Коммерциялық банктердегі несие саясатына талдау жүргізу (АҚ «БТА» банк тәжірибесінде)


МАЗМҰНЫ
КІРІСПЕ . . . 3
1 НЕСИЕЛІК САЯСАТ КОММЕРЦИЯЛЫҚ БАНКТІҢ СТРАТЕГИЯЛЫҚ МАҚСАТТАРЫНА ЖЕТУДІҢ НЕГІЗГІ ҚҰРАЛЫ
РЕТІНДЕ
1. 1 Коммерциялық банктердің несие саясатының негіздері …… . . . 4
1. 2 Қарыз алушының несиелік қабілетін бағалау . . . 15
1. 3 Несиелік қабілетті және тәуекелді бағалаудағы шетел тәжірибесі . . . 22
2 КОММЕРЦИЯЛЫҚ БАНКТЕРДЕГІ НЕСИЕ САЯСАТЫНА ТАЛДАУ ЖҮРГІЗУ (АҚ «БТА» Банк ТӘЖІРИБЕСІНДЕ)
2. 1 Екінші деңгейлі банктердің несиелік саясатын талдау және негізгі көрсеткіштерін бағалау . . . 29
2. 2 АҚ «БТА» Банкінің несие саясаты және негізгі көрсеткіштерін талдау . . . 40
2. 3 Несиелік мониторинг, банктің несиелік портфелінің сапасын бақылаудың әдісі ретінде және проблемалық несиелермен жұмыс жасау . . . 45
3 КОММЕРЦИЯЛЫҚ БАНКТЕРДЕГІ НЕСИЕ САЯСАТЫН ЖЕТІЛДІРУ ЖОЛДАРЫ . . . 55
Қорытынды . . . 64
Пайдаланған әдебиеттер тізімі . . . 66
Кіріспе
Коммерциялық банктердің банктік жүйенің екінші деңгейін білдіреді. Олар банктік ресурстарды шоғырландыра отырып, заңды және жеке тұлғалармен кең көлемде банктік операциялар мен қаржылық қызметтерді жүзеге асырады.
Қазақстан Республикасында 2009-ші жылдың 1 қаңтарындағы мәліметтер бойынша 37 екінші деңгейлі банктер, 380 филиалдары бар, олардың ішіндегі 35 банк Алматы қаласында орналасқан. [1]
Қазақстан Республикасының қаржы нарығындағы ең бір дамыған саласы болып банк секторы саналады. Қазіргі кезеңде экономикамыздың өсіп дамуында банк жүйесінің маңызы зор. Ал коммерциялык банк табысының 3/1 бөлігіне дейінгі үлесін несиелеу операциялары алып келеді. Сондықтан да жекелеген банктердің несие саясатын қарастыру, оның құрылымын талдау мен нарық жағдайына бейімделу икемділігін талдау өте маңызды.
Өткен жылғы АҚШ-тың ипотекалық нарығында басталған дағдарыс Қазақстанның банк секторына, сонымен бірге жалпы экономикамызға өз әсерін тигізбей қоймады. [2, 6]
Қарастырылып отырған тақырыптың өзектілігі - банк секторындағы 2007-ші жылдың тамызында басталған дағдарыс әсерін талдау, одан шығу жолдарын іздеу, банктердің активтерінің сапасын және өтімдлігін қалпына келтіру мүмкіндіктерін талдау болып отыр. Банктердің несие саясатының дағдарысқа бейімделуін талдау, біздің талдау пәніміз болып табылады.
Осы дипломдық жұмыстың мақсаттары - коммерциялық банктің несие саясатының мәні мен мазмұнын ашу, оның банк қызметіндегі рөлін айқындау және жалпы несие саясатын жетілдіру жолдарын талдау.
