Агроклиматтық ресурстар


РЕФЕРАТ
Курстық жұмыс 31 беттен, үш тараудан, 5 формуладан, 6 кестеден, 9 суреттен, қорытынды, қолданылған әдебиеттер тізімінен тұрады.
Негізгі қолданылған сөздер: температура, ылғалдылық, булану, жауын-шашын, өнімділік, вегетациялық кезең.
Курстық жұмыстың мақсаты Оңтүстік Қазақстан облысының агрометеорологиялық жағдайын қарастыру болып табылады. Ол үшін температуралар жинағы, ылғалмен қамтамасыздық көрсеткіштер ретінде жауын-шашын мөлшері, Селяниновтың гидротермикалық коэффициенті, Шашконың атмосфералық ылғалдылық коэффициенті алынды.
МАЗМҰНЫ
КІРІСПЕ . . . 4 1. ӘДЕБИЕТТЕРГЕ ШОЛУ . . . 5
1. 1 Ауылшаруашылығын агрометеорологиялық
қамтамасыздау . . . 5
1. 2 Агрометеорологиялық және агроклиматтық факторлар мен
көрсеткіштер . . . 8 2. ОҢТҮСТІК ҚАЗАҚСТАН ОБЛЫСЫНЫҢ АГРОКЛИМАТТЫҚ
РЕСУРСТАРЫ . . . 12
2. 1 Тасты, Байырқұм станцияларының физико-географиялық
сипаттамасы . . . 12
2. 2 Жылумен қамтамасыздығының көрсеткіштері . . . 13
2. 3 Сумен қамтамасыздығының көрсеткіштері . . . 17
ҚОРЫТЫНДЫ . . . 27 ҚОЛДАНЫЛҒАН ӘДЕБИЕТТЕР ТІЗІМІ . . . 28
КІРІСПЕ
Оңтүстік Қазақстан облысының агрометеорологиялық жағдайы қарастырылды. Агрометеорологиялық жағдайы ауыл шаруашылық дақылдарына қатысты болғандықтан, вегетация кезең қарастырылды. Зерттеу барысында вегетациялық кезеңнің жылумен және ылғалмен қамтамасыздығы анықталынды.
Атмосфераның жылу режимі деп ауа температурасының атмосферада таралу және өзгеру сипатын айтады. Атмосфераның жылу режимі, оның төселме бетпен жылу алмасуы арқылы анықталады.
Жылу қамтамасыздық көрсеткіш ретінде көктемгі, күзгі температура мәндері есептелінді.
Атмосфераға су буы топырақ беті мен су қоймаларынан булану және транспирация (өсімдіктен булану) арқылы үздіксіз тасмалданып тұрады. Температура өскен сайын, су буына қанығу үшін ауаға керекті су мөлшері де өседі, яғни жылы ауа салқын ауаға қарағанда көбірек су буы молекулаларын ұстап тұрады.
Ылғал қамтамасыздық көрсеткіштер ретінде салқын және жылы кезеңдегі жауын-шашын мөлшері, Селяниновтың гидротермикалық коэффициенті, Шашконың атмосфералық ылғалдылық коэффициенті есептелінді.
1 ӘДЕБИЕТТЕРГЕ ШОЛУ
- Ауылшаруашылығын агрометеорологиялық қамтамасыздау
Ауылшаруашылық өндіріс көбінесе ашық аспан астындағы цех деп аталады және ондағы өнім тікелей табиғи жағдайларда пайда болады /1/. Климат пен ауа райын сыртқы орта жағдайы деп қарастырып, маман-агрометеорологтар ауылшаруашылық дақылдарының өнімін қалыптастыру үшін агрометеорологиялық шарттарды салыстыратын қажеттіліктерімен қарастырады. Мұнда тек ауа-райының жағдайын ғана білу жеткіліксіз және белгілі вегетациялық кезеңдердегі орта факторларына дақылдардың қажеттіліктерін ескеру қажет. Ауыл шарушылығына қызмет ететін әрбір агрометеорологиялық станцияларда, метеорологиялықтармен бірге жүйелі бақылаулар даму фазалары мен өнімділік элементтеріне, күйіне, далалық жұмыстарға жүргізіледі, сонымен қатар топырақтағы өнімді ылғал қоры анықталады.
