Ағзадағы микроэлементтердің хромға тәуелділігінің математикалық моделі


Тақырыбы: Ағзадағы микроэлементтердің хромға
тәуелділігінің математикалық моделі
Мазмұны
1. Кіріспе. . 3
2. Тәжірибе сипаттамасы. 5
3. Тәжірибе нәтижелерін өңдеу. . 9
4. Қорытынды. 31
5. Қолданылған әдебиеттер32
КІРІСПЕ
Қазіргі азеолой эрасында аса маңызды жаңа геохимиялық фактор пайда болуда. Соңғы мың жылдық ішінде жер игерудің арқасында жанды заттектерді өз қолына толық алған адамзаттың геохимиялық әсер-ықпалы ерекше қызу одан әрі жан-жақты болды. Біз адамзаттың геохимиялық іс әрекетінің қарқыны таңғаларлықтай шапшаңдап кеткенін көріп отырмыз. Бұрын организмдер өздеріне өсу, көбею, қоректену, тыныс алу үшін қажет болатын атомдардың қалыптасуына ғана әсер ететін.
Енді адам бұл шеңберді кеңейтті, техника үшін, өмірдің өркениетті формаларын жасау үшін қажетті элементтерге де әсер ете бастады.
Адамның шын мәнінде дүние дидарын өзгертіп жіберерліктей геологиялық күшке айналғанын біз өзіміз де қазір нақты сезініп отырмыз. Адамзат бүгінгі таңда жанды заттектер пайдаланатын қуаттан он есе артық қуат өндіріп отыр.
Бүкіл әлемде атмосфераның жылы бастағаны, екі полюстің екеуінде де озон қабатында «жыртықтар» пайда болғаны, Арал проблемасы адамның қызметінен биосфераға жасаған қиянатының бір белгісі.
Бұл ауытқулар адам организміне әсер етпей қоймайтыны белгілі. Дамыған елдердің халқы арасында ас қорыту органдарының аурулары кең тарағаны байқалады. Бұл адамның ішкі ас қорыту органдарының жарақаттану механизмдерін жан-жақты зерттеу қажет екенін көрсетіп отыр.
Адамның көп ауруларының шығу тегін және патогенезін қазір жаңадан ашылған тәжірибелер нәтижесінде қайта қарауға тура келеді.
Олардың қатарына организмдегі микроэлементтердің жетіспеушілігінен, асып кетуінен немесе олардың ара салмағының өзгеруінен (дисбаланс) пайда болатын аурулар да жатады.
Жер биосферасының деңгейінде біздің планетамыздың ауыр металдар группасына жататын токсиканттармен ластануы қазіргі заманда үлкен алаңдаушылық және проблемалар тудырып отыр. Д. И. Менделеевтің химиялық кестесіндегі 107 элементтің 83-і металдар екені белгілі. Бүгінгі таңда өндірісте 70-тен астам металдар кеңінен қолданылады және олардың қолдану сферасы кеңейіп келеді.
Қазіргі заманда шек-қарын экожүйесі организмді қорғаудың жүйесі ретінде қарастырылады. Адам организміне жұқпалы аурулардың әсері, витаминдер мен белоктардың тапшылығы, стрестер, сумен, аспен бірге енетін ауыр металдардың тұздары, пестицидтер және басқа да химиялық қосылыстар асқорыту жолдарының микроэкологиясының бұзылу синдромына келтіреді.
Ағзадағы өмірге қажетті микроэлементтердің бірі хром. Оның қажеттілігі ХХ ғасырдың 60-шы жылдары дәлелденіп, оған арналған ғылыми мақалалар жарық көрді. Бірақ хромның физиологиялық әсерінің механизмі әлі күнге шейін ашылған жоқ.
М. Оспанов атындағы Батыс Қазақстан мемлекеттік медицина академиясының ғалымдары адам мен жануарлардың организмінің әр түрлі жүйесіне хромның әсерін көп жыл бойы зерттеді. Бұл ғылыми зерттеу жұмыстарында хромның үлкен дозаларының теріге, өкпеге, бауырға иммундық және нерв жүйесіне кері әсер ететіні дәлелденген.
