Мұнай мен табиғи газды игеру


Мұнай мен табиғи газды игеру
1. Мұнай және газ қоры
[Өнеркәсіптік мұнай ағысының өлшемі] . Фонтанды ұңғыда мұнай алып сынағанда күнделікті тұрақты өнімді төмендегі өлшемге жетсе, өнеркәсіптің мұнай ұңғысы делінеді. Мұнай сору және өнімді арттыру (қысыммен қабат жару, қышқылдандыру, қопарылыс жасау, тұтқырлығын азайту) шаралары қолданылғаннан кейін күнделікті өнім өнеркәсіптік өлшемге жуық жаңа мұнай алабынан бір-екі ұңғыны таңдап, жарты жылдан көбірек уақыт сынақ ретінде мұнай алу, геология, өнім, қысым, т. б жөніндегі материалдарға талдау жасау негізінде, сынақ ретінде алынған өнім мен мұнай ұңғылысынан алынған тұрақты өнімнің байланысын табу арқылы сынақ ретінде алынатын мұнайдың күнделікті тұрақты өнім өлшемі соған сәйкес белгіленеді. Өнімді арттыру шаралары қолданылмаған немесе шараларды алымды болмаған барлау ұңғылаларының өнеркәсіптік құнында жоққа шығаруға болмайды.
Өнеркәсіптік мұнай ағысының өлшемі
0, 3
0, 5
1, 0
3, 0
5, 0
10, 0
>500
500~1000
1000~2000
2000~3000
3000~4000
>4000
[Геологиялық мұнай қоры] . Жар қабақтың алғашқы шарт - жағдайында мұнай өндіре алатынқор қабатының жалпы мұнай шамасы. Ол жер беті шарт-жағдайындағы салмақ бірлігімен өркендетіледі.
[Игеруге болатын мұнай қоры] . Мұнай қоры қабатынан осы заманғы технологиялық техника және экономика шарт- жағдайында алуға болатын мұнай шамасы.
[Игеруге болатын қалдық мұнай қоры] . Игеруге болатын мұнай қоры мен жалпы алынған мұнай мөлшеріндегі *** 424-бет (айырма) . Ол - мұнй алабы игерілгеннен кейін қалып қалған, алуға болатын мұнай қоры.
[Болашақтың байлық шамасы] . әшлі байқала қоймаған байлық шамасы.
[Геологиялық қалдық мұнай қоры] . Геологиялық мұнай қоры мен жалпы алынған мұнай мөлшеріндегі парық (айырма) . Ол - мұнайлылықтағы алғашқы геологиялық мұнай қоры игерілгеннен кейін қалып қалған геологиялық мұнай қоры.
[Анықталып, игеріліп жатқан қор] қысқаша I түр делінеді.
Осы заманғы экономикалық техникалық шарт-жағдайда игеру жобасы атқарылып, ұңғылалары бұрғыланып, құрал-жабдық құрылысы орындалып болған, игеріліп жатқан қор. Ол игеруді талдау жасау, басқару негіздерімен қамдайды, әрі дәрежелі қор айырмасын салыстыруға да өлшем болады. Ұңғы тораптары бұрғыланып болған жаңа мұнайалабының анықталып, игеріліп жатқан қоры есептелумен бірге, игеру барысында да мезгіл-мезгілінде қайт тексеріледі. Мұнай алу өнімділігін арттыру құрылғылары құрылып болғаннан кейін қосып игеруге болатын қор шамасы да есептелінеді.
[Анықталған, игерілмеген қор] . Қысқаша II түр делінеді.
Бағалау, барлау, бұрғалау міндеті орындалып, әрі сенімді қор шамасының параметрлеріне қор жеткізгеннен кейін есептелген қор. Ол - игеру жобасын жасау және игеру құрылысын жүргізу шешімінің негізі. Оның салыстырмалы айырмасы ±20%-дан асып кетуге болмайды.
[Негізінен аықталған қор] қысқаша III түрі делінеді.
