Контур ішінен сулаңдыру түрлері


МАЗМҰНЫ
Кіріспе
I. Геологиялық бөлім
1. 1. Кен орны туралы жалпы мәлімет
Стратиграфия . . .
1. 3. Тектоннка . . .
- Қабаттардың коллекторлық қасиеттері. .
- Мұнай мен газдың физико-химиялық қасиеттері . . .
технологиялық бөлім
- Мұнай мен газ қабаттарында қабат қысымын ұстау
- Контурды сыртқы және ішкі суландыру . . .
- Қабат бөліктеріне газды ығыстыру . . .
- Қабат қысымын ұстау технологиясы мен техникасы
- Қабат қысымын ұстау тәсілінің негізгі жабдықтары . . .
III. Техника қауіпсіздігі және қоршағаи ортаны корғау
- Еңбекті қорғауды ұйымдастырудың түсінігі мен принциптері . . .
- Қоршаған ортаны қорғау
IV. Экономикалық бөлім
- Еңбекті ұйымдастыру . . .
- Негізгі өндірістік қорларды жабдықтау. .
- Өнім бірлігінің өзіндік құнын есептеу . . .
- Кенорынның экономикалық тиімділігі
Қорытынды
Әдебиеттер. .
Контур ішінен сулаңдыру түрлері «орталықтан суландырудын» әртүрлі нұсқалары болып табылады. Тығыз орналасқан орталық ығыстырып шыңыраулар тобы арқылы қабатқа су айдау кезінде бастапқы «суландыру ошағы» аз ауданды қамтады, ол суландыру процесін жетілдіру мен жүргіз едәуір жеңілдетеді және қарапайымдандырады, әсіресе тек кенорындарында, және де өткізгіштігі төмен қабаттарды контур сырты: суландыру кезінде жүзеге асырылады. Кейде контур ішінде шыңырау; желілік немесе айналмалы батареясына суды ығыстыруды пайдалануға болады.
Контур ішіндегі ығыстыру шыңырауларына арнайы өңделген с) айдау кезінде (процесті жұргізудің бастапқы стадиясыида мұнай ығыстыратын суға арналған шықырау түп аймағының тиімді өткізгіш едәуір артады; бұдан басқа жақсы жууға қабілетті, дебит және қысқа режимін қамтамасыз ететін, шешімін теңдеу жүйесімен анықтайтын су ағымынан туындайды.
2. 3. Қабат бөліктеріне газды ығыстыру Қабаттың көтерілген бөлігіне газды ығыстырып қысымды ұс - көбінесе еріген газ режиміне арналған жағдайларда контур суының белсенділігі, қабат қысымы мен қанығу қысымының аз айырмашылығы және табиғи газды шапкалар бар болғанда жүзеге асырылады.
Қабаттың көтерілген бөлігіне ығыстыру жолымен қысымды мақсатындағы сұрақты шеше отырып, осы шаралардың практикалық жаңа экономикалық тиімділігін бағалау қажет. Бағаналық қысым, әсіресе қабыса пайдаланудың бастапқы маусымдарында өте жоғары болуы мүмкін, және процесті практикалық жүзеге асыру үшін жоғары қысымды туғызу үшін қажетті басқа жабдықтар қажетті болады. Және де қабаттың геология, жағдайын мұқият зерттеу қажет. Сәтті ығыстыру тек өте күрделі қабаттарда (мейлінше, құлау балы 12-15° төмен емес) болуы мүмкінү Күрделі қабаттарда мұнай мен газдың гравитациялық бөлінуі қиындайды.
Мүмкіндігінше, өткізгіштігі бойынша біртекті болуы, ал мұнай тұтқырлығы аз болуы қажет. Біртекті емес қабаттарда және жарықша жыныстарда, және тектоникалық бұзылулар көп болуы қабат бойынша қозғалысын реттеу қиынға түседі.
Игерудің әртүрлі этабында қысыммен ұстау тәсілдері жақсы нәтиже береді. Бірақ та тәжірибе көрсеткендей, мұнайдан газдың едәуір мөлшері бөлінгенде ғана кеш маусымда газды айдау қажет.