Республикамыздың ауыл шаруашылығына агрометорологиялық қызмет жасаудың дамуы тыңайған жерлерді игеруді бастаумен (1954ж) сәйкес келеді. Дәнді-дақылдар алқабының ауданы үлкеюмен метеорологиялық станциялар мен посттардың саны көбейді. 1978 жылы агрометеорологиялық бақылаулар 240 пункттерде жүргізілді. Бірақ бұл жеткіліксіз болды. Сондықтан 1960 жылдан бастап вегетация кезеңі мен өнімді қалыптастыруда далалар мен жайылымдарға жер үсті және авиациялық зерттеулер жүргізіле бастады.
Агрометеорологиялық маңызды міндеттері мыналар /2/:
- ауылшаруашылық өндірісінің процестері мен объектілеріне ауа-райы мен климаттың әсер ететін кеңістіктік-уақыттық заңдылықтарын зерттеу;
- метеорологиялық факторлардың топырақ жағдайына, агрофитоценоздардың өнімінің дамуына, өсуіне және қалыптасуына ауылшаруашылық дақылдарында ауру зиянкестердің дамуы мен таралуына әсерін мөлшерлік бағалау әдістерін өңдеу;
- агрометеорологиялық болжамдар әдістерін және ауылшаруашылық өндірісін агрометеорологиялық қамтамасыздандыру формаларын жетілдіруді өңдеу;
- агроклиматтық аудандастыру, ауылшаруашылық дақылдарының жаңа сорттарын орналастыру, өсімдік өсіру өнімділігін жоғарылату үшін климаттың ресурстарын толық және ұтымды пайдалану тәсілдерінің агроклиматтық дәйектемесі;
- жерді мелиорациялау және далалардың микроклиматтының өзгеру тәсілдерінің агроклиматтық дәйектемесі;
- ауыл шаруашылығына қолайсыз және қауіпті гидрометеорологиялық құбылыстармен күресу әдістерін сонымен бірге осы құбылыстарға белсенді әсер ету әдістерін өңдеу.
Бұл тапсырмалар агрометеорологиялық ғылыммен және ауылшаруашылық өндірісін агрометеорологиялық ақпараттармен шұғыл қамтамасыз жасау мақсатында практикамен шешіледі. Нарықтық экономика жағдайында агрометеорологиялық болжамдарға, әсіресе өнімділік божамдарына агробиржалар, бизнесмендер, ауылшаруашылық өнеркәсіптер құштар. Гидрометқызметінің беретін негізгі ақпараттары мыналар болып табылады:
- астықтық және бұршақ дәнді-дақылдардың өнімділіктің орташа облыстық және астықтың ең көп жиналуы туралы болжамдар;
- көктемдік-далалық жұмыстардың басталуы қарсаңында топырақтағы ылғалдылық қорына болжам жасау;
- күздік дәнді-дақылдарды себу мерзімін болжау;
- республика территорясы бойынша декадалық агрометеорологиялық бюллетень және т. б.
Казіргі ҚазЭКҒЗИ-де агрофотометриялық ақпараттар негізінде өңделген әдістемелер үлкен аудандарда далалар мен жайылымдар күйі жөнінде шұғыл түрде қысқа мерзімдерде ақпараттар алуға мүмкіндік береді.