Ғылыми жұмыстарда хромның әр түрлі концентрацияларының шектердің морфологиялық жағдайына әсері аз зерттелген. Осы мәселені зерттеуді мақсат етіп шектің әр түрлі физиологиялық жағдайларға байланысты морфологиялық өзгеруін шекаралық мүмкін концентрация (ШМК) және одан төмен концентрация деңгейінде зерттеу үшін тәжірибелер жасалды.
Тәжірибе сипаттамасы
Тәжірибе салмақтары 150-180 г болатын 105 еркек ақ тышқанға (ақ егеуқұйрық) жасалды. Олар 3 топқа бөлінді: екеуі тәжірибелік және біреуі бақылау тобы. Тәжірибелік топтағы тышқандардың ішектеріне калий бихроматы бар су қоспасы жіберілді. Калий бихроматы ауыз судағы хром мен бордың қатысы ШМК деңгейінде болатындай және
ШМК деңгейінде алынды.
Тәжірибелік тышқандардың I тобына шекаралық мүмкін концентрацияға (ШМК) тең ерітінді (0, 05 мг/л хром, 0, 5 мг/л бор), ал II тобына ШМК-дан 10 есе аз дозадағы калий бихроматы бар ертінді (0, 005 мг/л хром, 0, 05 мг/л бор) жіберілді. Және бұл ерітінділерді 20 күн аралығында 48 сағаттың интервалымен жіберілді. Бұл жағдайда тышқанның шегінің эпителий тканьдарының жаңаруына кететін уақыт 48-72 сағат екені ескерілді.
Тышқандардың III тобының (бақылау тобы) шектеріне физиологиялық ерітінді жіберілді.
Тәжірибе кезінде барлық тышқандар қарапайым режимде тамақ және су қабылдады (су мөлшері шектеусіз) . Осы кезеңде тышқандардың жалпы жағдайы, мінез-құлқы бақыланды, әрбір 10 күнде салмағы -өлшенді.
Ерітінділерді енгізіп болған күннен бастап тышқандарды әр группадан алып, декапитация әдісімен 2-ші, 4-ші, 6-шы, 8-ші, 10-шы, 13-ші, 16-шы, 18-ші, 21-ші, 23-ші, 26-шы, 28-ші, 30-шы тәуліктерде үш-төртеуден сойылды.
Ішектерді зерттеу оларды толығымен алып тазартып микроэлементтер құрамын зерттеуден басталды. Сойылған күйде қаны да микроэлементтік анализге алынды. Қанның құрамында хром, темір және никель анықталды.
Микроэлементтерді анықтау үшін ішек, бауыр және бүйрек 4°С температурада физиологиялық ертіндіде жуылып, фильтрлік қағазда кептіріліп, аналитикалық таразымен өлшенді. Келесі кезеңде олар муфель пешінде өртеліп, күлі алынды. Осы алынған күлдерге микроэлементтік анализ жасалды.
Анализ қорытандылары №1-№2 кестелерде келтірілген.
Тәжірибе нәтижелерін өңдеу
Корреляция және регрессия
Тышқандарға жасалған тәжірибе нәтижелеріне (№1-№2 кестелер) корреляциялық және регрессиялық тандау жасалып, алынған тәуелділіктердің (заңдылықтардың) графиктері компьютер көмегімен салынды.
а) Корреляция
Тәжірибе нәтижесінде екі кездейсоқ шама Х және Y шықсын. Мысалы медициналық бақылау кезінде әрбір адамның биіктігі және салмағы өлшенеді десек, екі қаланың бір уақыттағы орташа ауа-райы, жұмысшының квалификациясын тексерудегі оның стажы және еңбек өнімділігі.
Сонымен алғашқы берілгендер екі саннан туратын парлар (нүктелер)
, (1)
мұндағы n- сынақ саны. Х және Y шамаларына талдау жасаумен бірге олардың арасындағы байланысты (өзгеру заңдылығын) зерттеу мақсаты қарастырылады: Х және Y бір-бірінен тәуелсіз бе? Егер олардың арасында тәуелділік болса, онда ол тәуелділік қандай?
