Бұрғылау сұйығын дұрыс пайдаланбаудан немесе технологиялық қасиеттерді бұзудан пайда болатын қиындықтар


Бұрғылау сұйығын дұрыс пайдаланбаудан немесе технологиялық қасиеттерді бұзудан пайда болатын қиындықтар
Бұрғылау жұмысындағы циркуляциялық процесс.
1. 1 Бұрғылау жұмыстарындағы циркуляциялық процестердің негізгі заңдылықтары.
1. 1. 1 Жуу сұйығының шығыны.
Жыныс талқандаушы аспаптың жұмыс жасауына қолайлы жағдай, оның талқандалған жыныстың ұңғы түбінен жоғары шығарылуына байланысты. Егер ұңғыны жуу жеткіліксіз болса, онда ұңғы түбінде талқандалған ірі бөлшектер қайта ұнтауға ұшырайды, соның есесінен қашау тез тозады және бұрғылау жылдамдығы төмендейді.
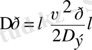
Сораптың қажетті берілісін ұңғыма түбіндегі ірі бөлшектердің тұрақты жылдамдықпен көтерілуіне байланысты анықталады:
(1. 1)
ω - көтерілу ағынының шектік жылдамдығы кезінде бөлшектер қалқымалы күйде болады, м/с;
u - бөлшектерді шығаруға қажетті жылдамдық ( қозғалыс жылдамдығы) ;
V - анықтау үшін келесі жалпы формула қолданылады [38] :
(1. 2)
- бөлшектің эквивалентті диаметрі, м;
- тау жынысының тығыздығы, кг/м 3 ;
- жуылатын ортаның тығыздығы, кг/м 3 ;
g - еркін түсу үдеуі, м/с 2 ;
c - кедергілі ортаға құлап келе жатқан шардың өлшемсіз коэффициенті (Прандтлю - Годэну бойынша) .
Идеалды шар тәрізді денеге кедергі коэффициенті С тұрақты шама болып табылмайды және райнольдс параметріне тәуелді болады, ортадағы дененің ағын режимін анықтайды. Шарға С ~ 0, 5 қабылдау арқылы (1. 2) - ден Риттингер формуласын алуға болады.
(1. 3)
(1. 3) формуласы идеалды шар тәрізді бөлшек үшін өте жақындатылған. Қазіргі уақытта критикалық жылдамдыққа формула нақтылы:
(1. 4)
Логорифм заңы негізінде қабылданған критериалдық тәуелділік стандарт қисықты С = f (Re) Re = 0, 5 -10 5 аралығында жоғары дәлдікпен анықтайды [38] . Бұл формулада V - жуу ортасының кинематикалық тұтқырлығының коэффициенті, м 2 /с;
Ar - өлшемсіз Архимед параметрі;
Жуу сұйығы мен ауаның әртүрлі температурадағы физикалық құрамы 1- таблицада көрсетілген.
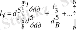
Шламда идеалды шар тәрізді тау жынысының бөлшектері кездеспейді. Ірі бөлшектердің көлемін d э шарошкалы қашаудың тістерінің қадамымен, алмазды коронканың жандық жуу канавкасымен, қатты қорытпалы коронканың кескіш тістеріне қатысты анықталады.
Бөлшектерді шығару жылдамдығы u (0, 1-0, 3) ω - ға тең деп алынып, неғұрлым жоғары болса, соғұрлым механикалық өту жылдамдығы жоғары болады. (1. 1) формуласы бойынша берілген мәндер u мен ω анықтап қажетті көтерілу ағынының жылдамдығын V анықтаймыз. Егер көтерілу ағынының жылдамдығы ұңғы түбіндегі ірі бөлшектерді көтеретін болса, онда ұңғы басқа да әртүрлі ұсақ бөлшектерден таза болады.