Қазіргі уақытта Қазақстанның агрометеорологиялық жүйесі 1986 жылмен салыстырғанда 50 пайызға қысқарды, астық себетін облыстарда екі есеге дейін азайды. Территорияның агрометеорологиялық жеткіліксіз қамтамасыздығы агрометболжаушылардың жұмысын қиындатады. Бұл тағы мынамен байланысты: соңғы жылдары ауылшаруашылық дақылдарын өндіру технологиясы әлсіреп кетті. Арамшөптерге, аурулар мен зиянкестерге қарсы егістіктердегі өңдеу, өнімді жинау уақыттылы жиналмай жүр, күзде айдалған жердің көлемі кенеттен қысқарды. Осының салдарынан күшті технология бойынша ауылшаруашылық дақылдарын өндіруге 80-жылдары бағдарланған әдістемелер тиімділігі әлсіз болып қалды. Бірақ, агрометболжаушылардың көпжылдық жинаған тәжірибелерінің және мұқият талдау жүргізуінің арқасында шығарылған өнімнің көлемі және болжамдардың дұрыстығы жоғары деңгейде сақталып тұр. Сәйкесінше соңғы жылдары Қазгидромет пен КазЭКҒЗИ агрометеорологтарымен бар агроболжамдар кемелденіп жаңа әдістер жасалуда, олардың алдын ала болжамдары артуда /3. 4/.
Аграрлы бөлімдегі агрометеорологиялық қызметтің эффектілігінің жоғарылауының бір көзі болып аэрокосмостық ақпаратты пайдалану болып табылады /4/. Ауылшаруашылық егістерін аэро және космостық суретке түсіру бір уақытта үлкен территория бойынша вегетациялық кезеңде динамикада егіс жағдайы жөнінде тікелей мәліметтердің бірнеше түрлерін алуға мүмкіндік береді. Соңғы кездері спутниктен сәтті қолданылып жүрген NОАА сериялы (AVHRR-3 радиометрі) жаңа сандық ақпарат жергілікті жердің ені бойынша 2700 километр алатын суретке түсіруді орындайды.
/5/ жұмыста академик Э. Ф. Госсен аграрлы-экономикалық кезеңдердің бірнеше түрін ажыратады:
Бірінші кезең (1954-1964жж) -тың және тыңайған жерлерді игеру. Қазақстанда 25 миллион гектар жер жыртылған. Астық дақылдарының егістік жерлері игерілгеннен кейін 7 миллион гектардан 24, 6 миллион гектарға дейін өсті. Сәйкесінше өнімділік 5, 6 центнер\гектардан 7, 0 центнер\гектарға дейін жоғарылады, ал жалпы жиналған астық 3, 9-дан 17, 2 миллионға дейін, яғни топырақтың табиғи құнарлылығына байланысты жерлерді экстенсивті пайдалану жүріп жатты.
Екінші кезең (1965-1986 жж. ) топырақ сақтау егін шаруашылығын игерудің басы және өңдеумен сипатталады. Өнімділік 8, 9 центнер\гектарға дейін жоғарылады, ал жалпы жиналғаны 24 миллион тоннаға дейін. Топырақтың желдік эрозияға ұшырауға толығымен тоқтатылды.
Үшінші кезең (1986-1990жж) минералды тыңайтқыштарды жаздық бидайдың жаңа сорттары және өсімдіктерді қорғау тәсілдері астық дақылдарын өндірудегі күшті басталуымен сипатталады. Ол Қазақстан бойынша орташа өнімділікті 9-10 центнер\гектар деңгейінде сақтап қалуға себеп болады.
Төртінші кезең (1991-1996жж) терең экономикалық кризис пен интенсивтендіру көлемінің апатты төмендеуіне сәйкес келеді. Ауыспалы егістер және астық дақылдарының тұқым шаруашылық жүйесі бұзылды. Нәтижесінде өнімділік 6, 5 центнер\гектарға дейін төмендеді.
