Леонтьев – тарихы, теориясы, экономика моделі


ЖОСПАР
КІРІСПЕ . . .
1. В. ЛЕОНТЬЕВ - ТАРИХЫ, ТЕОРИЯСЫ, ЭКОНОМИКА МОДЕЛІ . . .
1. 1. В. Леонтьевтің өмірі мен мамандану мансабының негізгі бағыттары . . .
1. 2. Модельдің негізгі артықшылықтары мен кемшіліктері . . .
1. 3ЛЕОНТЬЕВТІҢ «ШЫҒЫНДАР-ШЫҒАРУ» МОДЕЛІНІҢ МАТЕМАТИКАЛЫҚ НЕГІЗІ . . .
1. 4. Модельдің анықтамасы . . .
1. 5. Лоентьев моделінің өнімділігі . . .
Модельдің маңызды салдары . . .
1. 6. Модельдің қысқаша теориялық сипаттамасы . . .
1. 7. «ШЫҒЫНДАР-ШЫҒАРУ» моделінде адекватсыздықты есептеу . . .
ҚОРЫТЫНДЫ . . .
ПАЙДАЛАНЫЛҒАН ӘДЕБИЕТТЕР ТІЗІМІ . . .
КІРІСПЕ
Өнімді өндіру мен бөлудің салааралық балансы - өнеркәсіптік салалардың кешендік байланыстарын есепке алатын қоғамдық өнідіріс құрылымын жоспарлау және анализдеу құралы. Салааралық баланс жалпы қоғамдық өнімді салалық деңгейде пайда болуы және құрылу процесін сипаттайды. Сонымен қатар салааралық баланс халық шаруашылығында бөлек өнім түрлелірінің қолданылуы мен ресурстардың пайда болу көздерін сипаттайтын жеке баланстарды бірегей жүйеге синтездейді.
Салааралық баланстың математикалық моделін американ экономисті В. Леонтьев жасап шығарған. Кейін ол әлемнің көптеген елдерінде, оның ішінде АҚШ пен КСРО-да кеңінен қолданған.
Өзара байланыстылық қағидасының тарихы едәуір жоғары болып келеді, оның негізін 18 ғасырдағы француз физиократы Франсуа Кенэ өзінің «Экономикалық кестесінде» салған. Ол экономиканың әртүрлі секторлары арасында тауарлар мен ақша қозғалысын көрсеткісі келген. Кенэ басты рольді ауыл шаруашылығына бөлген, өйткені тек ауыл шаруашылық саласы қоғам табысын құрады. Бұған ұқсас құрылымды Карл Маркс та жасап шығарған, бірақ басты назар ауыл шаруашылығына емес, өнеркәсіпке берілген. Маркс схемасында экономика екі бөлімшеден тұрады: өндіріс құралдарын өндіру және тұтыну құралдарын өндіру.
Өзара байланыстылық қағидасын алғаш нақты теоретикалық жағынан негіздеген - Леон Вальрас. Оның моделінде нарыққа түсетін тауарлардың бағасы мен санын анықтауға мүмкіндік беретін пайдалылық функциясы, сұраныс, ұсыныс функциялары, өндіріс коэффициенттері бар. Алайда Вальрас жүйесі таза теоретикалық сипатқа ие болған. Ол оның тәжірибелік қолдануына сенбеген, өйткені статистикалық мәліметтер қол жеткізімді болатындығын білмеген. Парето мен Бароне тепе-теңдік теориясын іс жүзінде қолдануға болатындығына сенбеген. Тек 1930-жылдары Абрахам Вальд бұл шешімнің бар екендігін дәлелдеген. Вальд дәлелдегендей, Вальрас теориясында тек бір ғана тепе-теңдік сызығы бар. Парето құрылуларының мазмұны едәуір жоғары болды, өйткені ол техникалық коэффициенттерді қолдануды қолға алды. Ал Хикс пен Самуэльсон жүйе параметрлердің өзгерісіне жауап қайтаруын күткен. Вальрас теориясының тағы да бір қиындығы - әр тауар мен фактордың теңдеуі болғандықтан, масштабы кіші экономика үшін мыңдаған теңдеулер шешу қажет болды.