Аталған мақсатқа жету келесідей міндеттерді орындауды талап етеді:
• Коммерциялық банктің несие саясатының құрылымы мен мағынасын нақтылау, ашып көрсету;
• Жекелеген банктің несие саясатын қарастыру;
• Коммерциялық банктің несие саясатының концептуалдық моделін негіздеу;
• Жалпы банк секторының дүниежүзілік нарықпен байланысын анықтау;
• Қазақстан нарығының жалпы дүниежүзілік нарықтың бір бөлігі екендігін айқындау.
Дипломдық жұмыстың зерттеу объектісі - коммерциялық банктер, оның ішінде АҚ «БТА» банк - болып табылады.
Дипломдық жұмысты жазу кезінде заңдық актілер, номативтік материалдар, статистикалық мәліметтер, банк пен кәсіпорын есептері, отан және шетел авторларының жұмыстары пайдаланылды.
1 НЕСИЕЛІК САЯСАТ КОММЕРЦИЯЛЫҚ БАНКТІҢ СТРАТЕГИЯЛЫҚ МАҚСАТТАРЫНА ЖЕТУДІҢ НЕГІЗГІ ҚҰРАЛЫ
РЕТІНДЕ.
1. 1 КОММЕРЦИЯЛЫҚ БАНКТЕРДІҢ НЕСИЕ САЯСАТЫНЫҢ НЕГІЗДЕРІ
Несиелік саясат банктің несиелік қызметінің міндеттерін, оларды іске асыру құралдары мен әдістерін, сондай-ақ несиелік процесті ұымдастыру принциптері мен тәртібін белгілейді. Несиелік саясат несиелік механизм көмегімен жүзеге асырылады.
Несиелік саясат - банктің несиелік жұмысын ұйымдастыру негізін және несиелеу процесіне қажетті құжаттар жүйесін жасау шарттары.
Кең мағынасында, несиелік саясатты несие беруші банк пен қарыз алушылар тұрғысынан қарастыруға болады.
Тар мағынасындағы, несиелік саясат - бұл несиелік процесті ұйымдастыру барысындағы банктің стратегися мен тактикасын сипаттайды.
Несиелік саясат банктің несиелік жұмысын, оның жалпы стратегияларына сай ұйымдастыру негізін және несиелеу процесін қалыптастыруға қажетті құжаттар жүйесін (ұйымдастыру) жасау шарттарын білдіреді.
Жалпы несиелік саясат мынадай сипатта болуға тиіс:
- нұсқаулық емес, яғни директивті нұсқауларды қамтиды;
- несиелеудің мақсаттарын нақты және мағыналы анықтауға мүмкіндік береді;
- нақты мақсаттарды іске асырудың бірнеше ережелерін қамтиды;
- оны іске асыруды қамтамасыз ететін стандарттар мен нұсқаулықтарды қамтитын құжаттардан тұарды.
Несиелік саясат банктің стратегиясын, оның тәуекелді басқару облысындағы саясаттарын ескере отырып жасалады.
Несиелік саясат несиелік қызметтің мынадай негізгі бағыттарын анықтауға мүмкіндік береді:
● несиенің берілуіне және несиелік портфельді басқаруға жауап беретін
банк қызметкерлері жетекшілікке алатын объективтік стандарттар мен
критерийлерін;
● несиелеу облысындағы стратегиялық шешімдер қабылдайтын
тұлғалардың басты іс-әрекеттерін;
● сыртқы аудит қызметтерінің жұмысын және банктегі несиелік қызметтің
сапалылығын;
● ішкі бақылау қағидаларын.
Несиелік саясат банктің қызметін диверсификациялаудағы іс-әрекеттердің тізбектелуін қамтамасыз ету үшін және несиелік қызметкерлердің лауазымды міндеттерін анықтау үшін қажет. Несиелік саясатты іске асырудың белгілі бір тәртібі болмайынша несиелеудің біртұтас ережелерін тәжірибеге енгізу мүмкін емес. Сондықтан да, жазбаша түрде жазылған несиелік саясат пен оны іске асырудың соған сәйкес ережелері несиелік процесті жүргізудің негізін құрайды.