Газ айдау үшін қабаттың сулы бөлігінде орналасқан шыңыраула пайдаланады. Жұмысшы агент ретінде табиғи мұнайды газды пайдаланған дұрыс, бірақ егер кәсіпшілік қажетті газ мөлшері болмаса, қабатта шапқа болмаған жағдайда қабаттың сулы бөлігіне ауаны айдауға болмаған газды шапкаға ауаны ығыстыру қажет емес, өйткені газ сапасының ең төмендеуіне әкеліп соғады.
Ығыстыру қысымы қабат қысымына қарағанда 15-200 есе болады. Бұны компрессорлы станцияны жобалаған кезде ескерген жөн.
Шыңырауға ығыстырылатын газ мөлшерін жұту қабілеітілігін арқылы бағалайды немесе шамамен есептеуге болады.
Шыңырау жағдайына байланысты 50-90 бар ығыстыру қысымында 25 мың тәулік газды қабылдайды.
Қабат қысымы құламас үшін, қабатты жағдайдағы айдалатын мөлшері қабаттан шығарылатын сұйық пен газдың жалпы көлемінен болмау керек. Бірақ та әдетте өндірілген газды қайтадан кері айдайды. жайлап кәсіпшілік қажеттілігіне шығындалады. Өндірілген газдың 75-80 кері қайтарған кезде қысымды ұстауға арналған жағдай жақсы болады деп есептеледі. Бірақ та, шығындалған қабат энергиясының толық актал; күтуге болмайды, бірақ бәрібір де қысымның құлау процесі төмендейді. Газды айдау кезімде жұмысшы қысым едәуір жоғары болады энергияны үнемдеу үшін компрессор қабылдауына жоғары қысым жинақтау желісінен газ беріледі және сығымдау компресор пайдаланады.
Газды ығыстырудың экономикалық тиімділігі суды ығыстыруға қарағанда төмен, газды қажетті қысымға дейіи сығу қабатты қысы қарағанда жоғары. Газды сығымдауға шығындалатын энергия мұнда қабат газды айдау кезіндегі гидравликалық кедергіні азайтатын жағдай тудырмайды.
Жобада Орталық Шығыс Прорва кен орнының юра және триа өнімді горизонттары үшін ығыстыру шыңырауларының саны, су, шығыны және ығыстыру қысымын анықтау қарастырылады.
1. Ығыстыру шыңырауларының саны
мұнда L - ығыстыру жонтурының жалпы ұзындығы, м, R шыңның арасындағы орташа қашықтық, м.
Ығыстыру контурының ұзындығы L белгіді болғанда, R әртүрлі мән беріп, ығыстыру шыңырауларының тиісті санын анықтап табады.
Әр шыңырауға ығыстырылатын судың шығыны мынаған: тең болады
мұнда Q - ығыстырылатын судың жалпы көлемі, м 3 /тәу.
Ығыстыру шыңырауының қабылдағыштығын алдын ала бағалау ү Дюшои формуласын пайдалануға болады:
мұнда к - суға арналған қабаттың тиімді өткізгіштігі, Д; һ -қабат
қуаттылығы, м; Ар = р М б~Рт ~~ түп аймақтағы қысымның құлауы, кгс/слғ; ығыстыру кезіндегі туп аймақтағы қысым, р т - қабат қысымы) ; шыңырау түп аймағының гидродинамикалық жетілу коэффициенті; , д - су,
тұтқырлығы, спз;
- шыңыраудың әрекетті радиусы (шыңы
арасындағы қашықтықтың жартысы), м\ r s - шыңырау радиусы, м.
Қабаттың өткізгіштігі және сұйықтың тұтқырлығы зертханалы
жағдайда керн мен қабат сұйықтарының үлгілерін талдау жолымен анықтайды.
(2. 1), (2. 2) және (23) формулаларынан шыңырау түп аймағының ығыстырудың артылған қысымын табады
; ; мүнда
Табылған А мәні бойынша, R әртүрлі мәндер беріп Ар бірқат мәндерін табады.
Шыңырау сағасындағы ығыстырылатын судың қысымы (колошғада гидравликалық кедергіні есепке алмағанда) әртүрлі мәндері үшін мынаған тең:
мұнда р т - қабатты қысым, кгс/см2; Н - ығыстыру шыңырауының орта тереңдігі, , «; р - судың салыстырмалы тығыздығы.