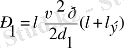
Тура циркуляция кезінде қажетті жуу сұйығының шығыны V 0 (м 3 /с) мына формуламен анықталады:
(1. 5)
мұндағы: D - ұңғының үлкен ішкі диаметрі және шегендеуіш құбырдың, қарапайым сағаның, м;
d 2 - бұрғылау құбырының сыртқы диаметрі, м;
k
к
- коэффициент ағынның тұрақсыз жылдамдығын құбыр бойымен жергілікті жоғары өндіруде ескереді, кавериді қосқанда және тағы басқа.
Бұрғылау жұмысының жуу сұйығының кіріс пен шығыстағы тығыздығының орташа айырмасы 3% -дан аспауы керек, себебі шламның концентрациясы жоғарылап кетсе, ұңғының уақытша циркуляцияны тоқтатқан кезде шламданып қалу қауіпі бар.
Жуу ортасында сұйықтың ағынының көтерілу жылдамдығын көбіне тәжірибеде қолданбалы мәндермен есептейді. 1. 1 таблицада жыныс талқандаушы құралдар арқылы колонналы барлама бұрғылау кезіндегі судың көтерілу ағыны немесе тұзды сұйықтың және қалыпты сазды сұйқтың келтірілген жылдамдықтары көрсетілген.
Көтерілу ағынының жылдамдығының үлкен мәнін жоғары жылдамдықты бұрғылау кезінде қолданылады. Бұл кезде уақыт бірлігінде көп шлам түзіледі және шлам ірі болғанда: кішкентай мәндер қарама-қарсы жағдайда және бұған байланысты өтетін жыныстар тұрақсыз және оңай жуылады.
(1. 7)
(1. 7) формулада: р 1 - сыңағыш жолақтың бетіне, шланг тығыздамада, алдыңғы құбырға, бұрғылау және созылмалы құбырдағы қысым шығыны;
р 2 - бұрғылау бағаналарымен біріккен жергілікті кедергілерді жеңудегі қысым шығыны;
р 3 - ұңғыманың балдақ арасындағы қысым шығыны;
р 4 - бағаналы жинақта немесе қашаудағы кедергілерді жеңудің қысым шығыны;
р 5 - турбинді немесе гидросоққылы бұрғылау жағдайындағы турбабур (гидросоққыдағы) қысымның айырымы;
К 3 - тығыздамалардың және т. б. (К 3 =1, 3÷1, 5) ұңғымаларды қысу кезіндегі қосымша кедергілерді жеңу үшін қажетті қысым қорын ескеретін коэффициент.
Ұңғымалар (Па-мен) мен құбырөткізгішті беттердің қысымдарының гидравликалық шығынын есептеу негізіне Дарси-вейсбах формуласы енгізілген:
(1. 8)
мұнда:
- гидравликалық кедергінің өлшемсіз коэффициенті;
- арна ағысының қимасының ортасы бойынша сұйықтықтың қозғалуының көлем жылдамдығы, м/с;
р - сұйықтықтың тығыздығы, кг/м 3 ;
- ағын арнасының ұзындығы, м;
- ағын арнасының эквивалентті диаметрі (бұрғылау құбырлары үшін
, мұнда
- құбырдың ішкі диаметрі; пішіні дұрыс емес арна үшін D
3
мүмкін параметрге бөлінген қима ауданының 4-тең, D
3
= 4F/П; ұңғыманың балдақ арнасы үшін D
3
= D-d
2
, мұнда d
2
- бұрғылау құбырының сыртқы диаметрі, D - ұңғыма диаметрі, м) .
Гидравликалық есептеулерде біршама күрделі және жауапты болып нақты шарттар үшін λ мәнінің анықталуы болып табылады. Гидравликалық кедергілердің коэффициенті сұйық ортасының құрамынан, оның жылдамдығынан, арна қимасынан және қабырғаларының кедір-бұдырлығына байланысты. Тегіс арналарда ньютонды созылмалы сұйықтардың қозғалыс режимі бірден Рейнольдстің өлшемсіз параметрімен сипатталады:
немесе
(1. 9)
мұнда μ - динамикалық тұтқырлық коэффициенті, Па∙с. Қалған белгілер алдыңғы берілгендерге сәйкес.