Көп құрамды мұнай-газ қабаттары жүйесіндегі күрделі бөлікті мұнай алабы мен аралас жынысты мұнай алабының және аралас сызатты мұнай алабының геологиялақ жағдайы күрделі болғандықтан, оларды қысқа мерзімде анық танып, толық анықтиағаннан кейін игеру тиімді болмайды. Осы тектес күрделі мұнай алабының жер сілкіндіріп егжей-текжейлі тексеру, дәл тексеру немесе үш балды жер сілкіндіріп тексеру міндеті орындалған әрі ішінара бағалау ұңғылары бұрғыланып, қоршамасын есептеу параметрлері негізінен толық алынған, мұнайлы көлемі негізінен анықталған қор делінеді.
Негізінен анықталған қоршамасының салыстырмалы айырмасы ±30 % дан кіші болуға тиіс. Негізінен анықталған қор барлап игеруге кіріскеннен кейін үш жылда анықталып, игеріліп жатқан қор шамасына тіке көтеріледі.
[Меңгерілген қор] . Тұйықталған немесе опырылған белгілі бір бөліктегі алдын-ала барлау ұңғысынан өнеркәсіптік мұнай-газ ағысы байқалған, мұнай қорын анықтау мақсат етілген бағалау, барлау, бұрғылау сатысындағы жұмыстар толық орындалып бола қоймаған жағдайда есептелген қор шамасы. Мұнда жер сілкіндіріп толық тексеру және универсал барлау жаңа техникасы арқылы мұнайлы көлемнің тұйықталу күйі анықталып, бұрғаланған мұнай ұңғысына жеке ұңғы бойынша егжей-текжейлі баға беріледі. Геологиялық-геофизикалық кемелді сорттау арқылы мұнай ұяшығының тұрпаты мен қор қабатының шөгінді тұрпаты бастапқы қадамы белгіленіп, мұнайлы көлем (70% дан жоғары) және қор қабаты қалыңдығына өзгеру ауқым, жалпы тұлға жағынан меңгеріліп, үш сатылы опырық қабаттың орналасуы алғашқы қадамда анықталады.
Мұнай ұяшығының күрделілігіне, мұнай қорының молдығына, мұнай-газ қорына алғашқы қадамда баға беріледі, әрі қор шамасын есептеп параметріне ішін ара қор жеткізіледі. Мұнда есептелген қор шамасының салысьтырмалы айырмасын 50% дан асырып жіберуге болмайды.
[Межеленген қор] . Жер сілкіндіріп егжей-тегжейлі тексеру және басқа әдістер арқылы анықталған қоршалма көлемінде алдын-ала бардау ұңғысын барлап, бұрғылап, мұнай-газ ағысына көз жеткізгеннен кейін өңірлік геология шарт-жағдайына жасалған талдаулар мен салыстырмалы тиімді өңірлерге негізделіп, сиымдылық бойынша межеленген қор. Қоршалмадағы мұнай қабаттың өзгерісі, мұнай-су байланысы анықталмағандықтан әрі қор параметрі салыстыру тәсілімен белгіленгендіктен, ол межеленген қор шамасының көлемдік мәнін ғана бере алады.
[Геологиялық мұнай қорын сиымдық тәсілмен есептеу] .
Сиымдық тәсілмен есептеу - мұнай алабының геологиялық қорын есптеудегі негізгі әдіс. Ол түрліше барлау, игеру сатыларында, түрліше қоршалма типтері мен қорлану типтерінде және ығыстыру формаларында қолданылады.
Есептеу нәтижесінің сенімділігі мәлімет материалдарының саны мен дәлдігіне байланысты. Әрі, орташа құрылымды мұнай ұяшығында дәлдігі төменірек болады.
Геологиялық мұнай қорын сиымдылық тәсілмен есептеу формуласы:
N=100 Ah Ø(1-S wi ) ρ o / B oi
мұндағы:
N-геооогиялық мұнай қоры, он мың тонна;
А- мұнайлы аудан, кв км
h- орташа тиімді қалдық, м;
Ø- орташа тиімді кеуектің ондық бөлшек;
S wi - мұнайлы қабаттың алғашқы суға қанығу орташа дәрежесі, ондық бөлшек;
ρ o - жер үсті алғашқы табиғи мұнайдың орташа тығыздығы, д/см 3
B oi - алғашқы табиғи мұнайдың орташа көлемдік коэффиценті;
[Жар қабатындағы табиғи мұнайда еріген геологиялық алғашқы газ қоры] .
