Айнымалы ток және электр тізбегіндегі резонанс


Кіріспе
Тұрғын үйлер мен өндіріс корпустарын, теміржолдар мен самолеттер, кемелер мен автомобильдер, ғарышкемелер мен ракеталар, гидравликалық турбиналар мен іштен жану двигательдері, көпірлер мен жер асты жолдары белгілі бір жағдайда тербелістерге айналатын тербелмелі жүйелер болып саналады. Кейде еріксіз тербелістердің амплитудасы шамадан тыс көп болғандықтан, сонша құбылыстың быт-шыт болып қирауына әкеп соғады. Демек құрылыстағы резонансты есепке алудың қажеттілігін туғызады. Ал кейбір жағдайларда резонанс құбылысы белгілі бір іске жұмсалады. Резонанс құбылысы техникада кеңінен пайдаланылады. Резонанс құбылысы тербелістердің жиілігін өлшеу үшін қолданылады. Бүкіл радиобайланыс резонанс құбылысына негізделген. Электр резонанс құбылысы радио байланыста қолданылады. Хабарлаушы әр түрлі станцияның радио толқындары радио қабылдағыштың антеннасында жиілігі әр қилы айнымалы ток туғызады. Әр станция өз жиілігімен жұмыс істейді, антенна мен станцияның тербеліс контуры индуктивті байланысқан. Электромагниттік индукция әсерінен, контур катушкасында тиісті жиіліктегі айнымалы ток күші және оның еріксіз тербелістері пайда болады. Антеннада қоздырылған барлық тербелістердің жиіліктерінен контур тек жиілігі контурдың меншікті жиілігіне тең келетін тербелістерді ғана өлшеп бөліп алады. Контурды кезекті жиілікке дәл келтіру, контурдағы конденсатордың сыйымдылығын өзгерту жолымен іске асырылады. Бұл радио қабылдағышты белгілі бір станцияға сай келтіру деген сөз.
Айнымалы ток.
Айнымалы ток деп ток күші, электр қозғаушы күші бар бағыты периодты түрде өзгеріп отыратын токты айтады. Пәтердің жарықтандыру желісіндегі, заводтар мен фабрикалардағы айнымалы ток дегеніміз-еріксіз электромагниттік тербелістер. Ток күші және кернеу уақыт бойынша гармоникалық заң бойынша өзгереді.
Кернеудің тербелісін осциллографтың көмегімен оңай аңғаруға болады. Айнымалы токтың жиілігі дегеніміз 1с ішіндегі тербелістер саны. Өндірістік айнымалы ток стандарт жиілігі 50Гц-ке тең. Бұл бір секунд ішінде ток 50 рет бір жаққа қарай 50 рет қарама-қарсы жаққа қарай ағады деген сөз. Осы 50 Гц жиілік дүниежүзіндегі елдердің көбінде өнеркәсіп тогы үшін қабылданған. АҚШ-та 50 Гц жиілік қабылданған.
Алғашында біртекті магнит өрісіндегі рама жазықтығы индукция сызықтарына перпендикуляр болып, тұрақты бұрыштық жылдамдықпен айналсын
const. Оның ауданы S, түсірілген :
.
нормаль мен B вектор сызықтарының арасындағы бұрыш
болсын. Сонда
Фарадей заңы бойынша контурда магнит ағынының (В) әсерінен периодты түрде өзгеріп отыратын индукция электр қозғаушы күші пайда болады:
Equation. 3,
яғни
.
sin
Equation. 3 кезде э. қ. к. максимумға ие болады немесе
. Осылайша контурда айнымалы ток пайда болады.
яғни
,
Мұндағы
- токтың ең үлкен мәні,
- контур мен электр тізбегінің кедергісі.
Демек, айнымалы электр тогы - гармониялық тербеліс заңымен анықталатын ток. Оны формулалардан көруге болады. Айнымалы ток генераторы осы қарастырылған әдіс негізінде жұмыс істейді.
Тұрақты ток көзіне жалғанған конденсатордан ток жүрмейді. Ал, айнымалы ток көзіне жалғасақ, одан ток өтеді. Әйтсе де конденсатор токтың жүруіне кедергі жасайды. Ол сыйымдылық кедергі деп аталады.
.
