Лекциялардың қысқаша конспектілер


Валюта бағамдары
Валюта айырбастау операциялары - шетел валютасын айырбастау, сату, сатып алу операциялары негізінде жүргізіледі.
БТА Банкінің валюта айырбастау операциялары - бұл ұлттық валютаны шетел валютасына қолма-қол және қолма-қолсыз айырбастау немесе керісінше әрекетте жүзеге асырылатын жедел және тиімді шешімдер.
БТА-ның акша айырбастау пунктері арқылы жүргізілетін айырбастау операцияларының ерекшеліктері:
Шетел валютасын сату және сатып алуда тиімді бағамдар;
Төленбейтін шетел валютасын сатып алу;
Тозығы жеткен шетел валюталарын инкассоға қабылдау (USD и EURO) ;
Эмиссиялық шетел валютасымен жұмыс істеу;
Қомақты соманы иелену мүмкіндігі;
Айырбасталатын валютаның сомасын шектемей анықтама-сертификат беру;
Арнайы бағам бойынша валютаны жоспарлы мәміле бойынша иелену. Яғни, Сіз алдын-ала белгілі сомадағы валютаға тапсырыс бересіз (мин. 20 000 АҚШ доллары немесе өзге валюта баламасында) және арнайы бағада сатып аласыз немесе сатасыз.
Шетел валютасының қолдан жасалмағандығын тексеру.
БТА Банкі ақша айырбастау операциялары - бұл өте ыңғайлы шешім, Сіз ұлттық және шетел валютасында кез-келген операцияларды жүзеге асыра аласыз.
БТА Банкі көптеген жылдар бойы ақша айырбастау операциялары рыногында үздік қызмет көрсетіп келе жатқандардың бірі. Жеке және заңды тұлғаларға осы бағытта қызметтің кең ауқымды түрін ұсынады.
Тиімді баға белгіленімдерімен валюта айырбастау операцияларын жүзеге асырып, Сіздерге валюта бағамы рыногындағы бағамның ауытқуына назар аудармауыңызға мүмкіндік жасайды.
4. Лекциялардың қысқаша конспектілер
Жиынтық сұраныс
1 тақырып. Макроэкономика пәні. Ұлттық шоттар жүйесі
Лекция мақсаты: Макроэкономикалық теорияның негізгі принциптермен модельдеу жағдайларың қарастыру
Негізгі терминдер: экономикалық модель, модельдеу, экономикалық белсенділік, шығындар, кірістер, ұлттық шоттар, макроэкономикалық теңдістік.
Лекция негіздері:
- Макроэкономикалық теорияның басты сұрақтары
- Экономикалық теориялар мен модельдер
- Экономикалық белсеңділіктің нәтижелерін өлшеу
- Ұлттық шоттар жүйесінің басқа көрсеткіштері
- Шығындар және кірістердің ауыспалы айналымы
- Негізгі шығындар компонентері, негізгі макроэкономикалық теңдестік
Лекциянын конспекті
Макроэкономика ғылым ретінде экономикалық құбылыстар мен үрдістерді экономикалық теориялар мен үлгілер түрінде жүйелеп қорытуға арналған. Мұнда экономика біртұтас жүйе ретінде қарастырыла отырып, тауарлар өндірісі мен қызмет көрсетудің жалпы көлемін және оның өсуін, инфляция қарқыны мен жұмыссыздық деңгейін, валюталардың айырбас бағамдары мен төлем балансының жағдайын зерттейді. Сондай-ақ макраэкономика өндіріс көлемінің, жұмысбастылықтың, тауар және ақша нарықтарындағы тепе-теңдіктің ұзақ мерзімдегі өзгерістерімен қатар, экономикалық айнымалылардың қысқа мерзімді тербелістерін зерттейді.
Макроэкономика Ұлы депрессия кезеңінде ғылым болып қалыптасты. Яғни, ол ағылшын экономисі Джон М. Кейнстің зерттеулерімен және оның 1936 жылы жарық көрген «жұмысбастылық, пайыз және ақшаның жалпы теориясы» атты кітабымен байланысты. Сондай-ақ, Кейнс макраэкономикалық анализдерді енгізді.
Әдетте экономика өзара әрекеттесетін төрт сектордан құрылады: үй шаруашылықтары, фирмлар, мемлекет және сыртқы сектор.