Гидравликалық есептеулерге қажетті негізгі әртүрлі тазалау агенттерінің құрамы туралы мәліметтер 1-кестеде берілген.
Практикалық есептеулер үшін кедір-бұдырлықтың формулаларға әсері эквивалентті немесе гидравликалық 1 мм-ге дейінгі ескі топтыққан құбырлар үшін, 0, 2-0, 5 мм жегідегі құбырлар үшін, 0, 02-0, 07 мм болат тартылған құбырлар үшін құраушысы болып тапбылатын К ш кедір-бұдырлығымен есептеледі.
мәндерінде (шамамен) ағынның ламинарлы режимі байқалады, ал кезде кедергі коэффициенті Рейнольдс санынан тәуелді болып, Стокс формуласымен анықталады:
(1. 10)
Бұл аумақта қысым шығыны бірінші дәрежелі қозғалыс жылдамдығына тәуелді.
үлкен мәндердегі қысым шығынының жылдамдығына тәуелді бытыра деңгейімен сипаталатын өтпелі және турбулентті режим орнына ш
1
(квадратты аумақ) рейнольдс ретінің сан мәндерінде қысым шығыны
-ға тәуелсіз. Олар кедір-бұдырлықпен анықталып, қозғалыс жылдамдығының квадратына пропорционал.
Турбулентті режимнің барлық кеңейген аумағындағы тұтқырлы сұйықтың қозғалысындағы λ анықтау үшін шамаланған формулалар қолданылады, мысалы А. Д. Альтцуль формуласы:
(1. 11)
мұнда, К ш - гидравликалық кедір-бұдырлық, мм.
К
ш
- аз мәндерінде (1. 11) - формула тегіс құбырлардағы турбиленттік режим үшін әділ,
көп мәндерінде - толық үйкеліс кедір-бұдырлығы үшін (квадратты аудан) . Балшықты ерітінділер мен басқа да құрылымды сұйықтардың қозғалысы кезіндегі гидравликалық кедергілер есебі реологиялық құрамы бойынша күрделі.
Тұтқыр тілімді орта бола отырып, мұндай ерітінді Ньютонның тұтқырлау заңына бағынады және оның қозғалыс режимі Рейнольдстың жалпыланған параметрінің көмегімен сипатталады:
(1. 12)
- әсерлі тұтқырлығы арқылы есептеледі, ал ол келесі теңдікпен анықталады.
(1. 13)
мұнда η - тұтқырлаудың құрылымдық коэфффициенті;
- ығысудың динамикалық кернеуі. CU жүйесіндегі есептеулерде қалыпты балшық ерітінділер үшін мұндай өлшемдерді мынадай шамада алуға болады
;
, көп болған сайын олардың ПВ-5 бойынша тұтқырлық шарты да үлкен болады.
мәндерінде қозғалыстың бұрылымдық режимі байқалады. Бұл жағдайда λ кедергі коэффициенті
жалпыланған параметрінің қолданылуымен Стокс формуласымен (1. 10) анықталады.
Турбулентті режимде кедір-бұдырлықтың әсерінің сұйықтың құрылымдық қозғалысына әсері толық зерттелмеген. Сондықтан
кезінде мақсатқа Р. И. Щищенканың шамаланған формуласын қолдану керек:
(1. 14)
Балшықты ерітінді үшін
кезінде кедергі коэффициентін тұрақты және 0, 02-тең деп алу ұсынылады.
Көптеген бұрғылауда сұйықпен жуу жағдайларында турбилентті режим бақыланады. Қарастырылған формулалармен бұрғылау бағаналары тербеліс және айналу кезінде қосымша турбулизация ағынын тудыратыны ескерілмейді. Сондықтан сумен жуу, тұзды ерітіндімен, сұйық көмірсутектермен және басқа да тамшылы ерітінділерді бұрғылау жағдайында λ гидравликалық кедергі коэффициентін анықтау үшін әрқашан А. Д. Альтшуль (1. 11) формуласымен қолдануға болады, ол тегіс құбыр жағдайында (К ш = 0) блазидс формуласына келтіріледі:
(1. 15)
полимерлі ерітінділермен, тұздалған балшықты және баспалаумен жуып бұрғылау жағдайында, яғни құрылымдық сұйықтармен - Р. И. Щищенканың (1. 14) формуласымен анықталады.
