Есептің оптималды шешімін табу (Delphi)


Жұмыс түрі: Курстық жұмыс
Тегін: Антиплагиат
Көлемі: 31 бет
Таңдаулыға:
ҚАЗАҚСТАН РЕСПУБЛИКАСЫНЫҢ ҒЫЛЫМ ЖӘНЕ БІЛІМ МИНИСТРЛІГІ
Қ. И. Сәтбаев атындағы Қазақ ұлттық техникалық университеті
Техникалық кибернетика кафедрасы
Курстық жұмысқа
ТҮСІНДІРМЕ ЖАЗБА
Тақырыбы
Алматы 200
Курстық жұмысқа тапсырма.
Мұнай өңдеу заводына ай сайын d мөлшеріде m кен орнынан мұнай келеді. Мұнайдан өңдеу жолымен номенклатурадағы жоба келісімімен bj мөлшерінде n түрлі мұнай өнімдері алынады. Әр түрлі орындардағы мұнай түрлері химиялық құрамымен ерекшеленеді. j кен орнына шыққан мұнай бірлігінен i мұнай өнімі біршама шыққан a - н. Заводта a кен орнынан q түрлі j өнімдері үшін мұнай сақтайтын сыйымдылықтар бар. Егер C i кен орнына
i-н мұнай өңдеудің үлес шығындары белгілі болса, ең аз шығын кезіндегі номенклатура жобасының орындалу үшін әр кен орнынан мұнайдың қанша мөлшерін өдеу қажеттігін анықтау керек.
Төменде шартты бірліктермен : m=5, n=3 .
I
J
1
a = 2
3
МАЗМҰНЫ
КІРІСПЕ . . . 1 Теориялық бөлім . . .
1. 1 Операцияны зерттеудің негізгі кезеңдері . . .
2. 2 Операцияны зерттеудің негізгі принциптері . . .
2 Жалпы математикалық модель . . .
3 Тіке Симплекс әдісі . . .
4 Айқын математикалық моделі және сандық түрдегі шешімі . . . …
5 Нәтижені талдау . . .
6 Программаның баяндалуы . . .
6. 1 Жалпы мағлұмат . . .
6. 2 Функционалдық тағайындалуы . . .
6. 3 Логикалық құрылымның баяндалуы . . .
6. 4 Шақыру және жүктеу . . .
6. 5 Қажетті техникалық жабдықтар . . .
6. 6 Кіріс мәліметтер . . .
6. 7 Шығыс мәліметтер . . .
ҚОРЫТЫНДЫ . . .
ҚОЛДАНЫЛҒАН ӘДЕБИЕТТЕР ТІЗІМІ . . .
Қосымша А . . .
Қосымша Б . . .
КІРІСПЕ
Қазіргі кезеңде операцияны зерттеу әдістері адамзат өмірінің әртүрлі салаларында кеңінен қолданылады. Операцияны зерттеу өзіндік ғылыми бағыт ретінде жаугерлік іс-әрекеттердің жақсы ұйымдастырылуы, сонымен қатар әртүрлі шешімдерді қабылдау барысында берілетін бұйрықтардың нәтижесін анықтау қажеттілігінен қалыптасты. Операцияны зерттеу әдістерінің көмегімен қарсыласыңның қарулы күшінің жағдайын толығымен білмей-ақ, әскери операцияларды тактикалық және стратегиялық тұрғыда жоспарлауға болады.
Бұл ғылымның математикалық әдістері күрделі авиациялық, ракеталықжәне ғарыштық кешендерді жобалауда қолданылады. Математикалық жобалау аппараттың негізін сызықтық және бисызықтық бағдарламалау, шешімдерді қабылдау теориясы, бұқаралық қызмет көрсету теориясы, ойындар теориясы және имитациялық модельдеу қалайды.
Негізінде ЭЕМ-ң өмірге келуі көптеген ғылымдардың пайда болуына жол ашты, соның бірі шешімдерді дұрыс қабылдауды қарастыратын ғылым - операцияларды зерттеу ғылымы еді.