Макроэкономикада экономиканы біртұтас жүйе ретінде сипаттайтын агрегатталған көрсеткіштер қолданылады: жалпы ішкі өнім, бағалар деңгейі, инфляция қарқыны, жұмыссыздық деңгейі, нарықтық пайыз мөлшерлемесі және басқа көрсеткіштер.
Макроэкономикалық моделдер мен айнымалылар
Көбінесе экономикалық теориялар моделдер түрінде түсіндіріледі. Макроэкономикалық модель дегеніміз - экономикалық құбылыстар мен процесстердің жеңілдетілген абстрактылы көрінісі, ол экономикалық айнымалылардың арасындағы өзара байланыстар мен арақатынастарды анықтайды. Әрбір модель белгілі бір мақсатта құрылады: экономикалық құбылысты түсіндіру, экономикалық заңдылықтарды зерделеу, жоспарлау және болжау. Модельдер логикалық, графиктік және алгебралық түрде құрылуы мүмкін. Макроэкономикалық модельде экзогенді (сыртқы) және эндогенді (ішкі) айнымалылар ажыратылады.
Ұлттық шоттар жүйесі және оның негізгі көрсеткіштері
Кез-келген елде ұлттық шоттар экономикалақ жиынтық өндіріс көлемін өлшеу үшін құрылған. Экономикалық ұлттық шоттар жүйесі жеке фирмадағы бухгалтерлік есепке сәйкес келеді.
Ұлттық шоттар жүйесіне кіретін көрсеткіштер өндіріс көлемін белгілі уақыт мезетінде өлшеуге және экономикалық қызмет етуін анықтайтын факторларды ашуға көмектеседі.
Ұлттық шоттар жүйесі беретін ақпарат экономикалық қызмет етуді жақсартуға бағытталған мемлекеттік саясатты құру мен жүзеге асырудың негізі болып табылады. Ұлттық шоттар жүйесінің негізгі көрсеткіші болып жалпы ұлттық өнім табылады. Яғни ел ішіндегі барлық субьекттердің экономикалық қызметінің жиынтық нәтижелерінін өлшеу үшін ЖҰӨ немесе ЖІӨ көрсеткіштері қолданылады.
Жалпы ішкі өнім (ЖІӨ) дегеніміз белгілі уақыт аралығында (жыл, тоқсан) елдің территориясында өндірілген барлық түпкілікті тауарлар мен қызметтердің құны.
Ал жалпы ұлттық өнім (ЖҰӨ) осы елдің тұрғындары иемденетін өндіріс факторларын пайдалану арқылы алынған барлық түпкілікті тауарлар мен қызметтердің құнын көрсетеді.
Мысалы, Қазақстан территориясында шетелдік компания шығарған мұнайдың құны еліміздің ЖІӨ есептеліп, оның ЖҰӨ ескерілмейді.
ЖҰӨ = ЖІӨ + шетелден түсетін таза факторлық табыстар
Жабық экономикада ЖҰӨ мен ЖІӨ теңеседі. Әрі қарай біз осы екі шаманың біреуін қана қарастырамыз.
Жалпы ішкі өнімді өлшеудің үш тәсілі белгілі:
1) Шығыстар бойынша;
2) Кірістер бойынша;
3) Қосылған құн тәсілі.
Атаулы және нақты айнымалылар. Өсу қарқыны және индекстер
Атаулы ЖІӨ өзгеруі өндіріс көлемінің немесе бағалардың өзгеруімен түсіндірілуі мүмкін. Жалпы бағалар деңгейінің өзгеруі инфляция деп аталады.
Атаулы ЖҰӨ ағымдағы жылдың бағаларымен өлшенеді, ал нақты ЖҰӨ - базалық жылдың бағаларымен. Бұл ЖІӨ үшін де орынды.
ЖҰӨ дефляторы = Атаулы ЖҰӨ / Нақты ЖҰӨ
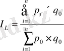
ЖҰӨ дефляторымен қатар бағалар деңгейін сипаттайтын басқа да индекс бар. Ол тұтыну бағаларының индексі. Біріншісі Пааше индексі, ал екіншісі Ласпейрес индексі деп аталады. Егер (x 1 , x 2 , …, x m ) - тұтынушылық қоржын деп аталатын тұтынушылық тауарлардың тұрақты жинағы болсын десек, онда:
Тұтыну бағаларының индексі (CPI) = Ағымдағы жылдың тұтынушылық қоржынының құны / Базалық жылдың тұтынушылық қоржынының құны
ЖҰӨ дефляторы мен тұтыну бағаларының индексін жалпы бағалар деңгейін сипаттауында олардың арасында айырмашылықтар бар. Пааше индексін есептеу формуласы:
,
мұндағы,
- фғымдағы жылдың өндіріс көлемі,
- базалық жылдың өндіріс көлемі.