Қысым шығынының есептеу мәндерінің мүмкін болатын қатесі сорғыштың гидравликалық қуат қорымен көрінеді.
Сыңағыш жолақ бетіндегі, шланг, тығыздама, алдыңғы құбыр, бұрғылау және созылмалы құбырлардағы (УБТ) қысым шығынын біруақытта анықтау үшін мына формуланы қолдану ыңғайлы
(1. 16)
мұнда барлық өлшемдер d
1
бұрғылау құбырларының ішкі арнасына қатысты, ал
- бұрғылау құбырының эквивалентті ұзындығы, қысым шығыны УБТ алдыңғы құбыр және т. б. шығындарының қосындысына тең.
мәнін (м) формула бойынша есептеуге болады:
(1. 17)
мұнда
- УБТ ұзындығы;
- УБТ алдыңғы құбыр және т. б. ішкі диаметрі.
Бұрғылау бағаналарының қосылыстарындағы және алдыңғы құбыр, тығыздама, сыңағыш жолақ беті, УБТ үшін әрбір жағдайында мына теңдікпен анықталады
(1. 18)
мұнда ξ - орнықты кедергінің өлшемсіз коэффициенті;
n - қосылыс саны;
υ - бұрғылау құбыр арнасындағы ағын жылдамдығы, м/с.
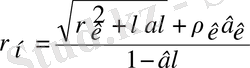
ξ мәнін Бордо-Карно формуласымен түзеткіш тәжірибелі Б. С. Филатов коэффициентімен табады:
(1. 19)
мұнда
- қосылыстардағы өткізгіш арнасының кіші диаметрі, м;
- бұрғылау құбырларының ішкі диаметрі, м;
а - 2 муфта - кілтті және 1, 5 елік қосылыстарға тең алынатын коэффициент.
Ұңғымадағы балдақ арнасындағы қысым шығыны (1. 10) - формулаға λ - ны анықтаушы формулаға сәйкес D э = D-d 2 және υ ағын жылдамдықты балдақ арнасының орта қимасының енгізілуімен анықталады. Ұңғыманың диаметрі ретінде шартты түрде коронка немесе қашаудың сыртқы диаметрі алады, орнақтың ойылған бөлігіндегі қысым шығынын есептеу кезінде бағананың ішкі диаметрі қолданылады. Жағалай орныққан ұңғыманың орнағы әсіресе әлсіз көмірсутектелген немесе борпыл таужыныстар цилиндр бетті болып келмейді және номиналдыдан қатты ерекшеленді, кеңейтілулер, орнықты тарылу, үлкен кеңістікті каверна қосылысты болып келеді. Сонымен бірге бағандарының дірілі мен айналымы, оның орнақтағы эксцентрлі жағдайы, қабырға кедір-бұдырлығының түрлілігі, шламның болуы ағындағы газдардың үлбіреуігі, жуғыш сұйықтардың балшекті шығындары немесе ұңғығама құйылуы және басқа да факторлар балдақ арнасындағы қысым шығынының есептеулерінде біршама толықтыруларды қамтиды.
Бағаналы жиынтық немесе қашаудағы қысым практикадағы мәліметтерге негізделіп есептеледі. Бағаналы жиынтыққа нүктебелгінің бар болуы, шығын және сұйық құрамына байланысты қысымның түсуі
. Мұнай мен газға бұрғылау кезінде кескіш және бытыра типті қысымның айырымы 5∙10 Па жетеді, гидромониторлы қашауларда - әрине жоғары болады.
Турбобур немесе гидросоққыштардағы р 5 қысымның түсуі оның техникалық сипаттамалары мен технологиялық құрастырулармен анықталады.