1-4 суреттерді қарастырайық. Онда (1) түрдегі нүктелер жиынының орналасуы график арқылы көрсетілген. 1- суретте Х және Y шамаларды тәуелсіз, себебі Х шамасына қарап Y-тің өзгеруі туралы ештеңе айта алмаймыз. 2-4- суреттерде осы екі шама арасында тәуелділік бар екені көрініп тұр: Х -тің өзгеруіне байланысты Y-тің де өзгеретіні көрініп тұр. 3 және 4 -суретте тәуелділік сызықтық тәуелділікке жақын, яғни
нүктелер бір түзудің маңайында шоғырланған. Бұл жағдайда Х және Y шамалары арасында корреляция бар дейміз. Кездейсоқ шамалар арасындағы корреляцияның (тәуелділіктің) бар екенін анықтаудың қарапайым әдісі бар.
Ол
Equation. 3 корреляция коэффициентін есептеу. Егер берілген есептегі кездейсоқ шамалар анықталған болса
Equation. 3 -ті
Equation. 3 -деп аламыз.
Корреляция коэффициенті
Equation. 3 аралығында жатады. Егер
Equation. 3 шамасы 1-ге не -1 -ге жақын болған сайын корреляция күштірек деп саналады.
Егер
Equation. 3 не 1-ге, не -1-ге тең болса, онда (1) нүктелер бір түзу бойында жатқаны.
Корреляция коэффициенті Х және Y шамаларының арасындағы сызықтық тәуелділіктің дәрежесін көрсетеді. Егер тәуелділік сызықтық емес болса (мысалы квадрат функция), онда бұл коэффициент нольге тең болуы мүмкін.
Equation. 3 - ті есептеу формуласын келтірейік.
Equation. 3,
Equation. 3, (2)
Equation. 3,
Equation. 3, (3)
Equation. 3, (4)
Equation. 3 . (5)
б) Регрессия
Х және Y кездейсоқ шамалары арасындағы тәуелділік сызықтық тәуелділікке жақын болсын (
Equation. 3 шамасы не 1-ге, не -1 ге жақын) . Онда
Equation. 3 (6)
функциясын табу керек болады.
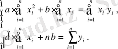
Бұл функция Х және Y арасындағы тәуелділікті өте жақын етіп сипаттауы тиіс. Бұл функцияны табу үшін ең кіші квадраттар әдісін қолданамыз.
Сонымен сандардың
Equation. 3 жұбы (немесе
Equation. 3 нүкте) берілсін:
.
(6) формуламен берілген түзуден ауытқуының квадраттарының қосындысы ең аз болатындай етіп (6) формуладағы
сандарын табу (түзу теңдеуін табу) керек.
Яғни, мына шама
(7)
ең кіші мән қабылдау керек. (5-суретте ауытқулар вертикаль кесінділерімен көрсетілген) .
(7) өрнек
және
екі айнымалының функциясы, себебі
-лер берілген.
Егер
және
шамалары мына ара қатынастарды қанағаттандырса, онда (7) өрнек ең кіші мәнді қабылдайтыны дәлелденген:
Бұл жүйенің бір ғана шешімі бар:
. (8)
Equation. 3 және
Equation. 3 параметрлік есептеп (6) теңдеуді аламыз, бұл теңдеу Х пен Y арасындағы тәуелділікті ең жақсы көрсететін функция болады. Алынған түзу Y-тің Х-тағы регрессия түзуі деп аталады.
№ 3 кестеден бақылау тобына жасалған тәжірибе нәтижелерінен ішек-қарындағы Fe (темір) микроэлементінің Cr (хромға) байланысты өзгеру заңын зерттейік.
Ол үшін
Fe
элементін
у
деп, ал
Cr
элементін
х
деп аламыз. Сонда
функциясын анықтау керек. Алдымен,
-корреляцияның коэффициентін табамыз.
(1) - (5) формулаларды № 3-кестедегі нәтижелер үшін жазамыз. Содан соң мына шамаларды табамыз:
.
.
Табылған коэффициенттің ақиқаттығы нольдік гипотеза негізінде айқындалады. Нольдік гипотеза Стьюденттің
-критериі бойынша жоққа шығарылады, яғни мына теңсіздік орындалуы тиіс:
. ( 9 )
1% - қателікпен корреляция коэффициентінің сандық нүктесін анықтайды.