п, Q, Ар және р тгн мәндерімен R әртүрлі нұсқаларына кіретін, eceп нәтижелерін кестеге енгізіледі.
Мұнайлылық контурының біркелкі қозғалысы және сораптың қабыл, қысымын алу мақсатында R, п және Q орташа мәнін таңдау қажет.
Ығыстыру құбырының колоннасындағы гидравликалық кедей мәндері мына формуламен анықталады:
мұнда A - судың құбырдағы. қозғалысы кезіндегі үйкеліс коэффиценті
судың қозғалыс жылдамдығы,
м/с (Ғ
- ығыстыру құбыр аудан қимасы,
м
2
) ; d-
құбыр диаметрі,
м; g
- еркін құлауды тездету,
м/с.
Шыңырау сағасындағы ығыстыру қысымының гидравликалық
кедергісін есепке алғанда мынаған тең болады:
Қабат қысымын ұстау үшін қабатқа ығыстырылатын су мен газдың көлшері барлық өндірілетін өнімдер (мұнай, газ және су) мөлшерінен көп болуы шарт.
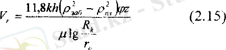
Атмосфералық жағдайда бір тәулікте өндірілген бос газдың көлемі:
Газды шапқаға немесе қабаттың сулы бөлігіне ығыстыру жолымен қабат
қысымын ұстау кезінде газдың жалпы көлемі мынаны құрайды:
мұнда V - қабат жағдайында жалпы тәуліктік өндіріліген өнім (мұнай, газ дәне су), м' ; қалған мәндер {р т , а және z) жоғарыда көрсетілген мәндерге ие
болады.
Бұл жағдайда бір ығыстыру шыңырауының қабылдағыштығы мына
формудамен анықталады:
Мұнда q>~l ашық түп аймақ бар кезінде; қалған мәндер (2. 3) q анықтау
формуласындағы мәндерге ие болады.
2, 4. Қабат қысымын ұстау технологиясы мен техникасы g Қабат қысымын ұстау үшін суды ығыстыру технологиясы мен техникасы көп жағдайда сумен қамту көздері және су сапасымен анықталады.
Мұнай қабаттарын суландыру кезінде жұмысшы агент ретінде жер бетіндегі су тоғандарының сулары (өзен, теңіз, көл), тереңдіктегі сулы горизонт, және де мұнаймен бірге жыныстан шығарылған қабат сулары пайдаланады.
Айдалатын суларға белгілі бір талаптар койылады, оның негізгілері келесідей;
Механикалық қоспалар мен темір қосылыстарының минимальды
құрамы. Бірақ та судағы қатты бөлшектер мен темірлердің орналасуы
мен құрамына жарамды бірыңғай нормалар болмайды,
Жабдықтарды коррозияға ұшырататын күкіртсутеті мен
көмірқышқылдың болмауы.
Қабат кеуектерін бітейтін тұнбаның түзілуін қалыптастырушы айдалатын және қабат суларының химиялық әрекеттесуін болдырмау.
- Органикалық қоспалардың (бактериялар менбалдырлар) болмауы.
- Мұнай қабаттарын өзеннің бастау сулары, артезианшыңыраулары мен тереңіктегі сулы горизонт көрсетілген талаптарды қанағаттандырады және қабатқа арнайы өңдеусіз ығыстыруға болады.
Бірақ та көбінесе қабатқа айдауға арналған сулар су дайындау кондырғыларында алдын ала арнайы дайындауды талап етеді. Оның мөлшеріне байланысты тазалау бойьшша операциялар әртүрлі жүргізіледі:
- коагуляция - тұнбалы мақта түзетін судагы майда түйіршіктерді ірілендіру(коагулянтретінде әдетте күкіртқышқылды алюминий(глинозем) пайдаланады) ;
- фильтрация -коагуляцияданкейін құмды сүзгілерде суды ;
- тұзсыздандыру - судағы қабатта тұнба түзетін темір қышқылдарын жою;
- жұмсарту-сутегі иондарының концентрациясын рН=7-8 жеткізу үшін қайнатылғанәкпен сілтілендіру (сутегіиондарының мұндай концентрациясында коагуляциялау өте интенсивті жүреді) ;
- хлорлау - микроорганизмдерді, бактерияларды жою;
- тұрақтандыру - химиялық құрамы бойынша оған тұрақтылық орнату және әсіресе болат құбырларды коррозияға ұшырататын судың темірмен байытылуын болдырмау.