Операцияны зерттеу әдістемесі соңғы бес онжылдықта экономика, ұйымдастырушылық, ғарыштық, энергетикалық, қорғаныс жүйеленрі және оларды іс жүзінде қолдану тәсілдерімен тығыз байланыса отырып қалыптасты. Бұл процестің ең негізгі этапы болып - адамзат іскерлігінің ақпараттық аспектілерін зерттеу жұмыстары есептелінеді, себебі бұл автоматты басқару идеясын тудырды.
Іскерлік қабілеттілігін арттыруға ұмтылу қоғамға тән нәрсе және оның көптеген себептері бар - өндіріс масштабының өсуі, техниканың қымбаттауы және күрделенуі, ресурстардың шектеулілігі және т. б. Әсіресе қоғам мүддесін қорғаумен тығыз байланысты басқарушы органдардың дұрыс шешім қабылдауы және жұмысын жақсартуы - актуальды мәселелердің бірі болып табылады. Өзіміз қалайтын нәтижелерге жету үшін көрсетілген шешімдерді қабылдау барысында пайдалынылатын басқарушы обьектілердің жағдайы туралы ақпараттардың сапасын жақсарту керек. Бұл талап - бастапқы ақпаратты таратушы обьектінің өзіне де, сәйкесінше автоматтандырылған басқару жүйесінің (АБЖ) құрамына кіретін өңдеу жүйесіне де бірдей қойылады.
Негізінде АБЖ-ны - нақтылы және толық ақпаратты жаңа есептеу техникаларын, шешілуі мүмкін ғылыми әдістер анализін қолдануға негізделген техникалық - ұйымдастырушылық басқару жүйесі ретінде қарастыра аламыз.
ЭЕМ-ы жаңарған сайын қабылданатын басқарушы шешімдердің толық және оперативті түрде ақпаратпен қамтамасыз ету мақсаты формальді өңдеуді бір орталықтандыруға ұмтылдырды. Бұл, өз кезегінде АБЖ-ның принципиалді схемасын құруға мүмкіндік тудырды (1-сурет) .
Бастапқы мәліметтер Өңделген ақпарат
қосымша
ақпарат
Басқару сигналы Қабылданған шешімдер туралы
ақпарат
Қалыптаспаған ақпарат
1-сурет
Мұндай жүйелердің негізгі ерекшеліктері интерпретациялық түсініктердің сәйкестілігінде, мысалы «басқарушы орталық» - басқарушы, дирекция, министрлік аппараты, «басқарылатын орын» - цех, зауыт, жүктеме желілер.
Операцияны зерттеудің даму тарихы - оның жұмыстарының масштабының үздіксіз өсуі және олардың бағыттарының әртүрлілігімен ерекшелінеді. Бұл ғылымның дамуына белгілі ғалымдар - А. Н. Колмогоров, Дж. Нейман, Л. В. Канторович, Дж. Данциг, Ю. Б. Гермейер және Көптеген басқалары өз улестерін қосты. Олардың еңбектері тек шешімді дайындау әдістерінің санын арттырып, қолдану шекарасын кеңейтіп қана қойған жоқ, сонымен қатар ғылымда жаңа бағыттардың құрылуына жол ашты.
Операцияның зерттеу әдісістерінің көмегімен әртүрлі есептер қарастырылады, бұл әдістрдің теориялық негізін және олардың даму перспективасын кеңейтеді.
