өрлеу кезеңінде Y
 
  2
 
 >Y
 
  0
 
 үлкен болады, сондықтан салық салымдары дағдылы өседі, ал трансферттік төлемдер дағдылы төмендейді. Нәтижесінде бюджет артықшылығы өседі және инфляциялық дүрлігіс төмендейді (2-сурет) .
  
 
2-сурет.
Циклдік төмендеу кезеңінде Y 2 >Y 0 , сондықтан салық дағдылы түрде төмендейді, ал трансферттер өседі. Қорыта айтқанда, салыстырмалы түрде өнім көлемі мен жиынтық сұраныс өскенде бюджет тапшылығы құлдырауды шектейді.
Циклдік тапшылықтың және артықшылықтың көлемі салық және бюджет функциялары графиктерінің «шұғыл тікшелігіне» байланысты болады. Салық функциясы (Т) бұрыштық көлбеуінің шекті салық мөлшерлемесінің (t) көлеміне тәуелді болады, ал мемлекеттік шығындар функциясының (G) бұрыштық көлбеуі - γ көлеміне тең, бұл шама трансферттер сомасы мен табыс көлемі өзгерісінің қатынасын сипаттайды. Сәйкес түрде, табыс деңгейі неғұрлым үлкен болған сайын, соғұрлым мемлекеттен алынатын салық иөлшері жоғары және трансферт төмен болады.
 Егерде ағымдағы табыстың динамикасынан тәуелсіз мемлекеттік шығындарды (G) тұрақты деп жорамалдасақ, сол жағдайда да экономика тұрақтылығының деңгейі жоғары болады, өйткені салық мөлшерлемесі (t) деңгейі жоғары болған сайын, сәйкес түрде Т сызығы «тікше» орналасады. Т
 