Несиелік саясат, банк қызметкерлерінің бүгінгі таңда несиелеуге болатын экономика секторын дұрыс таңдай білуіне, сондай-ақ, несие беру мүмкіндігі туралы сұрақты шешуде банк үшін бірінші реттік маңызы бар басқа факторлар мен қарыз алушының несиелік қабілетіне қарап «өз клиентін» таңдаудағы біліктілігіне негізделеді. Сондай-ақ, несиелік саясат банктің бүгінгі иелігіндегі немесе ертең енгізуді дұрыс санайтын несиелік өнімдерін анықталады. Мысалға, кәсіпорындарға қысқа мерзімді несиелер (айналым қаражаттарын толықтыруға) және ұзақ мерзімді инвестициялық несиелер (өндірісті кеңейтуге, жаңартуға, техникалық жағынан қайта қаруландыруға, ғылыми-техникалық инновацияларды енгізуге) берген қолайлы.
Несиелік саясатттың маңызды элементі банктегі бақылауды ұйымдастыру болып табылады (потенциалды қарыз алушыны несиелеу мүмкіндігі туралы сұрақты шешу барысында несиелік стандартты дұрыс қолдануға бақылау жасау; жекелеген несиелік қызметкерлердің құзыретін сақтауға бақылау жасау; банктің несиелік портфелінің жағдайына және оның ішінде несиелерге қойылатын жалпы бақылау) .
Ішкі несие саясатын жасау банк жетекшілерінің несиелеу мақсатын қалыптастыруды және бұл мақсаттардың банктің жалпы міндеттері мен стратегиялық мақсаттарымен қаншалықты сәйкес келетінін анықтауды талап етеді. Несиелеу мақсаттары анықталған соң, соның негізінде банк қызметкерлерінің қажетті несиелік саясатын және оған қоса несиелеу стандарты мен несиелік нұсқаулықтары жасалады.
Несиелік стандарттар мен нұсқалықтарды жасаудың бастапқы кезеңі аяқталуына байланысты, бұл құжаттардың бірінші редакциясы тәжірибелі қызметкерлерге сараптауға берілуі тиіс. Сараптаушылардың талдауы және ұсыныстары енгізілгеннен кейін, несиелік саясат бойынша комитет (немесе директорлар кеңесі, несиелік комитет) саясатты және соған сәйкес нұсқаулықтарды бекітеді.
Несиелік саясат несиелеу лимиттерін, тәртібін, кейде несиелеу бойынша жекелеген ережелерді де қамтиды. Мысалы, несиелік саясатта бір қарыз алушыға келетін лимиті анықталады. Сонымен қатар, несиелік саясатта барлық несиелердің несиелік құжаттарда көзделген мақсаттарға сай берілуі де қарастырылуы мүмкін.
Несиелік саясатта несиелік комитет туралы ереже де қамтылады. Несиелік комитет несие беру барысында қорытынды жасап, несиені беруге байланысты мәселелерді қамтиды.
Отандық банктер тәжірибесіндегі несиелік комитеттің шешетін мәселелері мынадай:
- несие алуға берген клинеттің өтінішін және несиелік қызметкердің несие беру туралы қорытындысын қарайды;
- несие беру немесе одан бас тарту туралы шешім шығарады;
- несиелік тәуекелдерге байланысты несиелеу формаларын анықтайды;
- несие сомасы мен мерзімін анықтап, пайыз мөлшерлемесін бекітеді;
- несиені қайтаруды қамтамасыз ету тәсілдеріне талаптар белгілейді;
- несиелеу шартын бекітеді (несиелік лимит, несиелік желі) ;
- берілген несиелерге мониторинг жүргізу тәртібін бекітеді;
- банктің несиелік стратегиясын жасайды;
- несиелеу бойынша бөлімшелердің жұмысын талдайды;
- несиелік комитеттің мәжілісінің хаттамаларына қол қояды және хаттамаларды тіркеу кітабын жүргізеді.