Формуласы:
G s =10 -4 NR si
мұндағы:
G s - еріген геологиялық газ қоры, 100 млн 3 м. (0, 1 км 3 )
R si - еріген алғашқы мұнай-газ қатынасы, м 3 /t
[Геологиялық мұнай қорының заттық тепе-теңдігінің есептеу әдісі] . Заттық тепе-теңдік әдіс - өндіріс жабдықтарынан пайдаланып, динамикалық күйдегі геологиялық қорды есептеу әдісі. Ол заттар сақталу заңының мұнай ұяшығы техникасындағы нақты қолданылуы. Заттық тепе-теңдік әдісі мұнай алабы игерілген бір мезгілден кейін жер қабатының қысымы көрнекті төмендеп (1МПа үлкен), игеруге болатын қор шамасының 10% дан көбірек игерілген кезде қолданылса тиімді болады.
Тұйық күйдегі қанықпаған мұнай ұяшығынан алғанда, өткізгіштегі жоғары шағын мұнай ұяшығы мен тұтаспалығы жақсырақ, жарық мұнай ұяшығында дәлдігі жоғарырақ, өткізгіштігі төмен қаныққан мұнай ұяшығында дәлдігі төменірек болады. Заттық тепе-теңдік теңдеуін қолданғанда мұнай ұяшығының ығыстыру тұрпатын анықтап мезгіл-мезгіліне есептеп, дәлдік дәрежесін анықтай түсуге тура келеді.
Қанықпаған мұнай ұяшығы (алғашқы жер қабаты қысымы Р і >Р b қанығу қысымы) мен қаныққан мұнай ұяшығын(Р і =Р b ) жөнінен алғанда, ығыстыру сипатындағы заттардың тепе-теңдік теңдеуінің жалпы формуласы төмендегідей болады:
мұндағы:
N-алғашқы геологиялық қор, 1 м 3 ;
N p - жалпы өндірілген мқнай шамасы, 1 м 3 ;
W p - жалпы өндірілген су шамасы, 1 м 3 ;
W i - жіберілген далпы су мөлшері, 1 м 3
W e - жайылған табиғи судың жалпы шамасы, 1 м 3
m - мұнай ұяшығының газ шоқысындағы газдың жерасты көлемінің мұнай ауданындағы табиғи мұнайдың жер асты көлеміне қатынасы; (өлшемсіз) ;
V g - мұнай ұяшығының алғашқы шоқысындағы газдың жер асты көлемі, 1 м 3
V o - мұнай ауданындағы табиғи мұнайдың жер асты көлемі, 1 м 3 ;
P i - жер қабатының алғашқы қысымы, МПА;
P-x- қазіргі қысымы, МПА;
B o - қысымдағы табиғи мұнайдың көлемдік коэффиценті;
B oi -P i -x-;
B g -P қысымдағы табиғи газдың көлемдік коэффиценті;
B w -P қысымдағы жер қабаты суының көлемдік коэффиценті;
C e - тиімді сығылу коэффиценті; МПА
C f -тау жыныстылардың тиімді сығылу коэффиценті;
S wi - қор қабатындағы бөгелген судың қанығу дәрежесі, ондық бөлшек;
P si - P i қысымдағы еріген мұнай-газ қатынасы; м 3 / м 3 ;
R s - Р қысымдағы еріген мұнай-газ қатынасы; м 3 / м 3 ;
R p - жалпы өндірілген мұнай-газ қатынасы; м 3 / м 3 ;
[Мұнай қорын универсал бағалау өлшемі] . Мұнай қорын әмбебап бағалау - барлау жұмысының экономикалық өнімділігін өлшеп, қоршамасынан тиімді пайдалануға жетекшілік етудегі маңызды жұмыс. Жалпы алғанда, қоршамасын мәлімдегенде төмендегә төрт сала бойынша жинақтап бағалаған жөн.
- өнім мөлшеріне қарай жіктеу.