  \
 
 жағдайында циклдік бюджеттік тапшылық және артықшылық көп болады. Сондықтанда Т жағдайымен салыстырғанда, жиынтық сұраныстың төмендеуі мен өсуіне кіріктірме тұрақтандырғыш басымдау әсер етеді. Сол мезгілде экономиканың кіріктірме тұрақтандырғышы бюджет-салық саясатының ұзақ мерзімдік мақсаттарына - экономика әлуетінің өсуі мен өндіріс факторларының ұсынысын кеңейтуге ынтаны бекіту мақсаттарына қарама-қарсы келеді. Инвестициялауға ынталы болу, кәсіпкерлік тәуекелшілдікке және еңбекке салыстырмалы
  түрде қарағанда әсері күштірек болады, өйткені салық функциясының қисығы жатыңқы, бұл жағдай шекті салық салымының мөлшерін төмендету арқылы мүмкін болады. Бірақ бұл төмендеу циклдік бюджет тапшылығы мен артықшылығының көлемі қысқаруымен қатар жүреді. Демек, экономиканың кіріктірме тұрақтандырғыш деңгейі төмендейді.
 түрде қарағанда әсері күштірек болады, өйткені салық функциясының қисығы жатыңқы, бұл жағдай шекті салық салымының мөлшерін төмендету арқылы мүмкін болады. Бірақ бұл төмендеу циклдік бюджет тапшылығы мен артықшылығының көлемі қысқаруымен қатар жүреді. Демек, экономиканың кіріктірме тұрақтандырғыш деңгейі төмендейді.
Қазыналық саясаттың қысқа және ұзақ мерзімдегі әсерлерінің біреуін таңдау күрделі макроэкономикалық проблема болып есептеледі. Бұл проблеманы шешу өркениетті мемлекет болсын, өтпелі кезеңдегі экономика болсын қиын тиеді. Әлетті деңгейде тепе-теңдік ЖҰӨ циклдік тербелісінің себебін кіріктірме тұрақтандырғыш жоққа шығара алмайды, тек қана бұл тербелістерді шектейді. Циклдік бюджеттік тапшылық пен артықшылықтың мәндері арқылы қазыналық саясаттың әрекеттерінің тиімділігін бағалауға болмайды. Өйткені циклдік теңгерілмеген бюджеттің болуы экономиканы ресурстардың толық қамтылған жағдайына жақындата алмайды, мұндай жағдай кез келген өнім көлемінің деңгейінде бола береді. Сондықтан экономиканың кіріктірме тұрақтандырғышы шартты түрде ресурстардың толық қамтылуын қамтамасыз ететін үкіметтің қазыналық дискрециялық шараларымен байланыста жүргізіледі. Нәтижесінде мемлекеттік бюджеттің құрылымдық тапшылығы (артықшылығы) туындайды. Бұл жұмыспен толық қамтылған жағдайдағы бюджет шығындары және табысы арасындағы айырма. Циклдік тапшылық көбіне былай анықталады - бюджет тапшылығының нақты мәні мен құрылымдық тапшылықтың арасындағы айырма.
Ресурстармен толық қамтылу деңгейі, табиғи жұмыссыздық деңгейі және әлуетті өнім көлемін анықтаудың қиындығы салдарынан мемлекеттік бюджеттің құрылымдық тапшылығын (артықшылығын) есептеу қиынға түседі. Бұл қиындық дамыған мемлекеттер мен жаңа дамып келе жатқан мемлекеттер үгін бірдей кездесіп отырады. Сонымен қатар ұзақ мерзімдік қазыналық саясаттың тиімділігін бағалайтын құрал ретінде макроэкономикалық индикаторлардың динамикасы негіз болады.
Бюджет артықшылығын тұрақтандыру әсерінің ең жоғары жағдайы. Бюджет артықшылығын жою. Мемлекеттік қарыздар бойынша пайыз мөлшерлемесін төлеуге, әлеуметтік трансферттердің өсуі немесе мемлекеттік шығындарды осы жоғарыда айтылған қаржылар арқылы қаржыландыруға кедергі болатын жағдайлар пайда болады.
Циклдік бюджет артықшылығының өсуі экономиканың өрлеу кезеңдерінде болатындықтан, бұл жағдай жиі инфляцияның күшеюіне әкелетіндіктен, онда қаржылардың бір бөлігін халыққа төлемақы ретінде беруі (облигацияларды өтеу, әл-ауқаты нашар отбасыларға жәрдемақыны өсіру) жиынтық шығындардың және сұраныс инфляциясының өсуіне әсер етеді. Керісінше, бюджет артықшылығын «тыйым салу» артық жиынтық сұранысты шектейді және экономикадағы инфляциялық дүрлігісті ұстап тұрады.
Бюджет тапшылығының тұрақтандыру деңгейіне әсері қаржыландыру тәсілдеріне байланысты.
Мемлекеттік бюджеттің тапшылығын қаржыландыру тәсілдері:
- ақша-несие эмиссиясы;
- займ шығару;
- мемлекетке түсетін салық мөлшерін көбейту.
Тапшылықты жою үшін тиын шығару жағдайында сеньораж пайда болады. Сеньораж - ақша шығару арқылы мемлекеттің табатын пайдасы.
Нақты ЖҰӨ өсуінің қарқынынан ақша жиынының өсу қарқыны артық болған жағдайда сеньораж пайда болады, бұл құбылыс орташа баға деңгейін өсіреді. Барлық экономикалық агенттер инфляциялық салық төлейді және олардың табыстарының бір бөлігі бағаның жоғарылауы арқылы мемлекетке түсіп отырады.
Инфляция деңгейінің жоғарылауы жағдайында Оливер-Танзи әсері пайда болады.
Өсіп келе жатқан инфляциялық қиындықтар салдарынан экономикалық ынта пайда болады, ол салықты уақтылы төлемеу, өйткені өткен уақытта ақша құнсызданады, бұдан салық төлеушілер ұтады. Мұның салдарынан мемлекеттегі тапшылық және қаржы жүйесінің жалпы тұрақсыздығы өседі.
Мемлекеттік тапшылықты жою үшін тиын шығару қолда бар қаржыны эмиссиялаумен бірдей жүрмеуі мүмкін, ол басқа түрде жүзеге асырылады. Мысалы, орталық банктің мемлекеттік кәсіпорындарға жеңілдетілген пайыз мөлшерімен несие беруді кеңейту арқылы немесе төлем уақытын созу арқылы жүзеге асырылады.
Соңғы жағдайда үкімет тауар мен қызмет көрсету ақысын уақтылы төлемейді. Егерде сатып алу жеке секторлардан жүргізілетін болса, онда олар бағасын алдын ала көтереді, мұндай жағдай төлемей кетуден сақтандырады. Бұл орташа баға деңгейін көтереді және инфляция деңгейі көтеріледі.
Егерде мемлекеттік сектордың төленбеген қаржылары жиналып қалса, онда бұларды Орталық банк қаржыландырады немесе мемлекеттік тапшылық мөлшерін өсіреді. Сондықтан тиын шығаруға қарағанда, уақтылы төленбеген төлемдер бюджет тапшылығының инфляциялық емес қаржыландыруына жатса да, бұл іс жүзінде шартты бөлу екендігі белгілі. Егерде мемлекеттік бюджет тапшылығы мемлекеттік займ шығарылу арқылы қаржыландырылса, онда орташа нарықтың пайыз мөлшерлемесі өседі, ол жеке секторларға берілетін инвестицияны төмендетеді. Бұл таза экспорттың төмендеуіне, тұтыну шығындарының төмендеуіне алып келеді. Осыдан ығыстыру әсері пайда болады, ол қазыналық саясаттың ынталандырушы әсерән азайтады.
Бюджет тапшылығын қарыз арқылы қаржыландыруды көбіне тиын шығару тапшылығының инфляцияға қарсы баламасы деп қарастырады. Бірақ қарыз алып қаржыландыру тәсілі инфляцияның өсуін тоқтатпайды, тек қана уақытша тежеуге мүмкіндік береді, бұл жағдай Қазақстан экономикасына тән. Егерде мемлекеттік займның облигациясын Орталық банкке орналастырмай, халыққа берсе және коммерциялық банктерге орналастырса, онда инфляция әлсірейді. Бірақ Орталық банк бұл облигацияларды құнды қағаздар нарығынан екінші рет сатып алып, жалған қазыналық іс-әрекеттерін кеңейтуі мүмкін, мұндай құбылыс инфляциялыөқ қысымның өсуіне әсер етеді.
Мемлекеттік облигацияны бюджеттен тыс қорларға төмен пайыз мөлшерімен орналастырса, онда бюджет тапшылығын қарыз арқылы қаржыландыру қосымша салық салу механизміне айналады.
Мемлекет бюджетіне салық түсімін көбейту проблемасы бюджет тапшылығын қаржыландыру шеңберінен шығып кетеді, өйткені ұзақ мерзімді кезеңде кешенді салық реформасы нәтижесінде, пайыз мөлшерлемесін азайтып, салық базасын кеңейту мүмкін болады.
Қысқа мерзімді кезеңде салық мөлшерлемесінің төмендеуі:
- экономиканың кіріктірме тұрақтандырғыш деңгейінің төмендеуі нәтижесінде;
- пайыз мөлшерлемесінің жоғарылауынан пайда болатын мемлекеттік емес секторлардың ығыстыру әсерінің өсуінен (бұл құбылыс ақша ұсынысының тұрақты жағдайында, ақша нарығындағы ақша сұранысының өсуінің жоғарғы жағдайға реакциясы) ;
- бюджет тапшылығын өсіру, бір мезгілде салық салудың мөлшерлемесін және бюджетке салық түсімін төқмендету арқылы мүмкін болады.
Мұндай жағдай Лаффер қисығында көрсетілген.
Мемлекеттік бюджет тапшылығын қаржыландыру тәсілдерінің ешқайсысы бір-бірінен аса оқшауланбайды және де ешқайсысын инфляциялық емес деп айтуға болмайды.
2. 3 Қазақстан Республикасы Үкіметінің 2008-2010 жылдарға арналған орта мерзімді фискалдық саясаты 1
Қазақстан Республикасы Үкіметінің орта мерзімді фискалдық саясаты басты факторы елде жүргізіліп отырған реформалардың тиімділігі, еңбек өнімділігінің, инновациялар мен адами капиталдың өсуі тиіс экономиканың тұрақты дамуын қамтамасыз етуге бағытталады.
Қазақстан Республикасының жалпы ішкі өнімінің 2001-2007
жылдардағы өзгеруі серпіні
 