«Шығындар-шығару» моделінің маңыздылығы ерекше зор болып келеді. 1939 жылдан 1947 жылға дейін экономика соғысқа қарай және соғыстан кейін жалпы жұмысбастылық салалар бойынша қалайша өзгеретіндігін болжау үшін қолданылған. Еңбек статистикасы бюросы жасаған жұмыстан кейінгі 10 жылдан кейін Леонтьев моделі капиталистік және социалистік әлем елдерінің ұлттық шоттар жүйелерінің құрамдас бөліктеріне енген. Бірақ оның тиімді қолдануы жалпы елдердің саясаттарына байланысты болды.
- ВАСИЛИЙ ЛЕОНТЬЕВ - ТАРИХЫ, ТЕОРИЯСЫ, ЭКОНОМИКА МОДЕЛІВ. Леоньевтің өмірі мен мамандану мансабының негізгі бағыты
Американ экономисті Василий Леонтьев Санкт-Петербургте дүниеге келген. 1921 ж. Ленинград университетіне түсіп, бастапқыда философия мен социологияны, кейін экономикалық ғылымдарды зерттеген. Университетті 1925 ж. бітіргеннен соң, Берлин университетінде өз білімін әрі қарай жетілдірген. 1928 ж. студент бола тұра, Киль университетінің кіші ғылыми қызметшісі ретінде өзінің мансабын бастаған. 22 жасында ол философия ғылымының докторы атағын иеленген. Келесі жылды ол Қытайдың темір жол министрлігінде экономикалық ақылшы ретінде өткізген. 1931 ж. АҚШ-қа эмиграциялап, Экономикалық зерттеулер бойынша Ұлттық бюроға қызметке орналасқан. 1932 ж. Эстелл Хелен Маркс ақынға үйленген. Олардың жалғыз қызы Светлана Алперс Берклидегі Калифорния университетінде өнер тарихы профессоры атағына ие болған. 1946 ж. Леонтьев Гарвард университетінде толық профессор болып, екі жылдан кейін Гарвардтық экономикалық-зерттеу проектісінің - «шығындар-шығару» әдісі бойынша анализдеу орталығының негізін қалап, 1973 ж. дейін осы жобаны басқарған. 1975 ж. ол Нью-Йорк университетінің Экономикалық анализ институтының директоры мен экономика профессорының лауазымына ие болған.
1936 ж. «шығындар-шығару» әдісіне арналған алғашқы мақаласынан бастап, Леонтьевтің ғылыми еңбектері жоғары аналитикалық қатаңдық пен экономикалық мәселелерге жоғары белсенділікпен ерекшелеген /1, 21 б. /.
- Модельдің негізгі артықшылықтары мен кемшіліктері
Салааралық баланс моделінің келесідей артықшылықтары бар:
Бастапқы ақпараттық салыстырмалы аз көлемі және оны негіздеу кезінде нақты қиындықтардың жоқтығы. Оған статикалық модель жағдайында тікелей шығындар коэффициенттері мен түпкілікті өнім шығарылымы немесе түпкілікті тұтыну жатады. Бұл қиындықтар макроэкономикалық жоспарлау мен болжау модельдерін құрған кезде туындайды. Есептік баланс үшін бұл ақпарат сәйкес статистикалық есеп берулер негізінде анықталады. Болжамдық салааралық баланстарды құру кезінде белгіленген көрсеткіштердің болжамдары негізделуі керек, мысалы регрессия теңдеуі мен болжамның басқа әдістері арқылы.
Бастапқы ақпарат: тікелей шығындар коэффициенттері мен түпкілікті өнім көлемі белгіленген кезде, салааралық баланс теңдеулер жүйесін шешу кезінде нақты қиындықтар туындамайды.
Қарастырылатын өнімнің барлық түрлері бойынша олардың өндірісінің шығындары балансталған жалпы өнім жоспары анықталады
Баланстық теңдеулер жүйесін құру және анализдеу экономиканы реттеу және сәйкес макроэкономикалық пропорцияларды сақтауға бағытталады. Жеке капитал өзінің кез-келген өмір сүру нысанында өзі әрекет ететін нарықтар бөлігін ғана зерттеуге мүдделі. Ол экономиканың даму тенденцияларын зерттеуге мүдделі болады, бірақ макроэкономикалық пропорцияларды сақтауға шығындалмайды, оған қаражаты да жетпейді.