Пааше индексі ЖҰӨ-нің дефляторына сәйкес келеді және ол өзгермелі тауарлар мен қызметтер жинағы үшін есептеледі. Ал өзгермейтін тауар жиынын есептейтін Ласпейрес индексі болып табылады. Ол тұтыну бағалар индексіне сәйкес келеді. ТБИ (CPI) - экономикадағы жалпы бағалар деңгейін сипаттайтын көрсеткіш.
ТБИ = Ағымдағы жылдың тұтынушылық қоржынының құны /
базалық жылдағы тұтынушылық қоржынының құны.
Тұтыну қоржыны деп белгілі бір тұтыну тауарлары мен қызметтердің жинағын айтады. Ласпейрес индексін есептеу формуласы:
,
мұндағы,
және
-
і
игілігінің бағалары (0 - базистік, ал t- ағымдағы),
- базистік жылдағы
і
игілігінің көлемі.
Сонымен қатар Фишер индексі бар. Ол жоғарыдағы индекстердің кемшілігін жою үшін қолданылады:
.
Бұл индекстер тұрмыс құнын өлшеу үшін арналған, яғни белгілі бір тұрмыс деңгейін ұстап тұру үшін қажетті шығындар болып табылады. Әр түрлі тауарлар бағасы әр түрлі өлшемге өзгергенде Ласпейрес индексі тұрмыс құнының өсуін, Пааше индексіне қарағанда нақтырақ көрсетеді. Ласпейрес индексі белгілі бір тауар жиынын есептеу үшін қолданылады, мұнда қымбат тауарларды арзан тұратын тауарлармен алмастыру мүмкіндігі ескерілмейді. Ал, Пааше индексі керісінше. Бірақ Пааше индексінде әл-ауқаттың төмендеу деңгейі көрсетілмейді.
Экономикалық өсу ЖІӨ бір жыл аралығындағы салыстырмалы өзгеруі түрінде өлшенеді.
ЖІӨ өсу қарқыны = (ЖІӨ - ЖІӨ -1 ) / ЖІӨ -1,
мұндағы ЖІӨ - ағымдағы жылға, ал ЖІӨ -1 - өткен жылға қатысты.
ЖІӨ өсу қарқынын әдетте пайыз түрінде көрсетеді. Қазақстанда 90-шы жылдары өндірістің құлдырауы болған, ал 2000 жылдан бастап ЖІӨ елеулі өсуі байқалады, жылына орташа есеппен алғанда 10 пайызға жуық.
Жұмыссыздық кезіндегі негізгі өндіріс фактор - жұмыс күшінің толық қолданылмауын немесе тиімсіз қолданылуын білдіреді. Халықты үш топқа бөлуге болады:
- жұмыспен қамылғандар;
- жұмыссыздар;
- жұмыс күшіне енбегендер.
Егер адам жұмысқа шығуды күтсе, жұмыстан уақытша босатылған болса немесе жұмыс іздеумен айналысса, ол жұмыссыз адам болып саналады. Адам жұмыспен қамтылған деп есептеледі, егер оның үй шаруашылығында жұмыс істегенін ескермегенде, ол өткен аптаның басым бөлігінде жұмыс істесе. Үй шаруасымен айналысатын әйел адамдар, студенттер, зейнеткерлер және жұмыс іздеуді тоқтатқан адамдар жұмыс күші құрамына енбейді. Жұмыс күшін жұмыс істейтін және жұмыссыздар ғана құрайды.
Жұмыссыздық деңгейі = Жұмыссыздар саны / Жұмыс күші саны
Қазақстанда 2006 жылы ресми жұмыссыздық деңгейі 8, 1 пайызды құрады, ол экономикалық белсеңді халық санынан 653, 8 мың адам.
Тақырып бойынша сұрақтар:
1. Макроэкономика пәні экономикалық саланың қандай заңдылықтар мен бөлшектерің зерттейді?
2. Ұлттық шоттарға не жатады?
3. Макроэкономикадағы негізгі шығындар мен кірістер түрлерін атап шығыныздар.