Айнымалы ток күші өткізгіштің формасына байланысты. Түзу өткізгіштің ток күші бірнеше орамы бар өткізгішке қарағанда көп болатыны анықталған. Яғни орамы көп катушкадан ток өткенде ток күші азаяды. Өткізгіштің осы кедергісін индуктивтік кедергі деп атайды.
L.
Тізбектей қосылған реостат, конденсатор мен катушканың толық кедергісі:
Z=
,
Мұндағы
- актив(ом) кедергі, (
) - реактив кедергі, Z- импеданс. Кедергі бар кезде тізбек генератордан келетін энергияны жұтады. Бұл энергия өткізгіштің ішкі энергиясына айналады-олар қызады.
Өнеркәсіптік жиілігі бар айнымалы ток тізбегінде ток күші мен кернеу едәуір өзгеріп тұрады. Сондықтан ток өткізгішпен, мысалы, электр шамының қылымен жүргенде бөлініп шығатын энергия мөлшері де уақыт бойынша тез өзгереді. Бірақ осы тез өзгерістерді юіз байқамаймыз.
Тізбек арқылы өтетін электр тогы жылулық, механикалық және т. б. әсерлер туғызуы мүмкін. Тұрақты ток тізбек арқылы өткенде бөлінетін жылу мөлшері Джоуль-Ленц заңымен анықталады:
Q=I
Rt.
Айнымалы токтың мәні нөлден жоғарғы мәніне жеткенше біраз уақыт өтеді. Тұрақты токтың бөліп шығарған жылуына тең болатындай жылу бөліп шығаратын айнымалы токты эффектив тогы деп атайды:
Equation. 3 .
Кернеудің эффектив мәні
.
Айнымалы ток тізбегіндегі конденсатор.
Индуктивтілігі L катушкадан, сыйымдылығы C конденсатордан және кедергісі R резистордан тұратын электр тізбегін тербелмелі контур деп атайды.
Конденсатор бар тізбекте тұрақты ток бола алмайды. Оның мәнісі- бұл жағдайда іс жүзінде тізбек ажыратулы тұрады, өйткені конденсатор астарлары диэлектрикпен бөлінген. Ал айнымалы ток конденсаторы бар тізбекпен ағып өте алады. Бұған оңай тәжірибе арқылы көз жеткізуге болады.
Айталық, бізде тұрақты және айнымалы кернеулердің көздері бар болсын және көздің қысқыштарындағы тұрақты кернеу айнымалы кернеудің әсерлік мәніне тең дейік. Тізбек конденсатор мен қыздыру шамынан құралады, олар тізбектей жалғанған. Тұрақты кернеуге қосқанда шам жанбайды. Егер конденсатор сыйымдылығы жетерліктей үлкен болса, онда айнымалы кернеуге қоссақ шам жанады. Егер тізбек іс жүзінде ажыратулы болса, айнымалы ток ол тізбекпен қалай ағады? Тегінде мұнда айнымалы кернеу әсерінен конденсатордың дүркін-дүркін зарядталуы және разрядталуы болып тұрады.
Егер сымдардың және конденсатор астарларының кедергісін елемейтін болсақ, тек қана конденсатор бар тізбектегі ток күшінің уақыт бойынша қалай өзгеретінін табайық.
Конденсатордағы кернеу
тізбек ұштарындағы кернеуге тең. Ендеше,
. (1)
Конденсатор заряды гармоникалық заң бойынша өзгереді:
. (2)
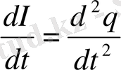
Зарядтың уақыт бойынша туындысы болып табылатын ток күші мынаған тең:
. (3)
Олай болса, ток күшінің тербелісі конденсатордағы кернеудің тербелісінен
-ге озады. Бұл конденсатор зарядтала бастаған кезде ток күші максимал шамада, ал кернеу нөлге тең деген сөз. Кернеу максимумға жеткеннен кейін ток күші нөлге тең болады және т. с. с.