Қазіргі заманғы алмасты бұрғылау есептеуіндегі қысым шығыны әсіресе бастапқы арналарда бағананың айналым есебінсіз жүргізуге болады. Ұңғыма диаметрінің кішіреюі, жаңа тармақты қалыптағы бұрғылау құбырларының қолданылуы, ССК және КССК снарядтарының енуі ұңғымалар мен бұрғылау бағаналарының арасындағы, нүутебелгі мен бағана құбыры, екілік бағана жиынтығының күрт тарылуымен шектеледі. Бұл жағдайдағы снарядтың жоғары айналу желілігі жуғыш сұйықтың осьтік қозғалысына айналмалы қозғалыс жабдықталады. Ағын спиральды сипаттамаға ие болады: спираль бұрышы аз болған сайын, айналу жиілігі де жоғары болады. Осы кезде активті әсерлері (ішкі цилиндрлік шестердің айналуы кезінде) қысымның гидродинамикалық қысымын жоғарылататын, ал консервативті - (ішкі шестердің айналысы кезінде) оларды азайтатын центрден тепкіш күштер дамиды.
Екі жағдайдағы қысым шығынының өзгеруі ω арнасының қабырға қоршалған жылдамдығының орташа осьтік υ ағын жылдамдығының қатынасына пропорционал. Тар балдақты арнаның сұйық ағынының шығыңқы қысым шығыны 1-2 рет бұрғылау бағынасына қарағанда жоғары болады. Тар балдақты арналарда қысым шығынының эксцентриситетінің жоғарылауымен пропорционалды түрде балдақ арнасының сыртқы диаметрінің ішкі диаметрге (мысалы, d 2 /D) қатынасы төмендейді.
Жоғары жиілікті алмастан бұрғылау жағдайында жуғыш сулармен, NaCL, CaCL 2 сулы ерітінділерімен, сұйық көмірсутектер және сумайлы эмульсиялардың әсерімен центрден тепкіш күштердің тар балдақ арнасындағы ағынның қысымының гидродинамикалық шығынының жоғарылауын шамамен гидравликалық кедергілердің коэффициенті үшін И. А. Залеваловтың эмпирикалық формуласының көмегімен есептеледі:
(1. 20)
мұнда λ - (1. 11) формуламен анықталатын сұйықтың осьтік турбулентті қозғалысы кезіндегі кедергінің (шексіз) өлшеусіз коэффициенті;
υ - шығарушы ағынның орташа ағын қимасы бойынша жылдамдығы, м/с;
ω - бағананың келесі қатынаспен анықталатын баған шеңберінің жылдамдығы, м/с.
(1. 21)
Шығыс алдындағы қысым шығыны λ, коэффициентінің қолданылуымен Дарси-Вейсбах (1. 18) формуласымен анықталады. Төменгі ағында (арнаның ішкі шектерінің айналу кезінде) мұндай шығындар аз деңгейде айналу жиілігіне байланысты болады, және оларды қарапайым әдіспен анықтауға болады.
Тар балдақты арнаулардағы жоғары жиілік айналымында сұйықтың құрылымдық жағдайы қиындау болып, қысым шығынының жоғарылауы соншама, тіпті ССК снарядтарын бұрғылау кезіндегі абзалшықты ерітінділерді қолдану немесе жаңа қалыптағы диаметрі ұңғыманың диаметріне жақындайтын құбырларды қолдану рационалды емес болып табылады.
Ұңғымалардың балдақ орналасуының гидравликалық қысым шығынының көлемі ағындағы шламның бар болуы әсер етеді. Қысым шығынының өсуі шығыс ағынының массалық концентрация шламына прапорционал, ол уақыт бойынша шламның бірлікке айналу мөлшеріне оның грануламетрлік құрамына, таужыныстарының тығыздығы мен бөлшек пішіндеріне тәуелді. Арнайы кәсіпорындарда қысым шығынына әсерінің есептік әдістері келтірілген. Мұндай есеп тек жоғары механикалық жылдамдықты жұмсақ таужынысты соқпақтарды бұрғылау кезінде ғана қажет.