Мұнымен қатар Э. Ф. Госсен /5/ климаттың глобальдық жылумен байланысты астықтық өндірістің күдікті мәселесіне көңіл бөледі. GFDL (АҚШ, 1989ж. ) және UKMO (Біріккен патшалық) моделінің нәтижесі бойынша алынған мүмкін болатын және төтенше құрғақ сценарий кезіндегі республиканың егін шаруашылығының бейімделуін қарастыра отырып, мынау анықталған, яғни атмосферада СО 2 концентрациясының екі есе көбеюінен Қазақстан территориясында егіс далаларының азаюына алып келетін жаздық бидайдың солтүстік ендік бағытында өңдеу зонасының қозғалуы байқалу мүмкін. Алайда толық интенсивтендіру (бұлар, пестицидтер, жаңа сорттардың тұқымдары және т. б. ) нәтижесінде жалпы жинау 20-25 миллион гектар деңгейінде тұрқтануы мүмкін.
Г. Н. Чичасовтың /6/ зерттеуі бойынша жақын арада, яғни 30-35 жылда Солтүстік Қазақстанда температураның глобальды жоғарылауы әсерінен жаздық бидайдың өнімділігінің төмендеу мүмкіндігі аз. Тағы да 2010 жылдан кейін Қазақстанның солтүстігінде тепературалық-ылғалды жағдайдың оңтайлығымен байланысты өнімділіктің кейбір артуымен белгіленеді.
/7/ авторлары атмосферадағы СО 2 концентрациясының екі есе көбеюінің сәтінде жаздық және күздік бидайдың нашарлығына баға берді. Былай қорытынды жасалынған, жаздық бидайдың өнімділігі едәуір түрде шамамен 25-30 пайызға төмендеді. Ал, күздік бидайдың өнімділігі бірнеше облыстарда артуы мүмкін, алайда оны территорияның шектелген бөлігінде ғана жинау мүмкін болады.
А. Воронинаның /8/ зерттеуі көрсетілгендей, континентке ылғал және жылы ауа массаларын мұхиттан, әсіресе жылдың суық уақытында, өте тереңірек кіруіне алып келетін ауа массаларының зоналық тасымалдануы күшейеді және ендік процестердің қайталанушылығы артады, жазғы қезеңде құрғақшылықтың белең алу мүмкіндігі өседі. Осыған байланысты ол күздік бидайға жерді үлкейтуді және республиканың солтүстік облыстарына жылжи отырып, жыртылған аудандарды кеңейтуді көрсетеді.
Климаттық ресурстар ауыл шаруашылығының даму жағдайын анықтайтын негізгі табиғи факторлардың бірі болып табылады. Агроклматологияның міндетінің бірі территорияның агроклиматтық ресурстары мен агроклиматтық аудандастыруын бағалау болып табылады. Агроклиматттық аудандастыру ауыл шаруашылығының географиялық таралуы мен мамандануы үшін нағыз маңызы болатын өз шекарасының ішінде жеткілікті біртекті және аудандастыру көрсеткіштерінің негізінде қойылған қатынаста бір-бірімен жеткілікті өзгеше территориялардың белгілі жүйе бойынша әртүрлі аудандарға бөлінуін қарастырады.
Біздің елімізде ауыл шаруашылығының дамуы территория бойынша оның жеке салаларының қолайлы орналасуын, мәдени өсімдіктер мен үй жануарлары жаңа аудандарға ауыстыруды, ауыл шаруашылығы өнімінің көбін алу мақсатында климат ресурстарын және оның жоғары сапасын жақсы пайдалануды қажет етеді. Агроклиматтық ресурстар түсінігіне мыналар кіреді: күн радиациясы, ылғалдылық, жылу, жел, күндізгі күннің ұзақтығы және т. б.