Қабатты суландыру үшін сумен қамту сызбалары әр ауданнын жергілікті жерінің жағдайына байланысты әртүрлі болуы мүмкін, Сумен қамту сызбаларының негізгі элементтері:
> су көздерінен суды жинауға арналған су жинақтау құрылыстары, және
оны сораппен су құбырлары торабына немесе сутазалау қондырғысына
беру;
сутазалау қондырғылары (егер су тазалау қажет болса) ;
- магистральды және тарату су құбырларының тораптары
- су құбырлары торабына беруге және оны ығыстыру шыңырауларын айдауға арналған шоғырланған сорапты станциялар;
- ығыстыру шыңыраулары.
Егер суландыру ушін мұнаймен бірге шығарылған қабат су пайдаланатын болса, жоғарыда сипатталған сызбаларға су жинақта; құрылысы кірмейді. Онымен бірге әдетте су тазалау құрылысының құрамыидағы су қабылдауға арналған буферлі резервуарлар тұрғызылады.
Бірнеше нұсқаларды қарастырамыз;
Нұсқа 1. Су су жинау шыңырауынан өзі ағаш немесе су көтер; қондырғыларымен шоғырланған сорапты станцияларға беріледі, мұнда қысым қажетті мөлшерге дейін көбейеді және тарату су құбырлары жүйесі бойынша су шыңырауларға айдалады.
Нұсқа 2. (Шыңырау ішілік күштеп суды ағызу) - әр ығыстыр; шыңырауына сорапты қондырғымен жерасты суларын күштеп айдау.
Нұсқа 3. Күштен суды ағызатын жерастындағы шоғырланған сорапты станциялар.
Нұсқа 4. Өзен суларын айдау кезінде сумен қамтудың классикалы: сызбасын аз пайдалану, оған өзен су жинағыштары, сукөтеру станциялары шоғырланған сорапты станциялар, магистральды және тарату суқұбырлар кіреді. Құбыр өткізгіштердің ұзындығы суландыру объектісіндегі су жинағыштардың орналасуымен анықталады.
Нұсқа 5. Шыңырау аралық күштеп суды ағызу. Су сужинау шыңырауынан сорапты қондырғымен тікелей ығыстыру шыңырауын; беріледі, оның саны суммарлы қабылдағыштығының су жинау шыңырауынан дебитіне қатынасымен анықталады.
Жоғарыда келтірілген нұсқалардан Орталық Шығыс Прорва кенорны үшін екінші нұсқаны дайындаймыз - әр ығыстыру шыңырауына сорапты қондырғымен жерасты суларын күштеп айдау.
Қабат қысымын ұстау кезінде сапалы су кажет, яғни сапасын су жыныстардың бітелуіне әкеліп соғады.
Суда құмның қатысуы сужинау және ығыстыру шыңырауларындағы (әсіресе сорапты) жабдықтардың эрозиясын тудырады, шыңырауда құм тығындары түзіледі. Қабаттан құмның шығуы оның түп аймағының бұзылуымен байланысты және пайдалану колониасының деформациясына әкеліп соғады. Сондықтан, жабдықтардың жұмыс істеу қабілеттілігін арттыру үшін және сужинағыш шыңыраудың түп аймақтық зонасында бұзылу мен ығыстыру шыңырауларының түп аймағының ластануын болдырмас үшін құмның шығуын шектеу қажеттілігі туындайды.
Сусорапты құмайттардың гранулометриялық құрамына сәйкес және сужииау шыңырауынан шыққан құмдар көрсеткендей, оның шығуы қабаттың түп аймақ зонасының бұзылуынан жүреді.
Шыңырауды қосу кезінде құмның интенсивті шығуы қысымның жоғары градиентімен және перфорационды саңылауларда судың сүзу жылдамдығымен түсіндеріледі, және де су ағысы ережеге сай қабаттың перфорационды интервалымен жүрмейді, Сұйықтың негізгі көлемі тек 10-30%-і ғана перфорирленген қалыңдықтан түсетіні анықталтан, ол перфорационды каналдарда оның қозғалысының нақты жылдамдығын неғұрлым арттырады. Мұнда шыңырау қабырғаларында, жоғары өнімді қабаттар интервалында тасымалдау жылдамдығы артуы мүмкін, яғни жылдамдық қабат құмайттарынан шыңырауға ауысады.