Алайда салааралық баланстың статикалық моделінде келесідей кемшіліктері бар:
Салааралық баланс теңдеулер жүйесін шешу кезінде модельде ескерілмейтін қайта өндірілмейтін ресурстар түрлеріне шектеулер ескерілмейді. Осыдан кейін қажетті ресурстармен қамтамасыз етілмеген жалпы өнімнің нақты емес жоспарын алу жағдайы пайда болуы мүмкін.
Параметрлердің бір бөлігі (алдымен салааралық баланс моделінің теңдеулер жүйесін шешу үшін түпкілікті өнім көлемдері) бұл модельден тыс анықталады. Оларды анықтау жалпы өнімді шығарудың балансталған жоспарын анықтау сияқты қиындықтар туғызады.
Инвестициялар белгілі қалу лагымен материалды капиталға ауысатыны ескерілмейді.
Салааралық баланс моделі бір кезеңге бағытталған, сондықтан осы период шегіндегі өндіріс технологиясының өзгеруін ескермейді.
Аталған кемшіліктердің кейбіреулері салааралық баланстың динамикалық моделінде шешіледі /2/.
- ЛЕОНТЬЕВТІҢ «ШЫҒЫНДАР - ШЫҒАРУ» МОДЕЛІНІҢ МАТЕМТАТИКАЛЫҚ НЕГІЗІМодельдің анықтамасы
Әр сала үшін a ij (1) технологиялық коэффициенттерін қою арқылы келесі баланстық қатынасты аламыз
(1)
Технологиялық матрица арқылы
Бұл теңдеулер жүйесін векторлы түрде жазуға болады:
(2)
А- тұрақты технологиялық матрица, с = (c 1 , . . . , c n ) - сұраныстың белгілі векторы, ал x = (x 1 , . . . , x n ) - шығарудың белгісіз векторы болатын (2) теңдеуі Леонтьев моделі деп аталады. Ax өрнегін шығындар ретінде ала отыра, бұл жүйені «Шығындар-шығару» моделі деп атайды.
Леонтьев моделі келесі сұраққа жауап беруі керек: берілген технология жағдайында түпкілікті сұранысты қанағаттандыру мүмкін бе? Бұл сұраққа жауап келесі жүйенің x 1 , . . . , x n айнымалыларына қатысты шешімінің бар болуына байланысты болады:
Леонтьев моделінің барлық элеметтері, оның ішінде x 1 айнымалылары да теріс емес көрсеткіштер болып табылады. Сондықтан жүйенің теріс емес шешімдері бар болуын қарастырамыз.
2. 2. Леонтьев моделінің өнімділігі
Анықтама 1. Егер (2) жүйесінің x 1 ≥ 0, i = 1, . . . , n теріс емес шешімі болса, онда Леонтьев моделі өнімді деп аталады.
(2) жүйесін
. Сонда
немесе
(4)
мұндағы Е- n*m бірлік матрицасы. Осыдан (2) жүйесінің теріс емес шешімінің болуы (E - A) -1 , яғни (E - A) матрицасына кері матрицаның бар болуымен түсіндіріледі.
Егер B = ║bij║ матрицасының BB -1 = B -1 B = E шарттарымен анықталған В -1 кері матрицасы бар болса, ол матрица анықталмаған болып табылады. Егер │В│≠ 0, мұндағы │В│ - В матрицасының детерминанты (анықтауышы) болса, онда В матрицасы анықталмаған болып табылады. В матрицасының барлық минорлары оң болса, онда B -1 кері матрицасы бар және теріс емес болады (Хокинс-Саймон шарты) :
Осы анықталмағандық пен бар болудың шарттарын (Е - А) матрицасына қолдану үшін қосымша бірқатар өрнектерді қарастырамыз.
(2) жүйесі келесі жалпы жүйенің жеке жағдайы болып табылады (ρ=1)
(5)
мұндағы ρ- const . Келесі (5) теңдеуімен байланысты жүйені қарастырамыз
(6)
мұндағы D - n*n- матрицасы, келесі элементтері бар
(7)
Егер барлық
i, j
үшін
a
ij
≥ 0,
онда (5) жүйесін (6) жүйесіне,
, мұндағы
σ
ij
- Кронекер символы, айналдыруға болады. Кері жағдайда, (6) жүйесі (5) жүйесіне айналуы мүмкін. Бұл үшін жеткілікті үлкен
ρ> d
ii
(i = 1, . . . , n) оң санын алу керек те,
салу керек. Осыдан
, мұндағы
a
ij
≥0.