Агроклиматтық ресурстарды ауыл шаруашылығы мақсаты үшін уақыттық және кеңістік бойынша бағалау мен оқып білу агроклиматологияның маңызды мәселесін құрайды. Климат мәдени өсімдіктер мен жануарлардың географиялық таралуына әсер етеді. Соңғы уақыт үшін мәдени өсімдіктердің солтүстік ендіктерге қарай жылжуы тән. Солтүстікке кең түрде арпа және көкөніс дақылдары өтті, тропиктік белдеудің өсімдігі - жүгері қоңыржай белдеудің едәуір ауданын алды, сонымен қатар күріш те солтүстікке енді, Сібірде солтүстік бау шаруашылығы құрылды. Европаның өсімдігі бидай АҚШ та, Канада мен Аргентинада көп жерлерді алып жатыр.
1. 2. Агрометеорологиялық және агроклиматтық факторлар мен көрсеткіштер
Агрометеорологиялық факторлар. Агрометеорологиялық факторлар негізгі және қосымша болып екігі бөлінеді. Өсімдіктің өмірлік негізгі факторлары жарық, жылу, ауа, су және қоректік затар болып табылады. Ол факторлардың маңыздылығы бірдей, яғни олардың бірі болмаса өсімдік өспейді. Қосымша факторларға бұлттылық, жел, т. б. жатады.
Ауа барлық организмдер үшін өмір негізі. Ауа көптеген газдардан тұрады. Соның ішінде өсімдік үшін оттегінің, көмірқышқыл газының және азоттың маңызы зор.
Оттегі (О 2 ) өсімдікке дем алу үшін қажет. Дем алу күрделі тотығу процесі болып табылады. Дем алу процесінде өсімдікте жинақталған қоректік заттар тотығып оның организміндегі барлық өмірлік процестер үшін энергия пайда болады.
Көмірқышқыл газы (СО 2 ) өсімдікке фотосинтез процесінде органикалық заттар түзу үшін қажет. Өсімдіктің құрғақ затының 45-50% көміртегінен тұрады.
Азот (N 2 ) өсімдікке қоректік элемент ретінде қажет. Олсыз ақұлпа заттары түзілмейді, яғни тірі клетканың протоплазмасы құрылмайды.
Жарық. Жарық - энергия көзі. Жарықтың өсімдік өміріндегі мәнін бағалағанда оның үш аспектісі қаралады:
1) спектрлік құрамының әсері;
2) қарқындылығының әсері;
3) ұзақтығының әсері.
Барлық маңызды физиологиялық процестер (дәннің өнуі, фотосинтез, пигментердің түзілуі, фотопериодизм, т. б. ) негізінен күн радиациясы спектрінің көрінетін (жарық) бөлігімен (0, 38-0, 71 мкм) анықталады. Жарық ұзақтығына байланысты өсімдіктер ұзақ күндік, қысқа күндік және нейтральді болып бөлінеді.
Жылу. Ауа және топырақ температурасы өсімдіктің өмірлік процестеріне әсер жасайды, өсімдіктің даму қарқындылығын және вегетация кезеңінің ұзақтығын анықтайды. Температура жоғары болған сайын (белгілі деңгейге дейін) өсімдік организмінде биофизикалық және биохимиялық реакциялар жылдам жүреді. Сонымен қатар өсімдікке температураның тәуліктік тербеліс амплитудасы да әсер етеді. Оның оптимальді өсіп, дамуы үшін күндізгі және түнгі температураның белгілі сәйкестігі қажет. Өсімдіктің күндізгі және түнгі температура тербелісіне реакциясын өсімдік термопериодизмі деп атайды.
Су. Өсімдіктің өсуі мен өнімділігінің мөлшері су қорына өте бағынышты. Жеткіліксіз және артық ылғалдық өсімдікке кері әсер жасайды. Ондай екі жағдайда да өсімдік басқа факторларды толық пайдалана алмайды. Аз су мөлшері жағдайында өсімдік жылу ресурсының сумен қамтамасыздалған бөлігін ғана пайдаланады.