Сонымен, фракциясы 0, 6-08 мм құмдарға арналған судың тасымалдау жылдамдығы 18см/с тең. Осындай және үлкен жылдамдықтарда көрсетілген әле мдегі құм бөлшектері сүзу каналдары бойынша сумен араласады: ол негізінен жыныстың фракционды құрамына және оның цементтену дәрежесіне тәуелді.
Түп аймақты зона бұзылған кезде оның өткізгіштігі артады, сондықта
қысым градиенттері бұл зонада азаяды және бұзылу тоқтатылады.
Қабаттың түп аймақтық зонасындағы шыдамдылығын сақтау үшін және оның қаңқасының бұзылуын болдырмас үшін, жыныстың ең фракцияларының (барлығының) 70-80%-і қабатта қалып және тек 20-30% (майдалары) су ағынымен шығуы тиіс.
Кейбір жағдайларда сужинау шыңырауларының түп аймағында биікті 300 м және одан жоғары құмды тығындар түзіледі, олар тек белгілі бір жағдайда ғана түзілуі мүмкін. Колонна сүзгісінің интервалында, онда құмда көтеруге су ағанының жылдамдығы жеткіліксіз болғанда, оның түп аймақ тұнуына жақсы жағдай туады. Егер бұл участокта сулы шөгінділер тығы-жақсы цементтелген жынысты болса, құмды тығындардың түзілу мүмкінді % минимумге жетеді.
Жалпы жағдайда құм тығындарының биіктігі сүзгі конструкциясын шыңырауды пайдалану режиміне, сулы шөгінділер қалындығы бойынша құмның шығу интервалының таратуына және суды көтеру техникасы байланысты болып келеді.
Сумен қамту жүйесі жұмысының тиімділігін жоғарлату жолдарының бірі әр су жинау шыңырауынан 5000м/ тәулік және одан жоғары су алу; жоғарлату болып табылады, ол қажетті мөлшерде құмның шығу қамтамасыз ететін, көтеруге арналған өте жоғары өнімділікті жабдықты пайдалануды қажет етеді.
Қабаттан құмның шығуын болдырмайтын белгілі шаралар екі топ бөлінеді механикалық және химиялық. Біріншіге арнайы сүзгіл (саңылаулы, гравийлі тығынды және т. б. ) пайдалану жатады, ол шыңырау жарылған интервалдарға қарсы орнатылады, Химиялық түп аймақты зона бос жыныстарды шайырлармен, цементті құмды қоспалармен және т. б. бекітуге негізделген. Бірінші топ тәсілдері қабаттан құмның түсуін дер кезінде өте тиімді.
4. 1. Еңбекті ұ йымдастыру Кәсіпшіліктегі еңбекті ұйымдастыруға мыналар кіреді:
- жұмыс орнын ұйымдастыру және оған қызмет ету.
- жұмыс режимі
- кадрларды бөлу
- еңбекті қорғау және техника қауіпсіздігін қамтамасыздандыру
- жұмысшылардытаңдау, дайындау және еңбек кванификациясын жоғарлату
Кәсіпорын жұмысшылардың еңбегі бригадалық жүйе бойынша ұйымдастырылған, жалақы төлеу уақыт сыйақы жүйесі бойынша жүргізіледі. Әкімшілік бөлімдердің және инженерлік техникалық жұмысшылардың еңбегі окладты жүйе бойынша жүргізіледі, жалақы төлеу штаттық кестеге сәйкес ҚР Үкіметі қаулысы бекіткен коэффиценттерді есепке алып жүргізіледі.
Кәсіпорында жалақы төлеу ҚР 1992 жылғы 20 қарашадағы қаулысына р сәйкес бірыңғай тарифті тор бойынша жүргізіледі. 1996 жылы қаңтар айынан бастап кәсіпорын инициативасы бойынша мансаптық окладтар мен тарифтік ставкалар негізінді, есептік минималды жалақыға орай кәсіпшілік кәсіпорындары бойынша 20% және бөлімдер бойынша 70% ұлғайтылды. 2005 жыды ағымында пайдадан келесі төлемдер жүргізілді:
Демалысқа материалдық төлем
• әйелдерге 3 жастагы балаларын күтуге жәрдемақы
• мерейтойлық күндерге бірмезгілдік сыйақылар.