- Мың метрлік ұңғыдан күнделікті тұрақты өнімді (1000 м тәу/т)
жоғары өнім >15;
орташа өнім 5-15;
төмен өнім 1-5;
ерекше төмен өнім <1
- Метр сайын мұнай алу көрсеткіші (метр МПА тәу/т)
жоғары өнім >1, 5;
орташа өнім 1, 5-1
төмен өнім 0, 5-1
ерекше төмен өнім <0, 5
- Ағу дәрежесі 10-3куб (микро метр/милли паскаль секунд)
жоғары өнім >30;
орташа өнім 30-80;
төмен өнім 10-30
ерекше төмен өнім <10;
- қор молдығына қарай жіктеу;
жоғары молдылықты қор >3 млн т/кв км;
орташа млодылықты қор 1-3 млн т/кв км;
төменгі млодылықты қор <0, 5-1 млн т/кв км;
ерекше төменгі млодылықты қор <0, 5 млн т/кв км;
- мұнай алабының қор мөлшеріне қарай жіктеу
таяз қабат <2000 м;
орташа тереңдіктегі қабат 2000-3000 м;
терең қабат 3000-4000 м;
ерекше терең қабат >4000 м;
[Қою мұнай қоры] . Қою мұнай қоры жер үстіндегі тығыздығы 50 млн Па сек. үлкен табиғи мұнай, ол үш түрге бөлінеді:
Қазіргі дағдылы тәсілдермен игеруге болатын қою мұнай;
Осы заманда қыздырып мұнай алу техникасынан пайдаланып игеруге әрі экономикалық өнімге қол жеткізуге болатын қою мұнай;
Осы заманғы мұнай алу техникасымен игеруге болмайтын немесе экономикалық құны жоқ қою мұнай;
Үшінші түрдегі қою мұнай ресми қор шамасына кіргізілмейді;
[Ерекше ұйыған мұнай қоры] . Қату нүктесі 40 о С жоғары табиғи мұнай ерекше ұйыған мұнай делінеді. Ашу, жинау, ағызу жағынан ерекше техниканы қажет ететіндіктен, ол, мұнай қорын статистикалағанда, айырын есептеледі.
[Төмен экономикалық қор] . Өнеркәсіптік мұнай ағысы өлшеміне жеткен, бір-ақ, игеру аса қиын, экономикалық өнімділігі төмен қор. Мысалы, өнімі төмен, ерекше төмен, су құрамы жоғары (сынақ ретінде алынған мұнай құрамының сулануы 50% жоғары) мұнайлы қабат.
[Терең қабаттағы мұнай қоры] . Игеру жағында жоғары техниканы қажет ететін, игеру недәуір ұиынға соғатын, ұңғы тереңдігі 4000 метрден терең қабаттағы қор.
[Мұнайлы аудан] . Жер сілкіндіру, бұрғылау, геология, ұңғы өлшеу, сынақ ретінде мұнай алу, қысым өлшеу сияқты мәліметтерден толық пайдаланып, мұнай-су таралуының геологиялық заңын жан-жақты зерттеп-меңгеру арқылы белгіленген мұнай ұяшығынан, тұрпаты, мұнай-судың және мұнай-газдың жанасу беті, отырық қабаттың немесе таужынысының жинақталған орны, тұйықталған мұнайлы көлем.
[Дара қор коэффициенті] . Мұнайлы қабаттың бірлік көлемдегі қор шамасы, бірлігі: 10 млн. т/кв. км∙м.
[Жылжымал ы су мөлшері] . Қор топталған бірлік қабаттағы жылжымалы су шамасы. Оның мәні қабаттың алғашқы суға қанығу дәрежесі мен бөгелген суға қанығу дәрежесінің айырмасына тең.
[Жылжымалы мұнай шамасы] . Қор топталған қабаттан бірлік көлемдегі жылжымалы мұнай шамасы, яғни бірлік қабаттағы игеруге болатын мұнай шамасы. Қортопталған қабаттың алғашқы мұнай шамасы мен сарқынды мұнай шамасының айырмасы жылжымалы мұнай шамасы делінеді.
[Мұнайлы қабаттың тиімді қалыңдығы] . Мұнайлы қабаттағы мұнай өндіруге қуатты бөліктің қалыңдығы, яғни өнеркәсіптік мұнай ағысының қор қабатындағы жылжымалы мұнайлы бөліктің қалыңдығы.