Несиелік саясатпен банк қызметкерлерін таныстыру, оларды соған сай келетін ережелер мен нұсқаулықтарға үйрету, банкте несиелік саясатты енгізудің негізгі элементі болып табылады.
Несиелік саясат несиелік қызметтің басты бағыттарын анықтайды. Оларды, өз кезегінде, несиелік саясаттың қабылдаған бағыттарын іске асыру жүйесі ретінде тұжырымдауға болады. Несиелік саясатта мынадай элементтер көрсетілуге тиіс:
● несиелік қызметті ұйымдастыру;
● несиелік портфельді басқару;
● несиелеуге бақылау жасау;
● құзіретті бөлу принциптері;
● несиелеуді таңдаудың жалпы критерийлері;
● несиелеудің жекелеген бағыттары бойынша шектулер;
● несиелермен жасалатын ағымдық жұмыстардың принциптері;
● несиелер бойынша зиян шегу жағдайларына резерв жасау.
Іс жүзінде несиелік саясатты іске асыру тәсілдері мен әдістерін белгілі бір формада, яғни соған сай келетін мынадай үш құжат түрінде көруге болады:
- несиелеу саясаты;
- несиелеу стандарты;
- несиелеу нұсқаулықтары.
Сондай-ақ аталған үш құжат ерекше бір құжатта - «Несиелік саясат бойынша жетекшілік ету» біріктіріледі.
Несиелеу саясатында несиелеуді жүзеге асыратын бөлімшелер жұмыскерлерінің қызметтерін нақтылайтын несиелік нұсқаулықтар мен несиелеу стдандарты, несиелеудің жалпы бағыттары мен бағдарлары анықталады.
Несиелеу стандарты - бұл банкте несиелік қызметі жүзеге асыратын барлық қызметкерлердің жетекшілікке алатын құжаты.
Несиелеу стандартында мынадай сұрақтар қарастырылады:
● қарыз алушының қаржылық ақпараттарын жинау және талдау тәртібі;
● несиенің кепілхаттар және кепілдемелермен қамтамасыз етілуіне
қойылатын талаптар;
● әкімшілік стандарттар және несиелік процесті ұйымдастыру ережелері;
● қарыз алушының несиелік қабілетін талдау тәртібі;
● құжаттардың толтырылуына қойылатын талаптар;
● несиелеудің айрықша түрлері бойынша ережелер (мысалға, ипотекалық
немесе тұтыну несиелері бойынша) .
Барлық банктер бойынша құжаттар үлгілері жатуға тиіс. Ондай құжаттарға: несиелік келісімшарт, кепіл туралы шарт, кепілдеме туралы шарт және тағы басқа жатады.
Несиелік нұсқаулық несиелеу процедураларын іске асырудың жалпы алгоритімін бекітетін кезектіліктің қадамдарын суреттеуді білдіреді.
Басқаша айтқанда, ол несиелік қызметтің нақты бір бағыттарына жатады.
Жалпы, несиелік саясатта қарыз алушы туралы қажетті ақпараттар жинау және несиелік қабілетіне талдаудан бастап, несиелік талдау және аудит, несиелері бойынша мүмкін болар зиян процесін қамтитын несиелік процестің барлық кезеңдері көрсетіледі.
Несиелік саясат мынадай қызметтерді атқарады:
● банктегі несиелеу процесін ұымдастыруға бақылау жасауға негіз ретінде
болу;
● несиелеуді жүзеге асыратын бөлімдердің қызметкерлері үшін анықтама
материал және нұсқаулық ретінде болу;
● несиелік бөлімдердің жетекшілері үшін несиелік нұсқаулықтардың
талаптарының орындалуына бақылау жасау құралы;
● несиелік талдау және аудит бөлімі жұмыскерлерінің тексеруді жүзеге
асыруына негіз болатын талаптарды анықтау.