Негізгі әдебиет: (13-66 б. /1/)
2 тақырып. Жиынтық сұраныс және жиынтық ұсыныс
Лекция мақсаты: Жиынтық сұраныс пен жиынтық ұсыныстын құрылымың, факторларың, қалыптасу заңдылықтарын көрсету.
Негізгі терминдер: жиынтық сұраныс, жиынтық ұсыныс, модельдер, баға факторлары, тепе-теңдік.
Лекция негіздері:
- Жабық экономикадағы жиынтық сұраныстың құрылымы
- Сұраныстың бағадан тыс факторлары
- Жиынтық ұсыныс және кейнсиандық модель
- Ұзақ мерзімді және қысқа мерзімді макроэкономикалық тепе-теңдік
Жиынтық сұраныс
Жиынтық сұраныс - бұл тауарлар мен қызметтер көлемі, яғни үй шаруашылықтарының, фирманың, үкіметтің кез келген баға деңгейінде сатып алуға дайын нақты ұлттық өнім көлемі. Демек, сатып алушының сұранысы - өндірілген өнім көлемі мен бағаның жалпы деңгейінің арасындағы тәуелділік.
Біз жиынтық сұранысты ақшаның сандық теориясының базасында қарапайым теңдеуді құра аламыз:
MV =PY,
мұндағы: М - ақша ұсынысы;
V - ақша айналымының жылдамдығы;
P - баға деңгейі;
Y - өндірілген өнім және көрсетілген қызмет саны.
Ақша ұсынысының бұл теңдеуі өндірістің атаулы көлемін анықтайды, ал ол өз кезегінде баға деңгейіне және өндірілген өнім санына тәуелді:
М / Р = ( М / Р) = kY,
мұндағы k = 1/V.
Бұл теңдеу нақты ақша ұсынысы М/Р=(М/Р) сұранысқа, ал сұраныс өндірілген өнім көлеміне пропорционалды екенін көрсетеді.
Жиынтық ұсыныс
Жиынтық ұсыныс - бұл әрбір мүмкін болатын баға деңгейіндегі нақты ұлттық өнім көлемі. Яғни, фирмалар мен үй шаруашылықтарының таңдаған жиынтық өнім көлемінің экономикадағы қалыптасқан бағалар мен жалақы құрылымына тәуелділігін көрсетеді. Ол баға деңгейі мен нақты ұлттық өнім көлемінің арасындағы тікелей тәуелділік көрсетеді. Жиынтық ұсыныс AS қисығымен сипатталады. AS қисығы бір бірлік өнімге шығынның өзгеруін көрсетеді, демек, нақты ұлттық өнім көлемі бағасының жоғарылауы немесе төмендеуі. AS қисығы үш бөліктен тұрады: 1 - кейнстің шектік жағдайы; 2 - кейнстің қалыпты жағдайы; 3 - классикалық жағдай.
Жиынтық сұраныс пен жиынтық ұсыныстың тепе-теңдігі
Жиынтық сұраныс пен жиынтық ұсыныс қисықтарын бір диаграммада орналастырып AD-AS графиктік моделін шығаруға болады. Мұндағы қалыптасатын үш жағдай жиынтық ұсыныстың классикалық, кейнстің қалыпты және кейнстің шектік тәсілдемелеріне сәйкес келеді.
Классикалық жағдайда AD қисығының оңға-жоғары жылжуы қалыптасқан бағалар деңгейінде артық сұранысты тудырады. Сонан кейінгі бағалар деңгейінің өсуі w/P нақты жалақының төмендеуіне әкеліп соғады, нәтижесінде еңбекке сұраныс оның ұсынысынан артып кетеді. Жалақы икемді болғандықтан, оның өсуі арқасында еңбек нарығында тепе-теңдік жылдам қалпына келеді. Демек, жаңа тепе-теңдік жағдай жоғарылаған бағалар деңгейі шартында AS тік сызығы мен AD жаңа қисығының қиылысуымен анықталады
Кейнстің жағдайында, атаулы жалақы икемсіз болғанда, жиынтық сұраныстың артуымен бірге бағалардың өсуі байқалады. Тіркелген атаулы жалақы w шартында нақты жалақы w/P төмендейді. Тым төмен жалақы фирмаларға көбірек жұмысшыларды жалдауға, нәтижесінде шығарылымды ұлғайтуға мүмкіндік береді. Сондықтан экономикада бағалар деңгейінің де, шығарылымның да өсуі байқалады
Жиынтық ұсыныстағы күрт өзгерістер
Жиынтық ұсыныстың кенет өзгеруі жиынтық ұсыныстың сілкіністері (шоктары) деп аталады. Шоктар жағымды және жағымсыз болады. Жиынтық сұраныс жағынан және жиынтық ұсыныс жағынан болатын шоктар - экономикалық тербелістердің себептері. Ұсыныс жағынан болатын шоктар - бұл тауар өндірісін тоқтату салдарынан фирмалардың бағаны орнатуын қозғайтын экономикалық жағдайлардың күрт өзгеруі. Ұсыныс жағынан болатын шоктар баға деңгейіне тікелей әсер ететіндіктен, кейде оларды баға шоктары деп те атайды. Олар жаңалық ашу, мұнайға әлемдік бағалардың кенет өзгеруі арқасында пайда болуы мүмкін.