Агрометеорологиялық көрсеткіштер. Ауылшаруашылық дақылдарының өсу, даму және өнімділігінің құрылуының ауа-райы және климат элементтерімен кеңістіктік-уақыттық байланысын сипаттайтын көрсеткіштер агрометеорологиялық және агроклиматтық көрсеткіштер деп аталады. Ол көрсеткіштер келесі талаптарды қанағаттандыруы тиіс:
- интегральді болу - климаттық, биологиялық және т. б. элементтердің біріккен әсерін сипаттау;
- биологиялық және физикалық мағынасы болу;
- қолданыста салыстырмалы түрде қарапайым болу;
- сандық есептеулер жүргізуге қолайлы болу.
Агрометеорологиялық көрсеткіштер негізгі, қосымша және аймақтық болып бөлінеді. Аймақтық көрсеткіштер - белгілі жердің ерекшелігіне байланысты тек өзіне тән көрсекіштер. Бұл барлық агрометеорологиялық көрсеткіштер өз кезегінде негізгі төрт бөлімге жіктеледі:
- жылумен және жарықпен қамтамасыздық;
- сумен қамтамасыздық;
- қыстап шығу жағдайлары;
- бонитет немесе барлық жағдайлар комплексін жалпы бағалау.
Жылу ресурсы көрсеткіштері.
Территорияның жылу ресурстарының интегральді көрсеткіші ретінде белсенді және нәтижелі температуралар жинағы қолданылады. Белсенді температуралар жинағы (
) - берілген дақылдың биологиялық минимальді температурасынан жоғары кезең ішіндегі орташа тәуліктік температуралар жинағы. Нәтижелі температуралар жинағы (
) - берілген дақылдың биологиялық минимальді температурасынан жоғары кезең ішіндегі, биологиялық минимум мәніне азайтылған орташа тәуліктік температуралар жинағы. Өсімдіктің биологиялық минимальді температурасы (биологиялық минимум) дегеніміз, оның вегетациясы (өсіп, дамуы) басталатын температура мәні. Мысалы бидайдың биологиялық минимумы плюс 5
0
С тең.
Негізінде, белсенді температуралар жинағы жылу ресурсын сипаттағанда, нәтижелі температуралар жинағы дақылдың жылуды қажетсінуін сипаттағанда қолданылады. Мысалы бидайға шығу - 3-ші сабақ даму фазалары аралығын өту үшін 64 0 С нәтижелі температуралар жинағы қажет. Бірақ, бұл жерде жоғарғы балластты температура ескерілуі тиіс. Балластты температура - өсімдіктің дамуын тежейтін өте жоғары температура.
Топырақтың жылу ресурстарын сипаттау үшін әртүрлі тереңдіктегі (3, 10, 20, 25см) теріс немесе оң таңбалы температуралар жинағы қолданылады.
Ылғалдық көрсеткіштері. Олар тура және жанама көрсеткіштер болып бөлінеді. Өсімдіктің сумен қамтамасыздығының тура көрсеткіші болып топырақтағы (0-20 см, 0-100 см. ) өнімді су қоры табылады. Өнімді су қоры агрометорологияда миллиметрмен (мм. ) есептеледі. Сонымен қатар белгілі кезең аралығындағы жауын жинағы да қолданылады (вегетация кезеңіндегі, мм. ) .
Жанама көрсеткіштер:
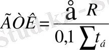
Г. Т. Селяниновтың гидротермикалық коэффициенті:
, (1)
мұнда:
- вегетация кезеңіндегі жауын жинағы,
- белсенді температуралар жинағы (10 0 С-дан жоғары кезеңдегі) .
П. И. Колосковтың ылғалдану көрсеткіші:
, (2)
мұнда:
k - пропорциональдық коэффициент,
- жылдық жауын жинағы,
Е - төселме беткей температурасымен есептелген су буының қанығу қысымы,
е - су буының парциальді қысымы (жылдық жинағы) .