Операцияны зерттеу - білім саласы ретінде кеңейе түсуде, оның теория және тәжірбие жүзінде алынған нәтижелері артып отыр. Осындай шарттар негізінде бірдей әдістемілік анализдеу принцптеріне, зерттеулердің жеткен жетістіктеріне үлкен мән береді
1 Теориялық бөлім
1. 1 Операцияны зерттеудің негізгі кезеңдері
Кезең
№
Операцияны
басқару есептерін мазмұндау және операцияның қарапайым бөлшектерін бөліп шығару
Жоспарлаушы
(технолог), операцияны
зерттеуші
1 - кесте
- Операцияны жүйелеп талдау
Бұл кезеңдегі жұмыстарды технолог пен операцияны зерттеуші бірігіп жасайды. Жоспарлаушы мен технологтердің рольдері жоғары. Операцияны бөліктерге бөліп осы бөліктерді жеке-жеке зерттеу, талдау жүргізу және осы бөліктерінің өзара бірігіп әрекеттесуін талдау қажет. Мәлеметтер көздерін табу АБЖ кезінде ақпарат желісін тұрғызып, керекті мәлеметтерді табуға және талдауға ЭЕМ қолдану керек. Осы кезеңде операцияға әсер ететін барлық қозғаушы күштерді тиянақтап табу және осы операцияны зерттегендегі қорытынды қандай өмірдегі құбылыстарға қолдануға болатындығын анықтау, тиімділікті салыстыратын белгілерді анықтау жұмыстары жасалады.
- Операцияны басқару есептерін мазмұндау және операцияның қарапайым бөлшектерін бөліп шығару
Бұл кезеңдегі жұмыстарды технолог пен операцияны зерттеуші бірігіп жасайды. Операцияны талдау нәтижелерін мазмұндау және суреттеу керек. Операцияның мазмұндалған бейнесі математикалық модельдерді тұрғызуға жеткілікті болу шарт. Бұл
- Операцияның қозғаушы еүшінің тізбегі бөлу керек олар математикалық моделдерде ескерілу қажет.
- Осы қозғаушы күштерінің өзара әрекеттесуінің шамасы (сипаты) болу керек.
- Осы операцияның бөлшектерінің бүтін операцияға орны көрсетілуі керек.
Операцияның қарапайым бөлщектерін немесе актілерін бөліп шығару аралық кезең болып есептеледі. Бұл кезең күрделі операцияны зерттегенде қолданылады. Операциядағы негізгі қозғаушы күштерді бөліп шығару керек. Олар төртінші кезеңде математикалық өрнектермен немесе формулалармен өрнектеледі.
- Болжамдар жасау
Бұл кезеңдегі жұмыстарды технолог пен операцияны зерттеуші бірігіп жасайды. Болжам берілген есептерді ықшамдауға, қарапайым түрге келтіруге көмектеседі. Болжам тексерілетіндей болу шарт. Болжам тексерілетін операцияның туроасындағы жетіспейтін мәлеметтерінің орнын толтыру керек. Бұл мәлеметтер тәжірибе жолымен тексерілуі шарт. Болжамдарды құрастырған кездегі кейбір қателер: нәтиже орнының ауысуы негізсіз қарапайым болжамдарды қабылдау, кездейсоқ шашырыңқы факторды шындық ретінде қабылдайды.
Жиі кездесетін болжамдар:
- Суықтық.
- Дөңес.
- Адективтік.
- Математикалық модельді құру
Операцияны зерттеу үшін іс жүзінде қолданбалы математика маманы мен операцияны зеттеуші бірігіп жұмыс жасайды.
Модель - ақиқатты нақты белгілеу. Молдель көмегімен есептеуге және болжауға болады. Математикалық модельді тұрғызу үшін тәуелсіз және тәуелді айнымалдыны енгізеді.
Тәуелсіз айнымалылар - есептің негізгі шешімдерін табуға қолданылады. Олар тиімділік айнымалымен, қозғаушы күштермен байланысты. Математикалық модель мақсатты функция мен шектеулерден тұрады.
Мақсатты функция - деп max немесе mіn мәнін іздейтін функцияны айтады.
Шектеулер - ол тәуелсіз айнымалылар жиынтығының дәлдік шегін анықтайтын теңдеулер жүйесі.