Ұңғымадағы тұрақты циркуляцияны құруға кеткен энергия, кез келген сығылмайтын жуғыш сұйықтардың, яғни сорғыш өткізгішінге, ұңғыма тереңдігіне тура пропорционал жоғарылайды, мысалы мұнай мен газға терең бұрғылау кезінде соқпақтардың таужынысының бұзылуына және бұрғылау бағанасының айналымының энергия шығынын көбейтеді. Сондықтан рационалды емес қысым шығындарын жою маңызды болып табылады. Сұйықтардың ағып кетуін, қосылыстардың тығыз еместігін, монтаждау кезіндегі сыңағыш жолағының беттерінің күрт бұрылуы мен тартылуын болдыртпау қажет.
Қатты қорытпалы коронкаларды шаршы қашауларды, шыңбұрғымалы бұрғылаулар кезінде муфталы - кілтті қосылыстардың берік және сенімді бұрғылау бағаналарын қолдану қажет, олар (ниппельді қосылыс бағаларына қарағанда) ішкі арналардың тартылысы болып табылады және жезбұрышты жоғарытығыздықты конусты қиындылардың уақытымен қайта өңделеді.
Бұрғылау құбырларының жаңа құрылымында ағыста жергілікті тартыластары қарастырылған, сондықтан ұңғымадағы гидравликалық қысым шығының қосындыларын 30 %-ға дейін төмендетуге болады. Рационалды емес қысым шығымымен күресу барысында Томмс эффектісін табу қолданылады, ол пластификациялы заттардың, окзия, , модификациялы крахмал, макромолекуланың (полиэксиэлитен, гуарлы шайыр және т. б. ) ұзынтармақты полимер өлшемінің құрылымдық жуғыш сұйық қосылысты ламинизация ағынымен қорытындылайды. Суға 0, 3 % полиглицериннің қосылуы қысым шығынын 15-20 % -ға төмендетеді.
Фиюидтарды сіңіру және шығару қасиеті бар шөгінді таужыныстарды бұрғылау күрделі жағдайларда ұңғыманың орнағындағы гидравликалық жағдай циркуляция және еңіс-көтеру кезінде, әсіресе егер жоғарытиксотропты балшықты және полимерлі ерітінділер қолданылса күрт өзгеруін ескеру қажет. Сол кезде ұңғыманы толтыратын сұйық қысымы бірнеше рет циркуляцияның қалыпты жағдайларында есептеулерден ерекшеленеді. Бұрғылау снарядын көтеру кезіндегі поршенді эффект су және газ пайда болуларына әкеліп соғады, ал түсу кезінде - пішіндердің гидротартылысына әкеледі. Осы және басқа да жағдайлар таужыныстардың бұзылып, құлауына, орнақтың шламдалуына және басқа да қиындықтардың тууына әсер етеді. Ұзақ қарапайымдықтарды (әсіресе тоңғыш, шөгінді тоңғыш және таль таужыныстарында) мүмкіндігінше жоғарытиксотропты ерітінділерді қолданбаған дұрыс, циркуляциялау кезінде жуғыш сұйықтықтың берілісін бірқалыпты жоғарылату керек, қауіпті жағдайларда еңістің жылдамдығы мен снарядтың түсуін төмендету керек.
Жоғарыда көрсетілгендей, бұрғылау кезіндегі жуғыш сұйықтықтың қажетті ұңғыма шламының сенімді төзімділігін қамтамасыз ететін, ұңғыма орнағының максималды қима шарты үшін анықталады, яғни бастапқы диаметрі үшін, ал қысым шығыны - шламдау кезіндегі табысты тазалау жағдайында белгілі қормен сұйықтың шығынына сай соңғы диаметр мен максималды тереңдік шарты үшін.