Қысқа мерзімді және ұзақ мерзімді кезеңдегі жиынтық сұраныс пен жиынтық ұсыныс
Классикалық жағдай ұзақ мерзімді кезеңге, ал кейнстің жағдайы қысқа мерзімді кезеңге сәйкес келеді.
А нүктесі - экономикадағы толық жұмыстылық кезіндегі тепе-теңдік нүктесі болсын Жиынтық сұраныс азайғанда AD 1 қисығы AD 2 қисығына дейін жылжиды. Нәтижесінде өндіріс құлдырайды да, шығарылым Y 0 -ден Y’ дейін азаяды, ал жұмыссыздық өседі. Аздап бағалар деңгейі P 0 -ден P’ дейін төмендейді. Диаграммада экономика В нүктесіне ауысады.
Өндіріс көлемі азайғандықтан атаулы жалақының w төмендеуі орын алады. Оның себебі амалсыз демалыстар, қысқартылған жұмыс күндерінің пайда болуы, сыйақының жойылуы. Бірақ атаулы жалақы кідіріп төмендейді.
W атаулы жалақы төмендеген сайын, w/P нақты жалақы да азаяды. Фирмаларға көбірек жұмысшылар жалдауға тиімдірек болады, жиынтық ұсыныс артады да, AS қисығы оңға жылжиды. Шығарылым бастапқы Ү 0 деңгейіне оралғанға дейін бұл тенденция сақталады. Жиынтық ұсыныс қисығы AS 1 -ден AS 2 жағдайына ауысады. Экономика А→В→С жолынан өтеді.
Сонымен, ұзақ мерзімді кезеңде тұрақты шығарылым шартында бағалар деңгейінің төмендеуі орын алады.
Тақырып бойынша сұрақтар:
1. Жиынтық сұранысқа қандай негізгі компоненталар жатады?
2. Ұлттық экономикада жиынтық ұсынысты кім білдіреді?
3. Кейнсиандық моделі жиынтық ұсыныстың маңыздылығын қалай анықтайды?
Негізгі әдебиет: (72-125 б. /1/)
3 тақырып. Өндіріс факторлары. Еңбек нарығындағы тепе-теңдік.
Лекция мақсаты: Еңбек нарығындағы тепе-теңдіктің қалыптасу және қуралдардың орналасу жағдайларың көрсету.
Негізгі терминдер: еңбек нарығы, тепе-теңдік, өндіріс функциясы, өндіріс факторлар, икемділік, жалақы, жалақының икемсізділігі.
Лекция негіздері
- Өндіріс факторлары. Өндірістік функция.
- Нақты жалақы және капиталдың нақты бағасы.
- Ұлттық табысты өндіріс факторлары бойынша үлестіру.
- Еңбек нарығы. Еңбекке сұраныс.
- Жиынтық ұсыныстың классикалық тәсілі. Икемді жалақы.
- Жиынтық ұсыныс қисығын құру.
- Жиынтық ұсыныстың кейнсиандық тәсілі. Икемсіз жалақы.
- Жабық экономикада қысқа және ұзақ мерзімді кезеңдер үшін жиынтық сұраныс пен жиынтық ұсыныстың тепе-теңдігі.
Тақырып бойынша сұрақтар:
- Жиынтық ұсыныстың кейнсиандық тәсілі. Икемсіз жалақы.
- Жиынтық ұсыныс қисығын құру, оған әсер етуші факторларды атап шығыңыздар.
- Жиынтық сұраныс пен жиынтық ұсыныстың тепе-теңдігі қалай қалыптасады?