Д. И. Шашконың атмосфералық ылғалдану көрсеткіші:
, (3)
мұнда:
- жылдық жауын жинағы,
- ауа ылғалдылығы тапшылығының жылдық жинағы.
А. П. Сляднев пен В. А. Сенниковтың ылғалдану көрсеткіші:
, (4)
мұнда:
W - көктемгі топырақтағы су қоры,
- вегетация кезеңіндегі жауын жинағы,
- вегетация кезеңіндегі буланушылық жинағы.
С. А. Сапожникованың ылғалдану көрсеткіші:
, (5)
мұнда:
- қыс-көктем жауын жинағы,
- вегетация кезеңіндегі жауын жинағы,
- белсенді температуралар жинағы (10
0
С-дан жоғары кезеңдегі) .
Қыстап шығу жағдайы көрсеткіштері:
- ауа температурасының (2м. ) абсолютті минимумы;
- топырақың бұтақтану түйіні тереңдігіндегі (3см. ) және 20см. (жеміс ағаштары үшін) тереңдіктегі абсолютті минимальді температурасы;
- ауа мен топырақтың 00, минус 50, минус 100, минус 150С-дан төмен температуралар жинағы;
- ең салқын айдың орташа ауа температурасы.
2 АГРОКЛИМАТТЫҚ КӨРСЕТКІШТЕРДІҢ КӨПЖЫЛДЫҚ ДИНАМИКАСЫ ЖӘНЕ ӨЗГЕРУ ТЕНДЕНЦИЯСЫ
2. 1 Тасты, Байыркұм станцияларының физико-географиялық сипаттамасы
Тасты совхозының ауылы Бетпақдаланың оңтүстігінде, Қазақстанның Шу шөлді дала аймағында, Шу өзенінің сол жағында орналасқан. Орталық Қазақстанның екі кең шөлдерінің арасында (оңтүстігінде жатқан Мойынқұм және солтүстігінде жатқан Бетпақдала) шығыстан ондаған километр созылған, Шу өзенінің даласы, Өзеннің арнасы кең болады және ол 35-40км жетеді. Мойынқұм шөлімен көрші орналасуы топыраққа әсер етеді, оңтүстік бағытта 20км топырақта құм мөлшері көбейеді және тегіс Мойынқұм құмына қосылады. Солтүстік жақта Бетпақдала шөлінің кең аумағы орналасқан.
Көктемде Шу өзенінің толуы көптеген кішігірім көлдерді, даланың көптеген бөлігін сумен толтырады. Бірақ жаздық кезеңнің басталуымен байланысты өзен суы тез тартылады және кейбір жерлер құрғап кетеді (құмда жоғалады) .
Топырағы шабындық тұзды, төмендеген сайын жайылымды-батпақты. Одан басқа сұр, оңтүстігіне қарай құмды, солтүстігіне қарай саз-балшықты топырақтары кездеседі.
Ойпат пен батпақтары қамысты жер болып табылады. Басқа жерлерде жолжелкен сияқты өсімдіктер кездеседі. Кейбір жерлерде сексеуіл де кездеседі.
Мал шаруашылығы жақсы дамыған, ауыл шаруашылық дақылдары егілмейді, тек өзен жағында кейбір бақша өнімдері отырғызылады.
Метеорологиялық алаң биіктеу жерде орналасқан.
50м солтүстік-шығыста суқойма, ал одан 100м қашықтықта станция, 350м солтүстік жақта Шу өзенінің арнасы орналасқан. Жері ашық, көкжиек барлық жақтан ашық. Топырағы бір метр және одан да төмен құмды. Топырақ бетінде сирек шөп жамылғысы кездеседі.
Жерасты суы 3-8м тереңдікте орналасқан.
Байырқұм ауылы Сырдарияның шөлді дала аймағында орналасқан. Ауыл ағып жатқан өзеннің оң жағалауында, Шардара даласында орналасқан. Жері тегіс, сирек ойпаттар кездеседі. Басқа өзен, көлдер жақын арада жоқ.