Егер (6) жүйесінің кері емес шешімінің бар болуының шартын табу арқылы, (5) жүйесінен шығатын ρ=1 жағдайында Леонтьев моделінің өнімділігін дәлелдейміз.
Теорема 1. Егер (6) теріс емес шешімі бар болса (яғни ол өнімді болады), элементтері (7) және D жүйесінің матрицасы (6) теріс емес қайтарымды болып табылады. (D квадрат матрицасы теріс емес қайтарымды болып табылады, егер ол анықталмаған және және оның кері D -1 матрицасы теріс емес болса) .
Теорема 2 . Матрица Хокинс-Саймон шартын қанағаттандырса, яғни оның басты минорлары оң болған жағдайда, (6) теңдеуі өнімді болып табылады.
Жоғарыда көрсетілген анықтамаларға сәйкес, Леонтьев моделінің (2) өнімділігінің қажетті және жеткілікті шарты келесідей болады: (E-A) теріс емес қайтарымды матрица болуы қажет, яғни (E-A) матрицасы анықталмаған (E-A≠0) (E-A) -1 кері матрицасы теріс болмауы керек.
Егер осы шарттар орындалатын болса, х ізделімді шығару векторы (4) формуласымен анықталады. (E-A)
-1
матрицасы
с
түпкілікті тұтыну векторы қалайша қажетті
х
жалпы шығарым векторына қайта саналатыны жайында ақпарат береді.
және
бойынша Леонтьев моделінің сызықты түрінде болуынан x векторының
өсімшесі және с векторының
өсімшесі өзара
теңдеуімен байланыстылығы шығады. Яғни
матрицасы түпкілікті тұтынудың өзгеруімен байланысты жалпы шығарылымның өзгеруін есептеуге мүмкіндік береді. Сондықтан
матрицасын әдетте
матрицалық мультипликатор
деп атайды
.
матрицасының элементін
(α ij арқылы белгілейміз) бір өнімнің бір бірлігін шығару үшін қажет басқа өнімнің саны ретінде көрсетуге болады.
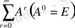
матрицасын матрицалардың дәрежелік қатары ретінде көрсетуге болады:
мұндағы
т. с. с.
матрицасының (апроксимациясын) есептеу ақырсыз дәрежелік қатардың сәйкес келуімен байланысты болады
Егер (E-A) матрицасы теріс емес қайтарымды болса, онда (8) қатары сәйкес келеді, яғни (8) сомасы ақырлы және
тең болады.
Жоғарыда айтылғандарды қорытындылай келе, Леонтьевтің өнімді моделі үшін х жалпы шығарылым векторы матрицалық қатар болатындығын айта аламыз:
- Іс жүргізу
- Автоматтандыру, Техника
- Алғашқы әскери дайындық
- Астрономия
- Ауыл шаруашылығы
- Банк ісі
- Бизнесті бағалау
- Биология
- Бухгалтерлік іс
- Валеология
- Ветеринария
- География
- Геология, Геофизика, Геодезия
- Дін
- Ет, сүт, шарап өнімдері
- Жалпы тарих
- Жер кадастрі, Жылжымайтын мүлік
- Журналистика
- Информатика
- Кеден ісі
- Маркетинг
- Математика, Геометрия
- Медицина
- Мемлекеттік басқару
- Менеджмент
- Мұнай, Газ
- Мұрағат ісі
- Мәдениеттану
- ОБЖ (Основы безопасности жизнедеятельности)
- Педагогика
- Полиграфия
- Психология
- Салық
- Саясаттану
- Сақтандыру
- Сертификаттау, стандарттау
- Социология, Демография
- Спорт
- Статистика
- Тілтану, Филология
- Тарихи тұлғалар
- Тау-кен ісі
- Транспорт
- Туризм
- Физика
- Философия
- Халықаралық қатынастар
- Химия
- Экология, Қоршаған ортаны қорғау
- Экономика
- Экономикалық география
- Электротехника
- Қазақстан тарихы
- Қаржы
- Құрылыс
- Құқық, Криминалистика
- Әдебиет
- Өнер, музыка
- Өнеркәсіп, Өндіріс
Қазақ тілінде жазылған рефераттар, курстық жұмыстар, дипломдық жұмыстар бойынша біздің қор #1 болып табылады.

Ақпарат
Қосымша
Email: info@stud.kz