1-кесте
Үкімет экономиканың шикізат емес салаларының дамуын ынталандыруға және экономика мен бюджетке түсетін түсімдер өсуіне бағытталған саясатты мақсатты түрде жүргізіп отыр.
Қызметтер саласында экономиканың өсуіне сауда, көлік пен байланыс және жылжымайтын мүлікпен жасалатын операциялар айтарлықтай үлес қосты. ЖІӨ құрылымындағы қызметтер өндірісінің үлес салмағы 2001 жылдан 2006 жыл аралығындағы кезкңде орташа 51, 4%-ды құрады. Жоспарланатын орта мерзімді кезеңде бұл үрдістердің сақталуы күтіліп отыр.
Жан басына шаққандағы ЖІӨ-нің деңгейі азаматтар тұрмысының көрсеткіштерінің бірі болып табылады. Әлемнің барынша дамыған елдерінің деңгейінде азаматтар тұрмысының жоғары стандарттарын жасау - елдің әлеуметтік-экономикалық саясатының негізгі стратегиялық міндеттерінің бірі. Бұл көрсеткіш бойынша Қазақстан жоғары табыстарға жетті: жан басына шаққандағы ЖІӨ 2000 жылғы деңгейден 4, 3 есеге асып, 2006 жылы 5292 АҚШ долл. құрады.
Әлемдік экономика дамуының қазіргі үрдістері алдағы үш жылдық кезеңде сыртқы факторлар еліміздегі экономикалық өсудің жоғарғы қарқынының жалғасуы үшін салыстырмалы түрде қолайлы болады деп пайымдауға негіз бар.
 