- Басқару есептерін шешетін әдісті таңдау
Бұл кезеңдегі жұмыстарды операцияны зерттеуші мен математика маманы бірігіп жасайды. Математикалық модельді келесі белгілермен жіктеуге болады:
- Айнымалының саны бойынша бір өлшемді және көп өлшемді оптималдандыру есептерге бөлінеді.
- Шектеулерге байланысты шартты және шартсыз есептерге бөлінеді.
- Тәуелсіз айнымалының уақыттан функция болу болмауына байланысты статикалық, динамикалық оптималдандыру есептеріне бөлінеді.
- Ескерілетін информармацияның дәрежелері бойынша детерминдік және стохастикалық оптималдандыру есептеріне бөлінеді және т. б.
Математикалық модельді жасаған соң мақсатты функциялар мен шектеулердің түрі бойынша қарастырған есепті қандай математикалық бағдарлау есептеріне жататынын қарастыру керек:
- Сызықтық бағдарламалау - Егер мақсатты функция мен шектеулер сызықты түрде болса және тәуелсіз айнымалылар мәндер жиынының шекті мәндер қабылдаса.
- Бейсызықты бағдарламалау - Егер математикалық функция немесе шектеулер бейтаныс түрде берілсе.
- Дискретті бағдарламалау - Егер математикалық функция мен шектеулер сызықты түрде болса, бірақ тәуелсіз айнымалылар мәндер жиынынан тек дискретті мәндер қабылдаса.
- Динамикалық бағдарламалау - Егер тәуелсіз айнымалылар кейбір параметрден ( уақыт, қадам, кезең және т. б. ) функция болса.
- Ойындар теориясына - Егер шешім активті немесе пассивті қарсы әрекет жағдайында қабылданса.
- Стохастикалық бағдарламалау - Егер тәуелсіз айнымалының бастапқы мәндері немесе мақсаты функцияның коэффициенттері толығымен белгісіз болса, т. б.
Сондықтан, қарастырып отырған есеп қандай математикалық бағдарламалау есептеріне келісетінін қарастырып, есепті шешетін әдістер тобын табамыз. Топ шінде нақты шешім әдісін табу - ол есептеу алгоритмінін тиімділігіне байланысты жүзеге асырылады. Оптималдандырудың барлық таңдалған сандық әдістері есептеу алгоритміне дейін нақтыланады.
Алгоритм дегеніміз - есептің шешімін табу үшін оның берілген шарттарын қалай, қандай кезекпен қолдану керектігіне нұсқаулар дәлді анықталған іс - әрекеттер ережесі.
Алгоритмнің сипаттамалары
1. Детерминдік - ол есептеу кезендерінде де берілген шарттар бойынша біржақты шешім алу.
2. Есептеу процессінің дискреттілігі орындалуы күдік туғызбайтын бөліктелген алгоритм қадамдары.
3. Жалпылық - ол әр - түрлі берілген шарттар бойынша біртипті берілген есептерге алгоритм қолдану мүмкіндігі.
- Алгоритмдерді жүзеге асыратын программа құру және оны жөнге келтіру
Бұл кезеңдегі жұмыстарды операцияны зерттеуші мен программа маманы бірігіп жасайды. Программалық процесс келесі кезеңдерден тұрады.
- Есептеу алгоритмінің блок - схемасы бойынша программаның детальдік блок - схемасын тұрғызу.
- Программа тілін таңдау.
- Программа құру.
- Шешүі белгілі (тесттік) есептер қолдана отырып, программаны тексеру және оған керекті түзетүлер енгізу.
- Берәлген шарттардың өлшем функциясы ретінде есептеу алгоритмінің бір циклдық жұмысына машина уақытының шығынын бағалау.
- Кіріс және шығыс мәліметтерін белгілі бір формада дайындау. Есепті шешу және шешімдерді талдау
Бұл кезеңдегі жұмыстарды операцияны зерттеуші мен жоспарлаушы бірігіп жасайды.