Негізгі әдебиет: (306-319, 324-331 б. /4/)
4 тақырып. Игіліктер нарығы
Лекция мақсаты: Игіліктер нарығындағы тепе-тендіктің қалыптасу жағдайларын анықтау.
Негізгі терминдер: еңбек нарығы, тепе-теңдік, инвестициялық функциясы, пайыз мөлшерлемесі, бюджет-салық саясаты.
Лекция негіздері
- Тұтыну функциясы, тұтынуға шектік бейімділік
- Пайыз мөлшерлемесі және инвестициялық функция
- Мемлекеттік шығыстардың құрылымы
- Жабық экономикадағы макроэкономикалық тепе-теңдік
- IS қисығы. Бюджет-салық саясатын талдау
Игіліктер нарығындағы макроэкономикалық тепе-теңдік
Тауарлар мен қызметтер нарығындағы байланысты түсіну үшін игіліктер нарығындағы макроэкономикалық тепе-теңдікті қарастыру қажет. Оны IS қисығы арқылы көрсетуге болады. Ол тауарлар мен қызметтер нарығында пайда болатын пайыздық мөлшерлеме мен табыс көлемі арасындағы байланысты көрсетеді.
Жоспарланған шығындар - үй шаруашылықтары, фирма мен мемлекеттің тауарлар мен қызметтерге жаратуға жоспарлаған шығындар сомасы. Нақты шығындардың жоспарланған шығындардан айырмашылығы - фирмалардың қорларға жоспарланбаған инвестицияларды салуға міндеттілігі. Яғни, фирмалардың төменгі немесе жоғарғы сату деңгейіне байланысты өздерінің тауарлық-материалдық қорлар деңгейін көтеруі немесе төмендетуі болып табылады.
Экономика жабық және таза экспорт нөлге тең деп алайық, сонда Е жоспарланған шығыстарды, С тұтыну, I жоспарланған инвестиция мен G мемлекеттік шығыстардың сомасы деп қарастыруға болады:
E = C + I + G.
C=C(Y-T) бұл тұтыну қолдағы табысқа байланысты. Сонымен қатар жоспарланған инвестиция деңгейі тұрақтандырылған (
=
), мемлекеттік шығыстар көлемі мен салықтар да тұрақты:
,
. :
.
Осы теңдеуден жоспарланған шығыстар Е табыс Y функциясы болып табылады.
E = Y.
Жоспарланған шығыстар табыс көлеміне байланысты. Себебі табыстың жоғары болуы тұтынудың жоғарлануына әкеледі. сызықтың иілуі тұтынуға шекті бейімділікті (MPC) көрсетеді.
Нақты шығыстар = жоспарланған шығыстар,
Y = E.
Осы жағдайда экономика тепе-теңдікте болады. Осы теңдеу макроэкономикалық тепе-теңдік шарты. Бұл тепе-теңдік сақталмаған жағдайда игіліктерді кем өндіру немесе артық өндіру арқасында экономикада инфляция немесе өндірістің құлдырауы немесе жұмыссыздық пайда болуы мүмкін.
Арнайы кейнстік теория жағдайында инвестициялар І тіркелген шама болып саналады. Мұндай жағдай орын алуы мүмкін, егер Орталық банк пайыз мөлшерлемесін өзгеріссіз ұстап қалса. Сондықтан, E=C(Y-T) +I+G жоспарланатын шығыстар графигінің көлбеуі де MPC тең (3. 2 Сурет) .
E=C+I+G жоспарланатын шығыстар сызығы C=C(Y-T) тұтынушылық шығыстар сызығының (I+G) шамасына жоғарыға параллель түрде жылжуы арқылы шығарылады.
Кейнс кресі
Қандай жағдайда экономика тепе-теңдікке қол жеткізеді? Көптеген фирмалар үшін тепе-теңдікке қол жеткізуде қор басты орын алады.
Жоспарланатын шығыстар сызығы
Мемлекеттік шығыстар мультипликаторы
. Ол
G
мемлекеттік шығыстар немесе
I
инвестицияларды бір бірлікке арттырғандағы
Y
e
тепе-теңдік табыс деңгейінің қаншаға ұлғаятынын көрсетеді.
G↑→E↑→Y↑
Салықтық мультипликатор
,
Т
салықтарды бір бірлікке арттырғандағы
Y
e
тепе-теңдік табыс деңгейінің қаншаға азаятынын көрсетеді.