Жұмыс атқарған жылдарға мансаптық окладтың 75% мөлшерінде қосымша төлем төленді. Кен орнында тұрақты жұмыс жасайтын жұмысшыларға тамақтануға 50% мөлшерінде аудандық көрсеткішке қарай қосымша төленді.
4. 2. Негізгі өндірістің қорларды жабдықтау Кәсіпорынды негізгі өндірістік қорлармен жабдықтау материалдық техникалық жабдықтау жүйесімен (МТЖ) жүргізіледі. Кәсіпорынның МТЖ бойынша жоспары жабдықтаушы кәсіпорындармен келісім жасауға негіз болып қызмет етеді. Келісімде жеткізілетін материалдың, техниканың және жабдықтардың атауы, сапалық және мөлшерлік сипаттамасы, жабдық түрі мен келісуші жақтардың келісім шарттарын бұзғанда материалдық жауапкершілігі көрсетіледі. Материалдық техникалық жабдықтаумен кенорын құрылымындағы тиісті бөлімдер айналысады. Ол бөлімдердің материалды ресурстарға қажеттілігін анықтайды, тапсырыс дайындайды, материалдық қорды қабылдап алып және сақтауды ұйымдастырады, кәсіпорынды керекті материалдармен үздіксіз жабдыктауды камтамасыздандырады. Кәсіпорынның негізгі материалдық техникалық құралдарына құбырлар, клапандар, штуцерлер, техникалық сыйымдылықтар және т. б. жатады. Кәіспорынды материалдық техникалық жабдықтау теміржол көлігімен және автомобиль транспортымен жүргізіледі.
4. 3. Өнім бірлігінің өзіндік құнын есептеу Кәсіптік өнімнің құны - бұл өнімді іске асыру және өндіруге кететін шығындардың қаржылық формада көрсетілуі.
Өзіндік қүн көптеген жоспарлармен тенико-экономикалық есептеулер үшін маңызды экономикалық көрсеткіш, сонымен бірге бага мөлшерін анықтаушы негізгі элементтерінің бірі болып табылады. Пайдамен рентабельділіктің мөлшерін анықтаушы өзіндік құннын денгейі кәсіпорынның өндірістік-шаруашылық іс-әрекетінің негізгі көрсеткіші болып
табылады.
Тауарлық өнімді өндіруге кететін жалпы шығындар өндіріске кететін шығындар сметасын түзумен анықталады. Өнім бірлігінің өзіндік құны
қызметтер және барлық тауарлық өнімнің құны технологиялық процесстер
кондырғылар және объектілер бойынша өзіндік құн калькуляциясын құрумен
есептеледі.
Мұнай бергіштігін жоғарлату әдістерін бағалау тәжірибесін
сараптау. Қазіргі кезде мұнай кәсіпшілігінде ұзақ мерзімге есептелген қабат бергіштіктерін жоғарлату бойынша жұмыстардың кешенді программасы қорындалуда.
Су айдау әдістерін қолдану нәтижесінде соңғы бергіштікті
игеріліп жатқан кен орындардың қойнауында мұнай қорының жартысынан көбі қалып қалуда.
Қалдық қордың ең болмаса бір бөлігін алу үлкен мәнге ие, Мұнай
бергіштігі жоғарлату әдістері (МЖӘ) өз кезегінде үлкен шығындармен, кәсіпорын іс-әрекетінің төмендеген көрсеткіштерімен байланысты болуы және енгізу бойынша жұмыстардың программасын іске асыру ресурстарда пайдалану деңгейінің қалыпты өсуін қамтамасыз ету керек. Жасалған экономикалық механизм МЖӘ-н пайдаланған кезде міндетті түрде болатын шығындарды жабу және де өндірістік және ғылыми ұйымдардың қызығушылық таныту.
МЖӘ-н дамыту және олардың экономикалық тиімділігін жоғарлату үшін игеруді қалыптастыратын шаруашылық механизмді жетілдіру және қабаттардың мұнай бергіштігін жоғарлатудың экономикалық тәсілдері енгізу маңызды мәнге ие.