Бұл кезеңде бастапқы мәліметтер жөнге келтіріледі. Есеп ЭЕМ арқылы шешіледі. Есептің шешімін кесте немесе график түрінде алуға болады. Содан соң шешім талдауға жатады. Шешім қабылдайтын қызметкер көмегімен кіріс және шығыс мәліметтер алынған нәтижелердің толықтығы мен дұрыстығы талданады. Талдаудан кейін қортындылар шығарылады да, олар ұсыныс түрінде беріледі. Егер алынған шешім ұсыныстар шешім қабылдаушы қызметкердің көңілінен шығатын болса, онда олар іске асырылады. Қарсы болған жағдайда модельді одан әрі жетілдіру, мазмұнды есептің формуласын өзгерту, операцияларды талдауды толықтыру және т. с. с. жұмыстар атқарылады. Былайша айтқанда, операцияларды зерттеудің кез - келген алдынғы кезеңіне көшеміз.
1. 2 Операцияларды зерттеудің негізгі принциптері
1. Операцияны зерттейтін топ құрамына әртүрлі мамандар еңгізу принципі
Себебі: Көптеген басқарлатын дүниелерді әртүрлі көзқараспен зерттеу керек. Сол үшін әртүрлі саладағы мамандар керек және алдын ала қай тәсіл тиімді екенін білмейміз.
Бір адам әртүрлі салада білімді маман болуы қиын. Сол үшін оның жетекшісі жүйелеуші маман болуы керек. Ол адамға ерекше талаптар қойылады:
- Терең білімді.
- Ой - өрісі кең.
- Зерделі.
- Жұмысқа жеке мамандарды жұмылдыра алатын қабілеті болуы керек.
- Топтың жұмысын ойдағыдай атқару керек.
2. Математикалық модельдеу принципі.
Операцияны басқаруда шешім қабылдау үшін математикалық модельді
қолдану.
3. Оптималдық принцип.
Шешім қабылдауда бізге кез - келген шешім керек емес, керегі тиімді шешім қабылдау. Тиімділікті салыстыру үшін белгілі (критерий) болу керек.
4. Іс жүзінде қолдану принципі.
Кез - келген операцияны зерттеудің негізгі бағыты өндіріске енгізуге арналу керек. Жәй зерттеумен шектелмеу тиіс.
5. Үйлестік (ұқсастық) принципі .
Жаңа есепті ұқсасты есепке келтіру.
6. Декомпозиция (бөлшектеу) принципі.
Күрделі операцияларды зерттеуде қолданылады.
Мысалы, басқару теория негіздерінде жүйені бақылану мен басқарылуға тексерген кезде 3*3, 2*2 матрицаларымен шығарамыз. Ал, егерде 7*7, 9*9, 5*5 матрицалары келетін болса оларды бөлшектеп алып, жеке - жеке есептеп содан соң барып, біріктіріп нәтижесін шығарамыз.
7. Жүйелер тәсілдерінің принциптерінің негізгі операцияларға әсер ететін барлық негізгі қозғаушы күштерді ескеріп, операцияның бөліктерінің өзара қарым - қатынасының анықтау және операцияны жалпы бағалау.
8. Агрегаттау (іріктеу) принципі .
Күрделі есеп шығару мен күрделі операцияларды зерттеуге қолданады.
2 Жалпы математикалық модель
1- есеп:
Қоспаның ең жақсы құрамын анықтау (диета) туралы есеп.
Мал шаруашылығында малға берілетін жем құрамы жоспарланады. Жем құрамында белгілі бір қоректі заттар болуы тиіс. Жем бірлігінің бағасы белгілі. Жем түрін таңдаған сәтте олардың жалпы бағасы минималды болатындай және қоректі заттар қажетті мөлшерде болуы тиіс.