Ток күшінің амплитудасы мынаған тең:
. (4)
Мынадай
(5)
белгілеу енгізсек және ток күші мен кернеу амплитудаларының орнына олардың мәндерін пайдалансақ, табатынымыз:
. (6)
Циклдік жиілік пен конденсатордың электр сыйымдылығының көбейтіндісіне кері шама - Х шамасын сыйымдылық кедергісі деп атайды. Бұл шаманың ролі Ом заңындағы R актив кедергісінің роліне ұқсас. Ток күшінің әсерлік мәні Ом заңы бойынша тұрақты ток тізбегінің бөлігі үшін ток күші мен кернеу қандай байланыста болса, конденсатордағы кернеудің әсерлік мәнімен дәл сондай байланыста. Осының өзі Х шамасын конденсатордың айнымалы токқа кедергісі деп қарастыруға мүмкіндік береді.
Конденсатордың сыйымдылығы неғұрлым үлкен болса, қайыра зарядтау тогы соғұрлым үлкен болады. Мұны конденсатордың сыйымдылығы артқан кезде, шам қылының қызуы күшейгенінен байқауға болады. Конденсатордың тұрақты токқа кедергісі шексіз үлкен, ал айнымалы токқа оның кедергісі шектелген
мәнде болады. Сыйымдылық артқан сайын, ол азаяды. Жиілік өскен сайын да ол азаяды. Айнымалы токтың жиілігін бірқалыпты арттыра отырып, шам қызуының артатынын байқауға болады. Ол конденсатордың
кедергісінің азаюы салдарынан ток күшінің артқанынан болып отыр.
Қорытындыда мынаны ескертейік: ширек период бойы конденсатор максимал кернеуге шейін зарядталған кезде энергия тізбекке беріледі де, электр өрісінің энергиясы түрінде конденсатор ішіне жиналып, қорланады. Периодтың келесі ширегінде конденсатор разрядталғанда әлгі энергия желіге қайтарылады.
Конденсаторы бар тізбектің кедергісі жиіліктің электр сыйымдылыққа көбейтіндісіне кері пропорционал болады. Ток күшінің тербелісі кернеу тербелісінен
-ге озық болады.
Айнымалы ток тізбегіндегі индуктивтік катушка
Тізбектегі индуктивтік айнымалы ток күшіне әсер етеді. Мұны тәжірибемен оңай дәлелдеуге болады.
Индуктивтігі үлкен катушкадан және қыздыру электр шамынан тұратын тізбек құрайық. Осы тізбекті ажыратып-қосқыштың көмегімен не тұрақты кернеу көзіне, не айнымалы кернеу көзіне жалғауға болады. Мұнда тұрақты кернеу мен айнымалы кернеудің әсерлік мәні өзара тең болуы тиіс. Кернеу тұрақты болғанда шам жарығырақ жанатынын тәжірибе көрсетеді. Ендеше, осы қарастырылып отырған тізбекте айнымалы ток күшінің әсерлік мәні тұрақты ток күшінен аз екен.
Бұл өздік индукция құбылысымен түсіндіріледі: Тұрақты ток көзіне катушканы тіркегенде тізбектегі ток күші біртіндеп артады. Ток күші көбейе бастағанда өнетін құйынды электр өрісі электрондардың қозғалысын тежейді. Тек бірсыпыра уақыт өткеннен кейін ғана ток күші берілген тұрақты кернеуге сәйкес ең үлкен мәніне жетеді.
Егер кернеу тез өзгерсе, онда айнымалы ток күші тұрақты кернеу кезінде тиісті мәндеріне жетіп үлгермейді.
Ендеше, айнымалы ток күшінің максимал мәні тізбектің индуктивтігімен шектеледі де, индуктивтік және берілген кернеудің жиілігі неғұрлым көп болса, ол соғұрлым аз болады.
Актив кедергісі ескерілмейтін, тек қана катушка бар тізбектегі ток күшін анықтаймыз. Ол үшін алдымен катушкадағы кернеу мен ондағы өздік индукцияның ЭҚК-і арасындағы байланысты табамыз. Егер катушканың кедергісі нөлге тең болса, онда кез-келген уақыт мезетінде өткізгіш ішіндегі электр өрісінің кернеулігі де нөлге тең болуы тиіс. Ом заңы бойынша ток күші шексіз үлкен болар еді. Өріс кернеулігі нөлге тең болуы мүмкін, себебі айнымалы магнит өрісі тудыратын құйынды электр өрісінің кернеулігі Е әр нүктеде, ток көзінің қысқыштарында орналасқан өткізгіштегі зарядтар туғызатын Е кулондық өріс кернеулігіне модулі жағынан тең де, бағыты жағынан қарама-қарсы болады.