3-сурет. Жан басына шаққандағы ЖІӨ-нің 2007-2010 жылдарға арналған болжамы
... жалғасы- Іс жүргізу
- Автоматтандыру, Техника
- Алғашқы әскери дайындық
- Астрономия
- Ауыл шаруашылығы
- Банк ісі
- Бизнесті бағалау
- Биология
- Бухгалтерлік іс
- Валеология
- Ветеринария
- География
- Геология, Геофизика, Геодезия
- Дін
- Ет, сүт, шарап өнімдері
- Жалпы тарих
- Жер кадастрі, Жылжымайтын мүлік
- Журналистика
- Информатика
- Кеден ісі
- Маркетинг
- Математика, Геометрия
- Медицина
- Мемлекеттік басқару
- Менеджмент
- Мұнай, Газ
- Мұрағат ісі
- Мәдениеттану
- ОБЖ (Основы безопасности жизнедеятельности)
- Педагогика
- Полиграфия
- Психология
- Салық
- Саясаттану
- Сақтандыру
- Сертификаттау, стандарттау
- Социология, Демография
- Спорт
- Статистика
- Тілтану, Филология
- Тарихи тұлғалар
- Тау-кен ісі
- Транспорт
- Туризм
- Физика
- Философия
- Халықаралық қатынастар
- Химия
- Экология, Қоршаған ортаны қорғау
- Экономика
- Экономикалық география
- Электротехника
- Қазақстан тарихы
- Қаржы
- Құрылыс
- Құқық, Криминалистика
- Әдебиет
- Өнер, музыка
- Өнеркәсіп, Өндіріс
Қазақ тілінде жазылған рефераттар, курстық жұмыстар, дипломдық жұмыстар бойынша біздің қор #1 болып табылады.
 
            
                Ақпарат
Қосымша
Email: info@stud.kz