Коммерциялық банктің несиелік саясатын іске асыру процесінде проблемалық несиелермен жасалатын жұмысқа ерекше көңіл бөлініп және қосымша бақылау жасалуға тиіс.
Несиелеуді ұйымдастыру принциптері
Несиелеу принциптері несиенің мәнін және қызметтерін, сондай-ақ несиелік қатынастарды ұйымдастыру облысындағы объективті экономикалық заңдардың талаптарын бейнелейді.
Несиелеу принциптері негізінде несиелік процесс, яғни банктік несиелердің берілуі, пайдалануы және қайтарылуы жүзеге асырылады. Несиелеу принциптеріне байланысты банктік несиелердің берілуінің басты шарттары: несиенің мақсаты және мерзімі, олардың қаражаттар айналымы шеңберінде қатынасу нәтижелілігі және т. б. анықталады.
Қазіргі несиелік қатынастарды ұйымдастыру принциптері екі топқа бөлінеді:
I топқа - жалпы экономикалық тәртіптегі принциптер:
● несиенің мақсаттылығы;
● несиенің дифференциалдығы.
II топқа - несиенің мәнін бейнелейтін принциптері:
● несиенің мерзімділігі;
● несиенің қайтарымдылығы;
● несиенің төлемділігі;
● несиенің қамтамсыз етіліуі.
Қазіргі несиенің дифференциялдық принциптерінің мазмұны өзгерген десе болады. Біріншіден, ол мерзімділік принциптерімен байланысады, яғни несие уақытында қайтара алатын шаруашылық органдарын беріледі. Сондықтан да несиелеудің дифференциялануы, тек несиелік қабілетті сипттайтын көрсеткіштер негізінде ғана жүзеге асырылады. Екіншіден, бұл принцип несиелік келісім жасалғанға дейін және банктер несиелік ресурстарға деген сұранысын оқып-үйрену барысында потенциалды қарыз алушылардың несиелік қабілетін және сұралып отырған несиенің қамтамасыз етілу сипатын және олардың банк үшін пайдалылығын, сондай-ақ қаражаттардың жұмсалу ұзақтығын жетекшілікке ала отырып, бастапқы несиені орналастырғанға дейін іске қосылады. Үшіншіден, несиелік қабілеттігіне байланысты несиелеудің дифференциялануы, оның өткен жүйедегі вариантымен салыстырғанда қаталдау болып табылады.
Мерзімділік - белгілі экономикалық категория ретіндегі мәніне негізделген несиенің ерекше бір белгісі. Ол, яғни несие берушінің қарыз алушыға берілген қаражаты белгілі бір уақыт ішінде келісілген тәртіпке сай қайтарылуы тистілігімен қортындыланады. Осыдан келіп, неисенің қайтарымдылық принципі туындайды.
Несиенің қайтарымдылығы оның экономикалық категория ретніде басқа да тауарлы-ақшалай қатынастардың экономикалық категорияларынан ажыратылатын ерекшелігімен сипатталады. Қайтарылмайтын несие болмайды. Сондықтан да, қайтарымдылық несиенің ажырамас бөлігі болып табылады.
Шарушылықтың нарықтық қатынастарға өтуіне байланысты несиелеудің бұл принциптеріне ерекше мән берілген. Біріншіден, оның сақталуына байланысты ұдайы өндрісіте ақшалай қаражаттермен бірқалыпты қамтамасыз етілуі тәуелді. Екіншіден, бұл принципті сақтау коммерциялық банктердің өтімділігін қамтамасыз ету үшін қажет. Олардың жұмысын ұйымдастыру принициптері тартылатын несиелік ресурстардың қайтарымсыз жұмсалымдарға салынуына жол бермейді. Үшіншіден, әр жекелеген қарыз алушы үшін бұл принциптің сақталуы банктен жаңа несие алуға мүмкіндік береді.