Енді
теңдіктен құйынды өрістің меншікті жұмысының кулондық өрістің меншікті жұмысына модулі жағынан тең, ал таңбасы жағынан қарама-қарсы екендігі шығады. Кулон өрісінің меншікті жұмысының катушка ұштарындағы кернеуге тең екенін ескеріп, былай деп жазуға болады:
.
Ток күші
гормоникалық заң бойынша өзгергенде, өздік индукцияның электр қозғаушы күші мынаған тең:
. (7)
Енді
болғандықтан, катушка ұштарындағы кернеу былай анықталады:
,
мұнда
- кернеудің амплитудасы.
Ендеше катушкадағы кернеудің тербелісі ток күшінің тербелістерінен
-ге озады немесе ток күшінің тербелісі кернеудің тербелісінен
кейін қалады.
Катушкадағы ток күшінің амплитудасы мынаған тең:
. (8)
Егер
деп белгілеу енгізсек және ток күші мен кернеу амплитудасының орнына олардың әсерлік мәндерін пайдалансақ, мынаны табамыз:
. (9)
Циклдік жиілік пен индуктивтіктің көбейтіндісіне тең болатын
шаманы индуктивтік кедергі деп атайды. Индуктивтік кедергі жиілікке тәуелді. Тұрақты ток тегінде катушканың индуктивтігін елемейді. Кернеу неғұрлым шапшаң өзгеретін болса, өздік индукцияның электр қозғаушы күші соғұрлым үлкен де, ток күшінің амплитудасы соғұрлым кіші.
Индуктивті катушка айнымалы токқа кедергі тудырады. Индуктивтік деп аталатын бұл кедергі жиіліктің индуктивтікке көбейтіндісіне тең болады. Индуктивтігі бар тізбектегі ток күшінің тербелісі фаза жағынан кернеудің тербелісінен
-ге қалып отырады.
Егер кедергіні ескермесек, онда тербелмелі контур катушка мен конденсатордан тұрады. t=0 болғанда конденсатор зарядталсын және бұл кезде электр өрісінің энергиясы бар, ал магнит өрісінің энергиясы жоқ болсын. Енді кілтті қоссақ, онда конденсатордан катушкаға қарай ток жүреді де конденсатор разрядталады. Бұл разряд тогы катушканың айналасында біртіндеп магнит өрісін туғызады. t=1/4T болған кезде конденсатор толық разрядталып, электр өрісінің энергиясы түгелдей магнит өрісінің энергиясына айналады. Зарядтардың сағат тілінің қозғалысына қарсы бағыттағы қозғалу нәтижесінде конденсатордың төменгі пластинкасы оң, ал жоғарғысы теріс зарядталады. Магнит өрісі біртіндеп азая береді. t=1/2T кезде магнит өрісінің энергиясы түгелімен электр өрісінің энергиясына айналады. Конденсатор қайта зарядталады, бірақ пластинкалардың қайта зарядталуы біріншіге қарағанда қарама-қарсы болады. Содан кейін ток сағат тілі бағытында жүре бастайды. Электр өрісінің энергиясы біртіндеп магнит өрісінің энергиясына түрленеді. t=3/4T болғанда магнит өрісінің энергиясы өзінің ең жоғарғы мәніне ие болады, ал электр өрісінің энергиясы нөлге тең болады. Ал t=T болғанда конденсатор алғашқы қалпына қайтып келеді.
Электр өрісі энергиясының магнит өрісі энергиясына және керісінше түрленуі электромагниттік тербелістерді тудырады.
Сонымен, электр және магнит өрістері энергияларының толық энергиясы:
.
Дифференциалдасақ:
,
және
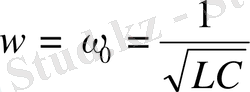
деп белгілесек,
, бұл теңдеуден q зарядтың гармоникалық тербеліс жасайтынын байқаймыз. Тербелістің жиілігі мына формуламен анықталады:
.
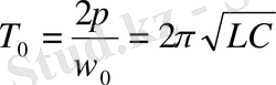
Электромагниттік тербелістің периоды Томсон формуласымен анықталады:
Электр тізбегіндегі резонанс.