Сорғыш тетіктің (кВт) қуаты мына формула бойынша есептеуге болады:
(1. 12)
мұнда V - таңдалған сорғыш максималды жұмыс берілісі, м 3 /с;
p - сорғышпен дамытылатын максималды жұмыс қысымы, Па;
η - насос К. П. Д. -сы және беріліс (η = 0, 8 ÷ 0, 75)
Сорғыштардың жетекті қуаты, жұмыс қысымының және берілісінің тексеріс есептеулері нақты бұрғылау шарттары үшін, ереже бойынша ұңғыманың жобалау құрылымы негізіндегі алдын-ала таңдалған, жинаққа немесе басқа шығарылған өндірістік бұрғылау агрегатына кіретін сорғыштың жарамдылығын нақтылайды. Бірақ күрделі табиғи және ұйымды жағдайларда таңдаудың спецификалық жағдайында кездесуі мүмкін. Оңайлату үшін 12 - кестеде геолого-барлау жұмыстарында қолданылатын, сериялы өнеркәсіпте шығарылатын қазіргі заманғы жуғыш сорғыштардың қысқаша техникалық сипаттамасы келтірілген.
Қазіргі заманғы бұрғылау сорғыштары ауыспалы төлке цилиндрімен дайындалады, ол берілісті азайтқан сайын қалыпты жетекті қуат кезіндегі жұмыс қысымын жоғарылататынын ұмытпау керек.
Ұңғымаларды үрлеу кезіндегі (ауамен, газбен) қысым шығыны, сығымдағышты таңдау. Ауаның сығымдылығы (газдың) - себебі әртүрлі аумақтағы сұйыққа қарағанда тұрақты көлденең қималы арнаның қозғалыс жылдамдығы әртүрлі, олай болса қысым шығыны да түрлі. Гидростатикалық салыстырғанда аэростатикалық қысым тұрақтытығымен анықталады, діңгектің биіктігімен өзгеретін үзіліссіз газ тығыздықпен анықталады. Осы себептермен ұңғыманың циркуляциялау жүйесіндегі ауаның (газдың) қысым шығынының есептеулері күрделірек болады.
Ұңғымалардың циркуляциялы жүйесіндегі ауаның (газдың) қысым шығынын анализдеу кезіндегі қозғалыс процесін изотермиялық [21] (Т ұңғымасындағы бірнеше орташа температурада) деп есептейміз. Координата басын ұңғыманың сағасына орналастырамыз. Бернулли энергиясының дефференциалдық теңдеуін негізге аламыз, өйткені пневматикалы қозғалтқыш болмаған кезде ауа (газ) ішкі механикалық жұмысқа түспейді (тартылыс күшінің өрісіндегі жұмыс, мысалы шламның транспортирленуі жағдайдың энергия өзгерісімен байланысты, және сыртқы механикалық жұмыс болып табылмайды) . Айтылғанды есептегенде, Бернулли теңдігінде үйкеліс жұмысын Дарси-Вейсбах формуласы бойынша, шығыс дифференциалды теңдеу ретінде аламыз:
(1. 23)
мұнда ρ - абсолютті қысым, Па;
υ - арнаның орта қимасының қозғалыс жылдамдығы, м/с;
- ауаның (газдың) тығыздығы, кг/м 3 ;
- тұрақты қиманың ұңғымасының циркуляция жүйесінің аймақ ұзындығы, м;
h - нивелирлі деңгейдің жоғарылауы, м;
D э - арна қимасының эквивалентті диаметрі, м;
λ - аэродинамикалық кедергінің өлшемсіз коэффициенті.
Тек ρ қысымы мен
арна ұзындық арасындағы байланысты табу үшін нивелирлі деңгейлердің жоғарылауын
деп (β - ұңғыманың горизонтқа иілу бұрышы, градус), ал айнымалы тығыздықты
және изотермиялық процесс кезіндегі ауа (газ) қозғалыс жылдамдығын газдың тұрақты салмақ шығын жағдайындағы және қысым көмегімен келесі теңдікпен анықтаймыз:
(1. 24)
(1. 25)
мұнда R - газ тұрақтысы (меншікті) ауа үшін R = 287 Дж/(кг, 0 С) ;
T - ұңғымадағы орташа температура, 0 С;
G 0 - ауаның жалпы шығыны (газдың), кг/с;
F - арнаның қима ауданы, м 2 .