Несиенің төлемділігі - бұл несие беруші қарыз алушыға берілетін қаражатты қайтару барысында бастапқы сомадан өсіп қайтарылатындығын білдіреді. Іс жүзінде ақылық несиені пайдаланғаны үшін төленетін сыйақы (пайыз) түрінде беріледі.
Несиеге қойылатын сыйақы мөлшерлемесін несиенің бағасы деп те атайды. Еркін реттелетін нарық жүйесі тұсында несие үшін сыйақы мөлшерлемесі несиеге деген сұраныс пен ұсыныс негізінде қалыптасады.
Қазіргі банктердің несие үшін сыйақы мөлшерлемесін белгілеуде ескеретін басты факторына мыналар жатады:
● Орталық Банктің коммерциялық банктерге беретін несиелері
(мүдделендіру) бойынша белгіленген сыйақысының базалық
мөлшерлемесі;
● банкаралық несие бойынша орташа сыйақы мөлшерлемесі;
● өз клиенттеріне депозиттік шоттар бойынша төлейтін орташа сыйақы
мөлшері;
● банктің несиелік ресурстарының құрылымы тартылған (қаражаттар үлесі
қаншалықты жоғарғы болса, несие бағасы соғұрлым қымбат болуға тиіс) ;
● несиеге деген сұраныс (сұраныс аз болса, несие бағасы да арзан болады) ;
● несиенің сұралатын мерзімі мен түрі, нақтырақ айтсақ, банк үшін оның
қамтамасыз етілуіне байланысты тәуекел дәрежесі;
● еліміздегі ақша айналысының тұрақтылығы (инфляция қарқыны жоғары
болса, соған сәйкес несие үшін төленетін сыйақы да жоғары болуға тиіс,
себебі, инфляция жағдайындағы ақшаның құнсыздануынан банктің
ресурсын жоғалту тәуекелі артады) .
Сонымен қатар, пайыз мөлшерлемесінің объективтік және экономикалық, сол сияқты субъективтік факторлар да әсер етеді. Шын мәнінде, заңды және жеке тұлғалардан тартатын несиелік ресурстар қаншалықты қымбатқа түссе, соғұрлым несиенің бағасы жоғары келеді.
Банктік тәжірибеде несие бойынша жай және күрделі сыйақы есептеу формулалары қолданылады.
Жай сыйақыны есептеу формуласын мынадай түрде беріледі:
мұндағы:
i - сыйақы мөлшерлемесі;
P - қарыз қалдығы;
n - сыйақы есептелетін кезеңдегі күндер саны;
I - несиенің барлық мерзіміне есептелетін жай сыйақы сомасы.
Несие бойынша есептелетін
күрделі сыйақыны
есептеу формуласы мынадай:
мұндағы:
i - сыйақы мөлшерлемесі;
P - несиенің бастпақы сомасы;
n - аймен берілетін несиенің ұзақтығы;
I - несиенің барлық мерзіміне есептелетін сыйақы сомасы.
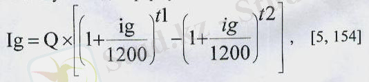
Егер де несиелеу мерзімі кезеңінде қарыз қалдығының бір бөлігі мерзімі өткен несиелер шотына жатқызылса, онда мерзімі өткен несиелік қарызға сыйақыны есептеу мынадай формулаға байланысты жүргізіледі:
мұндағы:
I - мерзімі өткен қарыз бойынша есептлетін сыйақы сомасы;
g - мерзімі өткен қарыз сомасы;
Q - мерзімі өткен қарыз бойынша сыйақы мөлшерлемесі (айып-пұл) ;
t1 - несие берлігеннен бастап мерзімі өткен қарызға байланысты сыйақы есептелген күнге дейінгі уақыт мезгілі;
t2 - несие бергеннен бастап мерзімі өткен қарыз пайда болғанға дейінгі уақыт мезгілі.