[Тиімді қалыңдықтың жыныстық өлшемі] . Қортопталған қабаттың өнеркәсіптік мұнай-газ ағысымен қандай аталатын жыныс қасиеті мен мұнай құрамы қасиетінің төменгі шегі. Жалпы алғанда, мұнайға малынған майда құмнан жоғары тау жынысының бәрінде жылжымалы мұнай болады.
[Тиімді қалыңдықтың заттық өлшемі] . Мұнай-газ қабатының өнеркәсіптік мұнай - газ ағысымен қамти алатын кеуектілігі мен өткізгіштігінің төменгі шегі. Мұнай алабын игеру қарқыны мен игеру технологиясының жоғарылауына байланысты ең төменгі шек те өзгереді. Газ қабатының төменгі шегі мұнай қабатынан төмен, жеңіл мұнайдың төменгі шегі қою мұнайдікінен төмен, сапалы жыныстың мұнай шығару төменгі шегі нашар жыныстікінен төмен болады.
[Тиімді қалыңдықтың электрлі өлшемі] . Мұнайлы қабаттың өнеркәсіптік мұнай-газ ағысымен қамти алатын электрлік параметрлерінің төменгі шегі. Мұнайлы қабаттың электрлік ерекшелігі - мұнайлы қабаттың жыныс қасиетінің заттық (физикалық) қасиетінің, мұнай құрамды қасиетінің әмбебап бейнеленуі түрліше геологиялық ерекшелік, түрліше аққыш дене қасиеті, түрліше бұрғылау шарт - жағдайы, түрліше ұңғы өлшеу шарт - жағдайы, түрліше ұңғы өлшеу жүйесі, түрліше тиімді қалыңдық өлшемін белгілейді. Электрлі өлшем мыналар:
Меншікті электр өлшемі, электр кедергісіні арттыру өлшемі, дыбыс толқынның уақыт айырмасы өлшемі, мұнай құрамына қанығу дәрежесі өлшемі т. б.
[Тиімді қалыңдық заттық өлшемінің математикалық статистикалануы] . Яғни мұнай құрылымы жынысының табиғи таралуы.
Кернді зерттеу және сынақ ретінде мұнай алып дәлелдеу арқылы өнеркәсіптік мұнай ағысынан қамти алатын жыныс өлшемінің белгіленуі.
Жалпы алғанда, мұнайға қаныққан майлы құм жыныс - өнімді қабат деп, мұнаймен аламыштанған сағызды майда құм жыныс - өнімсіз қабат деп аталады. Олардың кеуектілігі немесе сіңіріледігі бір-біріне ұқсамайтын аралықтарға бөліп, әрқыйлы аралықтарға өнімді қабат деп өнімсіз қабаттың проценттік мәнін есептеп, проценттік мәнінің ең-теріс жиынтық қисық сызығын (бұл арада айтылған ең-теріс жиынтық өзді-өзіне қарама-қарсы бағыт бойынша созылған жиынтық қисық сызығы) сызуға болады. Сол екі қисық сызықтың қиысу нүктесінің орны - мұнай шығатын қабаттың заттық қасиетінің төменгі шегі. Қисық нүктесінің орнындағы өнімді қабат деп - өнімсіз қабаттың проценттік мәні тең болатындықтан, өнімді қабатқа жанасып орналасқан өнімсіз қабат деп түсіп қалған өнімді қабатта өзара тең болады.
[Тиімді қалыңдықтың орташа мәні] . Тиімді қалыңдықтың орташа мәнін екі түрлі әдіспен табуға болады.
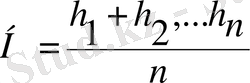
1. Ауданын деңгейлестіру, енді бірі, арифметикалық орташа мәнін табу.
Арифметикалық орташа мәні жалпы алғанда, өндірістік ұңғы аймағындағы бұрғылау аяқтап, ұңғыларды біркелкі орналастырған кезде қолданылады.
мұндағы:
h 1 , h 2 …h n - ұңғыдағы өнімді қабаттың тиімдігі, м;
n - орташа мәні деңгейлестіру әдісіде төмендегідей үш түрге бөлінеді.