∆T↓→ (Y-T) ↑→ C↑→ E↑→ Y↑
IS қисығы
Пайыз мөлшерлемесі өскенде табыстың қалай өзгеретінін анықтау үшін біз инвестиция функциясы мен «Кейнс кресі» графигін қолдана аламыз. Пайыз мөлшерлемесі өзгермелі деп алайық.
. Сурет. А.
r 1 → r 2 дейін пайыз мөлшерлемесінің өсуі жоспарланған инвестицияларды I(r 1 ) → I(r 2 ) дейін азайтады.
Сурет. В.
Кейнс кресі бейнеленген. I(r 1 ) → I(r 2 ) дейін жоспарланған инвестицияның азаюы табысты Y 1 → Y 2 дейін қысқартады.
. Сурет. С.
IS қисығы бейнеленген. Ол пайыз мөлшерлемесі мен табыс арасындағы қарым-қатынасты анықтайды: пайыз мөлшерлемесі өскен сайын табыс деңгейі төмендей береді.
Бюджет-салық саясатының IS қисығын жылжытуы
IS қисығының әрбір нүктесі берілген пайыздық мөлшерлеме кезінде табыстың деңгейін көрсетеді. Кейнс кресі моделінен байқағанымыздай табыс деңгейі бюджет-салық саясатымен де тығыз байланысты G мен T тұрақты деп алсақ, бюджет-салық саясатының өзгеруі IS қисығын жылжытады.
. Мемлекеттік шығындардың өсуінің IS қисығын
оңға жылжытуы
Суретте мемлекеттік шығындардың G 1 →G 2 дейін өсуі IS қисығын қалай өзгертетінін көру үшін кейнс кресі бейнеленген. Кейнс кресі бюджет саясатының өзгеруі жоспарланған шығындарды өзгертетінін көрсетеді. Ол табыс деңгейін Y 1 → Y 2 дейін өсіреді. Сол себептен мемлекеттік шығындардың өсуі IS қисығын оңға жылжытады. Бұл суретте бейнеленген.
Салықтардың азаюы, мемлекеттік шығындардың өсуі табысты өсіреді, ол IS қисығын оңға жылжытады. Салықтардың өсуі, мемлекеттік шығындардың азаюы табысты азайтып, IS қисығын солға қарай жылжытады.
1. T↓ немесе G↑ → E↑ → Y↑ → IS↑
2. T↑ немесе G↓ → E↓ → Y↓ → IS↓
Тауарлар мен қызметтерге сұранысты өсіретін бюджет-салық саясатының өзгерісі IS қисығын оңға жылжытады. Ал сұранысты кемітетін бюджет-салық саясатының өзгерісі IS қисығын солға жылжытады.
Тақырып бойынша сұрақтар:
... жалғасы- Іс жүргізу
- Автоматтандыру, Техника
- Алғашқы әскери дайындық
- Астрономия
- Ауыл шаруашылығы
- Банк ісі
- Бизнесті бағалау
- Биология
- Бухгалтерлік іс
- Валеология
- Ветеринария
- География
- Геология, Геофизика, Геодезия
- Дін
- Ет, сүт, шарап өнімдері
- Жалпы тарих
- Жер кадастрі, Жылжымайтын мүлік
- Журналистика
- Информатика
- Кеден ісі
- Маркетинг
- Математика, Геометрия
- Медицина
- Мемлекеттік басқару
- Менеджмент
- Мұнай, Газ
- Мұрағат ісі
- Мәдениеттану
- ОБЖ (Основы безопасности жизнедеятельности)
- Педагогика
- Полиграфия
- Психология
- Салық
- Саясаттану
- Сақтандыру
- Сертификаттау, стандарттау
- Социология, Демография
- Спорт
- Статистика
- Тілтану, Филология
- Тарихи тұлғалар
- Тау-кен ісі
- Транспорт
- Туризм
- Физика
- Философия
- Халықаралық қатынастар
- Химия
- Экология, Қоршаған ортаны қорғау
- Экономика
- Экономикалық география
- Электротехника
- Қазақстан тарихы
- Қаржы
- Құрылыс
- Құқық, Криминалистика
- Әдебиет
- Өнер, музыка
- Өнеркәсіп, Өндіріс
Қазақ тілінде жазылған рефераттар, курстық жұмыстар, дипломдық жұмыстар бойынша біздің қор #1 болып табылады.

Ақпарат
Қосымша
Email: info@stud.kz