Жүйе тербелістерінің меншікті жиілігі сыртқы күштің өзгеру жиілігімен дәл келсе, сол жағдайда резонанс байқалады. Егер үйкеліс аз болса, онда орныққан еріксіз тербелістің амплитудасы кенет артады.
Егер электр тізбегі белгілі бір меншікті тербеліс жиілігі бар тербелмелі контур болса, онда механикалық және электромагниттік тербеліс заңдарының дәл келуі, бірден-ақ резонанс байқалады деген қорытынды жасауға мүмкіндік береді.
үйкеліс коэффициентінің мәндері аз болғанда механикалық тербелісте резонанс айқын байқалады. Электр тізбегінде үйкеліс коэффициентінің ролін R актив кедергі атқарады. Тізбекте осы кедергінің болуының өзі токтың энергиясын өткізгіштің ішкі энергиясына айналдырады (өткізгіш қызады) . Сол себепті R актив кедергі аз болған кезде, электрик тербелмелі контурдың резонансы айқын байқалуы керек.
Егер актив кедергі аз болса, онда контурдағы тербелістердің меншікті жиілігі мына формуламен анықталады:
.
Контурдағы түсірілген айнымалы кернеудің жиілігі тербелмелі контурдың меншікті жиілігіне тең болғанда, яғни
.
Еріксіз тербеліс кезіндегі ток күші максимал мәнге жету керек.
Сыртқы айнымалы кернеудің жиілігі тербелмелі контурдың меншікті жиілігімен бірдей болғанда, еріксіз тербеліс амплитудасының кенет арту құбылысын электрлік тербелмелі контурдағы резонанс деп атайды. Механикалық резонанс жағдайындағы сияқты, тербелмелі контурдағы резонанс кезінде энергияның сыртқы көзден контурға келуі үшін қолайлы шарттар жасалады. Ток күші фаза жағынан кернеумен бірдей түскен кезде контурдағы қуат максимал болады.
Сыртқы айнымалы кернеуді қосқаннан кейін бірден тізбекте токтың резонанстық мәні қалыптасады. Тербелістің қалыптасуы бірте-бірте болады. Резисторда бір период ішінде бөлініп шығатын энергия осы уақытта контурға түсетін энергиямен теңескенге дейін ток күші тербелісінің амплитудасы арта береді:
.
Бұл теңдеу ықшамдалғаннан кейін мына түрге келеді:
.
Осыдан, резонанс кезіндегі ток күшінің қалыптасқан тербелісінің амплитудасы мына теңдеумен анықталатын болады:
.
- Іс жүргізу
- Автоматтандыру, Техника
- Алғашқы әскери дайындық
- Астрономия
- Ауыл шаруашылығы
- Банк ісі
- Бизнесті бағалау
- Биология
- Бухгалтерлік іс
- Валеология
- Ветеринария
- География
- Геология, Геофизика, Геодезия
- Дін
- Ет, сүт, шарап өнімдері
- Жалпы тарих
- Жер кадастрі, Жылжымайтын мүлік
- Журналистика
- Информатика
- Кеден ісі
- Маркетинг
- Математика, Геометрия
- Медицина
- Мемлекеттік басқару
- Менеджмент
- Мұнай, Газ
- Мұрағат ісі
- Мәдениеттану
- ОБЖ (Основы безопасности жизнедеятельности)
- Педагогика
- Полиграфия
- Психология
- Салық
- Саясаттану
- Сақтандыру
- Сертификаттау, стандарттау
- Социология, Демография
- Спорт
- Статистика
- Тілтану, Филология
- Тарихи тұлғалар
- Тау-кен ісі
- Транспорт
- Туризм
- Физика
- Философия
- Халықаралық қатынастар
- Химия
- Экология, Қоршаған ортаны қорғау
- Экономика
- Экономикалық география
- Электротехника
- Қазақстан тарихы
- Қаржы
- Құрылыс
- Құқық, Криминалистика
- Әдебиет
- Өнер, музыка
- Өнеркәсіп, Өндіріс
Қазақ тілінде жазылған рефераттар, курстық жұмыстар, дипломдық жұмыстар бойынша біздің қор #1 болып табылады.

Ақпарат
Қосымша
Email: info@stud.kz