Несиелеудің келесі принципі - берілетін неиселердің материалдық жағынан қамтамасыз етілуі. Бұл принциптің пайда болуы негізінен несиенің экономикалық категория ретінде шығуымен бірге келеді. Бірақ та уақыт өте келе бұл принцптің мазмұны толығымен өзгерген.
Бүгінде несиенің қамтамасыз етілу ретінде кепіл, кепілхат, кепілдеме, сақтанлыру міндеттемелері қолдануда.
Енді осы несиенің қамтамасыз етілу тәсілдеріне тоқталайық:
Кепілге берілетін несие - бұл қарыз алушының активтерімен қамтамасыз етілген несие. Кепілге берілетін активтер қарыз алушының иелігінде қалып, оның пайдалануында болды.
Экономикасы жақсы дамыған елдердегі қарыз алушының жағдайы жақсы болып келген жағдайларда несие қамтамасыз етілмеуі де мүмкін.
Кепіл несиенің қамтамасыз етудің ең тұрақты формасы ретінде мынадай шарттарды сақтайды: біріншіден, кепілдің құнын анықтау барысында несие мөлшері мен пайыз мөлшерлемесін қоса алғандағы сомасын, сол сияқты кепілді іске асыруда және оны ақшаға айналдыру үшін уақытты дұрыс анықтау қажет; екіншіден, кепіл туралы келісім жасаған кезде, барлық заңдылық жақтарын, құқылығын үнемі бақылап отыру қажет. Бұл айтылған жағдайлар көбіне бағалы қағаздарға да байланысты болып келеді.
Несие берушінің кейбір активтерді анықтаудағы нақты мәселелері кездеседі. Сондықтан кепілге берілетін кейбір активтердің мынадай сипатта болуын білу шарт:
Біріншіден, кепілге несие берілуі туралы шешім қабылдағанға дейін жеңіл бағаланатын болуға тиіс.
Екіншіден, кепілге алынатын мүліктің нарықтағы қозғалыс мүмкіндігін үнемі тексеріп отыру қажет.
Үшіншіден, кепілдің өтімділік дәрежесін есепке алу өте маңызды, басқаша айтсақ, кепілге алынатын зат көп уақыт өтпей нақты ақшаға айналуға тиісті.
Төртіншіден, кепіл туралы келісім жасасқанда, кепілдің амортизациясын немесе моральдық тозу жақтарын ескеру қажет. Өйткені, кейбір активтер басқаларына қарағанда өзінің бастапқы құнын тез жоғалтады.
Кепілхат - қарыз алушы төлеуден бас тартқан жағдайда, үшінші бір жақтың қарызды өтеймін деген жазбаша міндеттемесін береді. Бұл жағдайда кепілхаттың заңдылығы туралы несие берушіге қарыз алушыдан төлуеді кепілдеуге, кепіл берушінің құқығы туралы сұрақтың маңыздылығын ескеру қажет. Кепілхатты несиенің қамтамасыз ету құралы ретінде пайдалану, кепілхатты берушінің тұрақтылығын алдын ала бағалап білуді талап етеді.
Кепілхат - күрделі экономикалық құрал ретінде мынадай түрлерге бөлінеді:
Біріншіден, ол қамтамасыз етілген немесе қамтамасыз етілмеген болып келеді.
Екіншіден, ол шектеулі немесе шектеусіз болады. Шектеусіз кепілхат бойынша, оны беруші бір қарыз алушының барлық қарызын несие берушіге төлей алмайтындығы жағдайында төлеуге кепіл береді. Мұндағы кепілхат алушының несиеге байланысты болатын қарызын төлеуге кепілдік береді. Кепілхаттың бұл түрлері біздің елімізде дами алған жоқ.