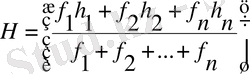
а) Тең қалыңдық сызығы арқылы ауданын деңгейлестіру әдісі. Бұл әдіс ұңғы торабы сирек, ұңғылар (барлау ұңғысы, материал ұңғысы) бір келкі орналаспаған жағдайда қолданылады:
мұндағы:
h 1 , h 2 , …h n+1 - жеке-жеке мұнайлы қабаттың тең қалыңдығы сызығының сандық мәні (М) ;
f 1-2 , f 2-3 , …f n-(n+1) - жеке-жеке көршілес екі тең қалыңдық сызығының аралық ауданы (км 2 ) ;
в) Жеке ұңғымалардың меңгерілген ауданын деңгейлестіру. Бұл әдіс торабы (барлау ұңғысы, материал ұңғысы) сирек, бірақ ұңғылар біркелкі орналасқан жағдайда қолданылады:
мұндағы:
h 1 , h 2 , …h n - жеке-жеке әрбір ұңғының қалыңдығы, м;
f 1 , f 2 , …f n - жеке-жеке әрбюір ұңғының меңгнерілген ауданы, км 2 ;
с) Ұңғы қатарларының меңгерілген ауданын деңгейлестіру әдісі.
Бұл әдіс ұңғы аралығы жиілеу, бір-ақ қатар аралығы мен ұңғы аралығының айырмасы (парқы) ұзынырақ жағдайда қолданылады.
мұндағы:
B 1 , B 2 , …B n - жеке -жеке әрбір ұңғы қатарларының меңгерілген кеңдігі;
L 1 , L 2 , … L n - жеке -жеке әрбір ұңғы қатарларының меңгерілген ұзындығы;
h 1 , h 2 , …h n - жеке ұңғы бойынша арифметикалық орташа тиімді қалыңдығы, м.
[Төтенше ірі, ірі, орташа, шағын мұнай алабы] . Мұнай алабының тұрпаты мұнай қорының аз-көптігіне қарай былай бөлінеді.
Төтенше ірі мұнай алабы (10 х 10 8 ∙t<) ;
Ірі мұнай алабы (1 ÷ 10 х 10 8 ∙t<) ;
Орташа мұнай алабы (0, 1 - 1 х 10 8 ∙t) ;
Шағын мұнай алабы (0, 1 х 10 8 ∙t>) ;
[Ірі, орташа, шағын газ алабы] . Газ алабының тұрпатыт табиғи газ қорының аз-көптігіне қарай былай бөлінеді:
Ірі газ алабы (300 х 10 8 м 3 <) ;
Орташа газ алабы (50 - 300 х10 8 м 3 ) ;
Шағын газ алабы (50 х 10 8 м 3 ) ;
[Мұнайлы қабат жүйесі] . Бірнеше мұнайлы қабат тобының комбинациясы. Олардың шөгінді болып қалыптасу себептері ортақ, жыныс тұрпаттары бір-біріне жақын, таған жамылғылары өткізбес қалың қабат, қабаттарында мұнай - судың таралу белгілері ұқсас, таған - төбелерінің жанасу беттері жер қабаты дәуірін шекара желісі етеді.
[Өнеркәсіптік газ ағысы өлшемі] . Сынақ ретінде газ алу, өнімді арттыру (қышқылдандыру, жер қабатын қысыммен жару) шаралары арқылы табиғи газ өндіру шамасы өнеркәсіптік газ ағысы өлшеміне жеткен әрбір мезгіл тұрақты өнім бере алатын газ ұңғысы өнеркәсіптік газ ұңғысы делінеді. Газ ұңғысының тұрақты өнімі кедергісіз ағын шамасының 1/4 бойынша есептеу арқылы белгіленеді.
Өнеркәсіптік газ ағысының өлшемі
< 500
500 - 1000
1000 - 2000
2000 - 3000
3000 - 4000
> 4000
0, 05
0, 1
0, 3
0, 5
1, 0
> 2, 0
[Көмірсутегі табиғи газдың түрге айырылуы] .