Енді
функциясының
және
тұрақтыларын (3), (4) және (8) бойынша табамыз.
;
;
мұндағы
;
Сонда
.
.
Олай болса сызықтық регрессия мына функциямен жуықтап алынады:
.
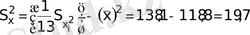
№4 кестеден тәжірибе тобына жасалған тәжірибелерден шек-қарындағы Fe (темір) және Cr (хром) элементтерінің арасындағы байланысты зерттейік.
Fe
элементін
у
деп, хромды
х
деп аламыз. Сонда
y=f(x)
функциясын анықтаймыз. Алдымен
табамыз.
.
.
Келесі кезеңде бұл корреляция сызықтық корреляция (сызықтық функция) болатынын көрсетеміз. Ол үшін
шамасын есептейміз.
.
=
10, 1
шамасын кітаптан алынған
N5
- кестедегі мәндермен (к
=n-2
-ге тең болғанда) салыстырамыз. 0, 1% -тік қателікпен салыстырғанда
.
=
10, 1
>
теңсіздігі орындалады. Соңғы теңсіздік
х
және
у
арасындағы тәуелділік сызықтық тәуелділік, яғни
түріндегі функциональдық тәуелділік болатынын көрсетеді.
Енді
және
тұрақтыларын табамыз:
;
;
;
.
Сонда сызықтық регрессия мына функциямен жуықтап алынды:
№3-ші және №4-ші кестеден шыққан сызықтық регрессиялар
1-графикте көрсетілген.
№5 кестеден бақылау тобына жасалған тәжірибе нәтижесінде қан құрамындағы Ni (никель) және Cr (хром) элементтерінің арасындағы байланыстың өзгеруін қарайық.
Ол үшін
Ni= f(Cr)
тәуелділікті
y=f(x)
функциясымен алмастырамыз, яғни
Ni
элементін
у
деп,
Cr
элементін
x
деп аламыз. Кейін осы функцияны анықтайық. Алдымен
-ті табамыз.
.
Корреляциялық байланыстың параметрлік көрсеткіштерімен бірге, параметрлік емес, яғни реттік көрсеткіштерді қолданады. Сондай көрсеткіштердің бірі Спирмен ашқан рангілердің корреляция коэффициенті
:
( 10 )
. (11 )
Табылған коэффициенттің ақиқаттығы нольдік гипотеза негізінде айқындалады. Нольдік гипотеза Стьюденттің t -критериі бойынша жоққа шығарылады, яғни мына теңсіздік орындалуы тиіс:
(12 )
- Іс жүргізу
- Автоматтандыру, Техника
- Алғашқы әскери дайындық
- Астрономия
- Ауыл шаруашылығы
- Банк ісі
- Бизнесті бағалау
- Биология
- Бухгалтерлік іс
- Валеология
- Ветеринария
- География
- Геология, Геофизика, Геодезия
- Дін
- Ет, сүт, шарап өнімдері
- Жалпы тарих
- Жер кадастрі, Жылжымайтын мүлік
- Журналистика
- Информатика
- Кеден ісі
- Маркетинг
- Математика, Геометрия
- Медицина
- Мемлекеттік басқару
- Менеджмент
- Мұнай, Газ
- Мұрағат ісі
- Мәдениеттану
- ОБЖ (Основы безопасности жизнедеятельности)
- Педагогика
- Полиграфия
- Психология
- Салық
- Саясаттану
- Сақтандыру
- Сертификаттау, стандарттау
- Социология, Демография
- Спорт
- Статистика
- Тілтану, Филология
- Тарихи тұлғалар
- Тау-кен ісі
- Транспорт
- Туризм
- Физика
- Философия
- Халықаралық қатынастар
- Химия
- Экология, Қоршаған ортаны қорғау
- Экономика
- Экономикалық география
- Электротехника
- Қазақстан тарихы
- Қаржы
- Құрылыс
- Құқық, Криминалистика
- Әдебиет
- Өнер, музыка
- Өнеркәсіп, Өндіріс
Қазақ тілінде жазылған рефераттар, курстық жұмыстар, дипломдық жұмыстар бойынша біздің қор #1 болып табылады.

Ақпарат
Қосымша
Email: info@stud.kz