Үшіншіден, жеке немесе корпоративтік кепілхаттар. Жеке кепілхат жеке тұлғаларды, серіктестерді несиелеу барысында қолданылады. Корпорациялардың кепілхаттары басқа бір корпорациялардың алған несиелерін қамтамасыз етуде жиі пайдаланылады. Бұл аталған кепілхаттар дамыған елдер тәжірибесінде кең қолданылғанымен де, біздегі корпорациялардың беретін кепілхаттарына банктер әлі де болса, олардың түбінде өтей алатындығына сенімсіздік танытуда.
Несиелерді қамтамасыз етудің келесі бір жолы - несиелерді сақтандыру . Бұл енді біздің тәжірибемізде кезінде қолданылғанымен де, оның айналасында көптеген мәселелер орын алуда.
Несиелеу әдістері - несиенің берілу және қайтарылу ерекшеліктерімен байланысты болатын, банктік несиенің кәсіпорындардың қаражат айналымының шеңберінде қатынасу тәсілдері.
Реформалауға дейінгі кезеңдегі отандық банктік тәжірибеде несиелеудің екі әдісі қолданылған:
● қалдық бойынша;
● айналым бойынша;
Қалдық бойынша несиелеу барысында несие қозғалыстағы (яғни, несиені беру және қайтару) несиеленетін құндылықтар қалдықтарымен тығыз байланысты болды. Ондай құндылықтарға: әр түрлі тауарлы-материалды құндылықтар (шикізат, негізгі және қосымша материалдар, қосалқы бөлшектер, тауарлар және т. б. ), аяқталамған өндіріс, алдағы кезеңдегі шығыстар, дайын өнімдер және жөнілтілген тауарлар жатады. Қорлардың нормативтен жоғары өсуі несиеге деген сұранс тудырып, ал олардың азаюы несиенің сол мөлшерде қайтарылуын талап етті. Мұндай несиелеу әдісінде несие компенсациялық сипатта болды, өйткені, несие шаруашылық органдардың құндылықтары мен қаражаттарының орнын жабуға бағытталады. Компенсациялық несиелер жай несиелік шоттар бойынша беріледі. Сондай-ақ бұл несиенің қайтарылуы есеп айырысу шотынан шегеру жолымен жүзеге асырылады.
... жалғасы- Іс жүргізу
- Автоматтандыру, Техника
- Алғашқы әскери дайындық
- Астрономия
- Ауыл шаруашылығы
- Банк ісі
- Бизнесті бағалау
- Биология
- Бухгалтерлік іс
- Валеология
- Ветеринария
- География
- Геология, Геофизика, Геодезия
- Дін
- Ет, сүт, шарап өнімдері
- Жалпы тарих
- Жер кадастрі, Жылжымайтын мүлік
- Журналистика
- Информатика
- Кеден ісі
- Маркетинг
- Математика, Геометрия
- Медицина
- Мемлекеттік басқару
- Менеджмент
- Мұнай, Газ
- Мұрағат ісі
- Мәдениеттану
- ОБЖ (Основы безопасности жизнедеятельности)
- Педагогика
- Полиграфия
- Психология
- Салық
- Саясаттану
- Сақтандыру
- Сертификаттау, стандарттау
- Социология, Демография
- Спорт
- Статистика
- Тілтану, Филология
- Тарихи тұлғалар
- Тау-кен ісі
- Транспорт
- Туризм
- Физика
- Философия
- Халықаралық қатынастар
- Химия
- Экология, Қоршаған ортаны қорғау
- Экономика
- Экономикалық география
- Электротехника
- Қазақстан тарихы
- Қаржы
- Құрылыс
- Құқық, Криминалистика
- Әдебиет
- Өнер, музыка
- Өнеркәсіп, Өндіріс
Қазақ тілінде жазылған рефераттар, курстық жұмыстар, дипломдық жұмыстар бойынша біздің қор #1 болып табылады.

Ақпарат
Қосымша
Email: info@stud.kz