Көмірсутекті табиғи газ жер қабатындағы алғашқы жатыс жағдайына қарай төмендегідей түрлерге бөлінеді:
Газ қабатындағы газ: алғашқы қорлану жағдайында көмірсутегінің еркін газ күйінде сақталуы.
Еркін газ алғашқы қорлану жағдайында газ күйдегі көмірсутегінің табиғи мұнайды еруі.
Газ шоқысындағы газ алғашқы қорлану жағдайында көмірсутегінің еркін газ күйінде сақталып, табиғи мұнай мен жанасу арқылы газ шақысына айналу.
Суда еріген газ алғашқы қолдану жағдайында еркін газ күйінде сақталған газ күйдегі көмірсутегінің жер беті шарт - жағдайында өнеркәсіптік құны бар ұйыған мұнайға айналуы.
[Табиғи газдың қалыпты жағдайы] . Елімізде 20 0 С температура, 0, 101 МПа қысымды табиғи газ қорын есептеудің қалыпты жағдайы ретінде белгіленген.
[Табиғи газ қорын есептеудің сыйымдылық әдісі] . Сыйымдылық әдісі - табиғи газ қорын есептеудегі негізгі әдіс. Ол тұйықталу, қорлану, ығыстыру тұрпатындағы газ алаптарының түрліше барлау - ашу стаыларында тұтасып қолданылады. Алайда оның жарық сызатты газ ұяшығындағы қолданылмалығы жеткіліксіздеу. Барлау шамасының тереңдеуі мен материалдардың көбейуіне сыйымдылықпен есептеу нәтижесі де дәлділік дәрежесіне көтеріледі. Сыйымдылық бойынша есептелген қорды газ алабын игергеннен кейін динамикалық есептеу әдісі мен тексеріп тиянақтандыруға және дәлелдеуге тура келеді.
Газ алабының алғашқы геологиялық қорын сыйымдылық бойынша есептеу формуласы
мұндағы:
G - газ алабының алғашқы геологиялық қоры, жер үсті өлшемі 100 млн тәу. м;
A - газды аудан, кв. км;
h - орташа тиімді қабат, м;
Ø - орташа тиімді кеуектілік, ондық мөлшер;
S wi - алғашқы су құрамына орташа қанығу дәрежесі, ондық мөлшер;
T - газ қабатының температурасы, k;
T sc - жер үсті қалыпты температурасы, k;
P sc - жер үсті қалыпты қысымы, МПа;
P i - газ алабының алғашқы қабаттық қысымы, МПа;
Z i - алғашқы газдың ауытқу парық коэффициенті;
... жалғасы- Іс жүргізу
- Автоматтандыру, Техника
- Алғашқы әскери дайындық
- Астрономия
- Ауыл шаруашылығы
- Банк ісі
- Бизнесті бағалау
- Биология
- Бухгалтерлік іс
- Валеология
- Ветеринария
- География
- Геология, Геофизика, Геодезия
- Дін
- Ет, сүт, шарап өнімдері
- Жалпы тарих
- Жер кадастрі, Жылжымайтын мүлік
- Журналистика
- Информатика
- Кеден ісі
- Маркетинг
- Математика, Геометрия
- Медицина
- Мемлекеттік басқару
- Менеджмент
- Мұнай, Газ
- Мұрағат ісі
- Мәдениеттану
- ОБЖ (Основы безопасности жизнедеятельности)
- Педагогика
- Полиграфия
- Психология
- Салық
- Саясаттану
- Сақтандыру
- Сертификаттау, стандарттау
- Социология, Демография
- Спорт
- Статистика
- Тілтану, Филология
- Тарихи тұлғалар
- Тау-кен ісі
- Транспорт
- Туризм
- Физика
- Философия
- Халықаралық қатынастар
- Химия
- Экология, Қоршаған ортаны қорғау
- Экономика
- Экономикалық география
- Электротехника
- Қазақстан тарихы
- Қаржы
- Құрылыс
- Құқық, Криминалистика
- Әдебиет
- Өнер, музыка
- Өнеркәсіп, Өндіріс
Қазақ тілінде жазылған рефераттар, курстық жұмыстар, дипломдық жұмыстар бойынша біздің қор #1 болып табылады.

Ақпарат
Қосымша
Email: info@stud.kz