Берілгені:
- жем түрлері
- Қоректі заттар саны
-
j
жемнің бірлігіндегі
I
- заттың бірлігі
- тәулігіндегі қоректі заттардың қажеттілігі
- жем бірлігінің бағасы енгізу
Өзіміз енгізген:
- жем түрлерінің мөлшері
Қарапайым актілер (бөлшектер) :
1. Жем түрінің жалпы бағасын минималдадандыру
2. Тәулікте қоректі заттар мөлшерін қанағаттандыру
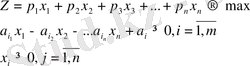
Z - мақсатты функция.
2 - есеп:
Өнім шығарудың оптималды жоспары.
Кәсіпорын n түрлі өнім шығарады.
арқылы j-ші өнім бірлігіне жұмсалатын і-ші шикізаттың толық көлемі .
арқылы j-ші өнімнен кәсіпорын алатын пайданы белгілейміз.
,
арқылы алдын - ала белгіленген шығарылатын өнімнің көлемі қанағаттандыратын және де кәсіпорынға үлкен пайда әкелетін өнім шығаратын жоспардың тиімділігін анықтау.
- шығаратын өнімнің көлемі.
Қарапайым актілер (бөлшектер) :
1. Кәсіпорынның пайдасын максималдандыру.
2. Шикізат көлемінің шектілігін ескеру.
3. Шығаратын өнім көлемін қанағаттандыру.
3 - есеп:
Металл өнімдерін тасымалдауды ұйымдастыру (транспорт) есебі
Өндірістік қуаттары а і -ге тең бірінғай метал өнім шығаратын металлургия зауыт жеткізушілері m қалада орналасқан,
Ал n қалада тұратын көлемі
металл өнімдерін тұтынушылар бар. Бұл қалалар теміржол желілері арқылы байланықан және қалалардың өзара арақашықтықтары
берілген.
К-дегенміз жүк бірлігінің арақашықтық бірлігіне тасымалдау құны.
Материалдық техникалық жабдықтау басқармасына транспорт шығындары минималды болатындай етіп тұтынушыларды жеткізіп беретіндерге бекіту керек.
тасымалдау құны.
- i-ші пункттен j-ші пунктке тасымалданатын өнім көлемі.
Қарапайым актілер:
- Транспорт шығынын минималдау (мақсатты функция)
- Тұтынушы сұрансын қанағттандыру
- Өндіріс қуаттарының шетерін ескеру
4 - есеп: Белгілеу (үлестіру) туралы есеп.
n механизмдерді үлестіру туралы есепте әрбір механизм тек бірден бір жұмысты орындайтын етіп және әрбір механизмнің берілген өнімділігі бойынша әрбір жеке жұмыстардың жалпы тиімділігі максималды болатындай етіп n жұмысқа бөлу керек.
- i - механизмнің j - жұмыстағы өнімділігі.
Енгізілетін айнымалы
i - механизмдегі j - жұмысқа белгілеу.
Қарапайым актілер:
- Процесс тиімділігін максималдандыру.
- Бір механизм бір жұмысты орындайды.
- Бір жұмыс тек бір механизммен орындалуы керек.
![]()
= 1, егер i - механизм j - жұмысқа белгіленсе.
= 0, егер белгіленбеген болса, яғни қарсы жағдайда.
3 Тіке симплекс әдісі.
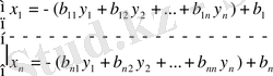
Сызықтық бағдарламалау есептерінің математикалық моделі келесі түрде берілсін.
(1)
(2)
(3)
Симплекс әдістерінің есептеу орехемасының негізін түрлендірілген жордан шығарулары құрайды.
- ші шешуші элементі бар түрлендірілген жордан шығаруларының бір қадамы алғашқы кестені жаңа кестеге келесі бес ереже бойынша аударлады.
- Шешуші элемент бірлікке ауыстырлады.
- Шешуші жолдың қалған элементтері сол күйінде қалады.
- Шешуші бағдарламалаудың қалған элементтері таңбасын ауыстырады.
- Жаңа элементтер келесі өрнек бойынша табылады(төртбұрыш ережесі)
5. Жаңа кестенің барлық элементтері шешуші элементіне бөлінеді.