Топырағы - тұзды шабындықты.
Метеорологиялық алаң ашық, тегіс жерде орналасқан. 150м шығыс-оңтүстік-шығыста жағалауын қамыс басқан көл бар. Жақында биік емес құрылыстар 90м шығыс жақта орналасқан.
1941ж 7-сәуірде алаңда 100м батысқа қарай одан да ашық, биік жерге көшіріледі. 250м шығысқа қарай көл орналасқан.
1947ж 20-қыркүйекте метеорологиялық алаңды алғашқы орнынан 200м оңтүстік-шығысқа қарай ауыстырады. Жақын арадағы құрылыс шығысқа қарай 50м және 100м жерде орналасқан.
1958ж 25-қыркүйекте метеорологиялық алаңды батысқа қарай 7км, Байырқұм совхозының орталығына қарай көшіріледі. Жері тегіс, ашық. 25м солтүстік-шығыс жақта жақын арадағы құрылыс орны орналасқан. Алаңның солтүстік жағында ойыс орналасқан.
Жерасты суы 5-6м тереңдікте орналасқан.
2. 2 Жылумен қамтамасыздығының көрсеткіштері
Оңтүстік Қазақстан облысының жылумен қамтамасыздығын зерттеу үшін, облыстың екі бөлігінде орналасқан Байырқұм мен Тасты метеостанцияларының көпжылдық мәліметтері бойынша ауа температурасының көктемде және күзде 5°C-дан өту даталары, ол кезеңнің ұзақтығы және де активті температуралар жинағы есептелді.
Вегетация кезеңі дегеніміз өсімдіктің өсіп - өнуіне қолайлы ауа температурасы 5°C-дан жоғары болатын күндер жиынтығы.
Байырқұм станциясының соңғы 38 жыл аралығындағы вегетация кезеңінің басталуы D көктем және аяқталуы D күз күндерін аламыз. Осы мәндер арқылы кезеңнің басталу, аяқталу, ұзақтығының графигін тұрғызамыз.
Кесте 1. Вегетация кезеңінің басталуы, аяқталуы және ұзақтығы
... жалғасы- Іс жүргізу
- Автоматтандыру, Техника
- Алғашқы әскери дайындық
- Астрономия
- Ауыл шаруашылығы
- Банк ісі
- Бизнесті бағалау
- Биология
- Бухгалтерлік іс
- Валеология
- Ветеринария
- География
- Геология, Геофизика, Геодезия
- Дін
- Ет, сүт, шарап өнімдері
- Жалпы тарих
- Жер кадастрі, Жылжымайтын мүлік
- Журналистика
- Информатика
- Кеден ісі
- Маркетинг
- Математика, Геометрия
- Медицина
- Мемлекеттік басқару
- Менеджмент
- Мұнай, Газ
- Мұрағат ісі
- Мәдениеттану
- ОБЖ (Основы безопасности жизнедеятельности)
- Педагогика
- Полиграфия
- Психология
- Салық
- Саясаттану
- Сақтандыру
- Сертификаттау, стандарттау
- Социология, Демография
- Спорт
- Статистика
- Тілтану, Филология
- Тарихи тұлғалар
- Тау-кен ісі
- Транспорт
- Туризм
- Физика
- Философия
- Халықаралық қатынастар
- Химия
- Экология, Қоршаған ортаны қорғау
- Экономика
- Экономикалық география
- Электротехника
- Қазақстан тарихы
- Қаржы
- Құрылыс
- Құқық, Криминалистика
- Әдебиет
- Өнер, музыка
- Өнеркәсіп, Өндіріс
Қазақ тілінде жазылған рефераттар, курстық жұмыстар, дипломдық жұмыстар бойынша біздің қор #1 болып табылады.

Ақпарат
Қосымша
Email: info@stud.kz