Қабаттардың мұнай бергіштігін жоғарлату әдістерінің тиімділігінің маңызды көрсеткіштершің бір - мұнайдың қосымша өнімінің өзіндік құны. Бұл салада МЖӘ тиімділігін анықтауға бірігей әдістеменің жолы мәліметтерді сараптау кезінде қиыншылықтар тудыртатындығын ескерте кеткен жөн. МЖӘ экономикалық тиімділігін бағалау мұнай кен орнының ресурстарын рационалды қолданумен байланысты барлық технико экономикалық есептерді шешу үшін қажет еткен орынды игерудің техникамен технологиялық варианттарын таңдауда қойнаудан мұнайды алудың соңғы коэффициент анықтауда; және т. б. МЖӘ экономикалық тиімділігін анықтау
мұнайды жер қойнауынан толық өндіруге бағытталған жұмыстарды қалыптастыру механизмінде 1-ші дәрежелік мәнге ие.
Кез-келген кен орнының мұнай және газ қорын игеру процессін реламентациялаушы негізгі құжат, ол - игеру жобасы. Жобадағы технико-экономикалық есептеулер мұнай немвсе мұнай газ кен орнын игеру жүйесінің экономикалық негізделуімен анықталады. Мұнай кен орнының игеру жұмысының экономикалық негіздеуіне мыналар кіреді: игеру варианттары бойынша экономикалық көрсеткіштерді есептеу мұнай өндіруді пайдалану керектілері бойынша ұтымды бөлу. Сонымен бірге кен орынды игерудің жомомикалық негізделген мерзімін және қабаттың соңғы мұнай бергіштік каффициентін анқтау үлкен мәнге ие.
Соңғы мұнай бергіштік коэффициентінің мәндері бойынша ресурстарды қолдану деңгейін анықтауга болады.
4, 4. Кенорынның экономикалық тиімділігі.
Экономикалық тиімділікті есептеу кезінде алғашқы мәліметтер ретінде күнделікті және күрделі қаржы мөлшері қолданылады.
Күнделікті шығындар - өнімді өндіру кезіндегі жыл бойы жасалатын шығындар.
Кез-келген кәсіпорынды жобалау кезіндегі оның экономикалық тиімділігін жоғарлату үшін төмендегі міндеттер орындалады:
1. Іс-шараларды іске асыру үшін қажетті шығындарды және қандай
қаржыландыратыны анықталуы керек.
- Іс-шараларды іске асыру нәтижесінде қандай экономикалық тиімділік болатынын анықтау.
- Экономикалық тиімділікпен қосымша шығындарды салыстыру жолдармен бүл кәсіпорындардың экономикалық тиімділігін анықтау.
- Іс жүргізу
- Автоматтандыру, Техника
- Алғашқы әскери дайындық
- Астрономия
- Ауыл шаруашылығы
- Банк ісі
- Бизнесті бағалау
- Биология
- Бухгалтерлік іс
- Валеология
- Ветеринария
- География
- Геология, Геофизика, Геодезия
- Дін
- Ет, сүт, шарап өнімдері
- Жалпы тарих
- Жер кадастрі, Жылжымайтын мүлік
- Журналистика
- Информатика
- Кеден ісі
- Маркетинг
- Математика, Геометрия
- Медицина
- Мемлекеттік басқару
- Менеджмент
- Мұнай, Газ
- Мұрағат ісі
- Мәдениеттану
- ОБЖ (Основы безопасности жизнедеятельности)
- Педагогика
- Полиграфия
- Психология
- Салық
- Саясаттану
- Сақтандыру
- Сертификаттау, стандарттау
- Социология, Демография
- Спорт
- Статистика
- Тілтану, Филология
- Тарихи тұлғалар
- Тау-кен ісі
- Транспорт
- Туризм
- Физика
- Философия
- Халықаралық қатынастар
- Химия
- Экология, Қоршаған ортаны қорғау
- Экономика
- Экономикалық география
- Электротехника
- Қазақстан тарихы
- Қаржы
- Құрылыс
- Құқық, Криминалистика
- Әдебиет
- Өнер, музыка
- Өнеркәсіп, Өндіріс
Қазақ тілінде жазылған рефераттар, курстық жұмыстар, дипломдық жұмыстар бойынша біздің қор #1 болып табылады.

Ақпарат
Қосымша
Email: info@stud.kz