Тіке симплекс әдісінің алгоритмімі.
- Симплекс кестені толтыру.



a 11 a 12……. a 1n
a 21 a 22 ……. . a 23
.
a mn a m2……. a m3
a 1
a 2
. .
a m
(1)


- Еркін айнымалыларды шығарып тастау. Еркін (бос) айнымалылар деп белгілеріне (таңбаларына) шек қойылмаған тәуелсіз айнымалыны айтады.
Мысалы: Барлық айнымалылар еркін болсын дейік. Онда түрлендірілген жордан шығаруларын n рет қолданып, келесіге келеміз.
x 1
x 2
….
x n
y n+1
.
y m
b 11 b 12……. ……. . b 1n
b 21 b 22 ……. . …… b 23
.
b n1 b n2 b nn
b n+1, 1 b n+1, 2 …… b n+1, n
.
b m1 b m2 . . . b m3
b 1
b 2. .
….
b m
b n+1
b mn
(2)
Әрбір
үшін сәйкесті өрнекті жазып,
Кестеден шығарып тастаймыз.
Есептеуді (3) кестемен жалғастырамыз.
y n+1
.
y m
b n+1, 1 b n+1, 2 …… b n+1, n
.
b m1 b m2 . . . b mn
b n+1
b m
(3)
III 0 - ші жолды шығарып тастау.
Шешуші элементті таңдаудың ережелері:
- Шешуші баған ретінде кестенің оң коэффициенті бар бағанын таңдаймыз.
- Шешуші жолды таңдау:
Оң мағыналы бос мүшелердің шеуші бағанының коэффициентіне қатынасы есептелінеді. Арасынан ең кішісі таңдалынады. Сөйтіп шешуші элементтер
табылады. Түрлендірілген жордан шығарылғанын бір рет қолданамыз.
IV Тіректі шешімді табу.
Егер үшінші кестедегі барлық бос мүшелер оң мағналы болса, онда 1 - 3 есептің тіректі шешімі табылады:
y - тің мәнін (4) - ке қоямыз. X - ті табамыз.
Егер бос мүшелер арасында теріс мағыналы шешімдер болса, онда тіректі шешімді табатын шешуші элементтерін табатын келесі ережелерін қолданамыз.
... жалғасы- Іс жүргізу
- Автоматтандыру, Техника
- Алғашқы әскери дайындық
- Астрономия
- Ауыл шаруашылығы
- Банк ісі
- Бизнесті бағалау
- Биология
- Бухгалтерлік іс
- Валеология
- Ветеринария
- География
- Геология, Геофизика, Геодезия
- Дін
- Ет, сүт, шарап өнімдері
- Жалпы тарих
- Жер кадастрі, Жылжымайтын мүлік
- Журналистика
- Информатика
- Кеден ісі
- Маркетинг
- Математика, Геометрия
- Медицина
- Мемлекеттік басқару
- Менеджмент
- Мұнай, Газ
- Мұрағат ісі
- Мәдениеттану
- ОБЖ (Основы безопасности жизнедеятельности)
- Педагогика
- Полиграфия
- Психология
- Салық
- Саясаттану
- Сақтандыру
- Сертификаттау, стандарттау
- Социология, Демография
- Спорт
- Статистика
- Тілтану, Филология
- Тарихи тұлғалар
- Тау-кен ісі
- Транспорт
- Туризм
- Физика
- Философия
- Халықаралық қатынастар
- Химия
- Экология, Қоршаған ортаны қорғау
- Экономика
- Экономикалық география
- Электротехника
- Қазақстан тарихы
- Қаржы
- Құрылыс
- Құқық, Криминалистика
- Әдебиет
- Өнер, музыка
- Өнеркәсіп, Өндіріс
Қазақ тілінде жазылған рефераттар, курстық жұмыстар, дипломдық жұмыстар бойынша біздің қор #1 болып табылады.

Ақпарат
Қосымша
Email: info@stud.kz