(1. 24) және (1. 25) көрсеткіштерін (1. 23) теңдігіне қоя отырып,
еске ала отырып
(1. 26)
1. 26 теңдіктегі ρ және
айнымалылары бөлінеді. Интегралданғаннан кейінгі алынған формула қысымды арна ұзындығына жіктеу үшін Б. С. Филатов қолданысындағы формула күрделі және ол эквивалентті ұзындық әдісі бойынша жергілікті кедергілерде қысым шығынын есептеуге мүмкіндік бермейді.
Біршама қарапайым және ыңғайлы формулаларда алу мақсатымен келесі қабылдауды қолданамыз. Алдын-ала қысымның аэродинамикалық шығынын қарастырамыз, ал аэростатикалық критердің әсерін кейінірек есептейміз. (1. 26) теңдіктің оң жағындағы екінші мүшені қалдырып, яғни ұңғыманы көлденең құбырөткізгішті деп уақытша қарастыра отырып, 0-ден
шегінде интегралданған соң және бастапқы ρ
н
мәнінен ρ
к
соңғы қысымына дейінгі (Па) (аймо) тұрақты көлденең қималы аймақты аламыз.
(1. 27)
мұнда
(1. 27) формула көлденең құбырөткізгіштердегі ауа қысымының шығын есебі үшін қолданылады. Енді аэростатикалық қысым әсерін сынайық. Ауаның тығыздығы (газ) аз болғандықтан және ұңғыма жетегіндегі өзгеру заңы түзусызықтан біршама ерекшеленеді, аэростатикалық қысым оның кейбір тығыздықтарымен анықталады деп есептейік. Тұрақты көлденең қималы ұңғыманың циркуляциялы жүйесінжегі кез келген есептеу аймағы үшін ауаның (газдың) орташа арифметикамен анықталады. Сонда иілмелі немесе тік ұңғыманың циркуляциясы жүйе аумағындағы кез келген төменгі бөлікті есептеудің аэростатикалық қысым (Па) үшін келесідей теңдікті аламыз:
(1. 28)
Ауаның (газдың) шығыс ағындағы аэростатикалық қысым аэродинамикаға қосылады, ал төменгісінде - одан алынады. Осы алынған мәліметтер негізінде (1. 27) және (1. 28) өрнек көмегімен түрлендірулерден кейін кез келген есептеу аймағының абсолютті қысым үшін балдақты арна ағыны үшін есептеу формуласын аламыз:
(1. 29)
- Іс жүргізу
- Автоматтандыру, Техника
- Алғашқы әскери дайындық
- Астрономия
- Ауыл шаруашылығы
- Банк ісі
- Бизнесті бағалау
- Биология
- Бухгалтерлік іс
- Валеология
- Ветеринария
- География
- Геология, Геофизика, Геодезия
- Дін
- Ет, сүт, шарап өнімдері
- Жалпы тарих
- Жер кадастрі, Жылжымайтын мүлік
- Журналистика
- Информатика
- Кеден ісі
- Маркетинг
- Математика, Геометрия
- Медицина
- Мемлекеттік басқару
- Менеджмент
- Мұнай, Газ
- Мұрағат ісі
- Мәдениеттану
- ОБЖ (Основы безопасности жизнедеятельности)
- Педагогика
- Полиграфия
- Психология
- Салық
- Саясаттану
- Сақтандыру
- Сертификаттау, стандарттау
- Социология, Демография
- Спорт
- Статистика
- Тілтану, Филология
- Тарихи тұлғалар
- Тау-кен ісі
- Транспорт
- Туризм
- Физика
- Философия
- Халықаралық қатынастар
- Химия
- Экология, Қоршаған ортаны қорғау
- Экономика
- Экономикалық география
- Электротехника
- Қазақстан тарихы
- Қаржы
- Құрылыс
- Құқық, Криминалистика
- Әдебиет
- Өнер, музыка
- Өнеркәсіп, Өндіріс
Қазақ тілінде жазылған рефераттар, курстық жұмыстар, дипломдық жұмыстар бойынша біздің қор #1 болып табылады.

Ақпарат
Қосымша
Email: info@stud.kz