Желілі жоспарлау және басқару теориясының негізгі ұғымдары мен есептері


Жұмыс түрі: Курстық жұмыс
Тегін: Антиплагиат
Көлемі: 21 бет
Таңдаулыға:
Жоспар:
- Кіріспе
1. 1. Желілі жоспарлау және басқару теориясының негізгі ұғымдары мен есептері (ЖЖБ) (СПУ)
1. 2. ЖЖБ әдістерінің есептерін шешудегі артықшылықтары
- Негізгі бөлімЖелілі график құруКритикалық жол және уақыт резервтеріЖЖБ-ні минимум шығындар критериі арқылы ықшамдауМысалдар
- Қорытынды
- Қоланған әдебиеттер тізімі
КІРІСПЕ
Желілі жоспарлау және басқару теориясының негізгі ұғымдары және есептері (ЖЖБ) (СПУ) . ЖЖБ ә дістерінің есептерін шешудегі артықшылықтары
Тәжірибеде жоспарлау қажеттілігі жиі пайда болады, күрделі байланысқан жұмыс кешендерінің өзара байланысы және келісушілігі, қайсылардың орындалуы бірыңғай мақсаттарға бағынышты. Сондай жұмыстардың байланысы қолданылатын қорлардың, құрал-жабдықтардың жалпылығымен анықталады, ал келісушілігі олардың қатаң бекітілген жүйелік орындалуынан, жұмыстардың әрбір түрінің өткізуге қойылатын өзара талаптары және жалпы мәселелерінен шығады.
Сондай жұмыс кешендерінің мысалы ретінде мыналар бола алады:
- үлкен сауда орталық құрылыстары немесе қала сауда кәсіпорындарының желілерін салу;
- ірі дүкендердің қайтадан жабдықталуы - ол қызмет етудің жаңа формаларына көшу немесе дамыған жабдықтарға ауыстыру;
- АСУ базасында қала сауда кәсіпорындарының, облыстар мен республиканың және т. б. -лардың басқару жүйелерін орындау және дамыттыру.
Сондай ұқсас жұмыс кешендерінің өткізілуі кезінде оларды ұсақ және қарапайым (элементарлы) жұмыстарға жіктеу керек, олардың әртүрлі мамандармен немесе мамандандырылған ұйымдармен бірыңғай жобамен және бірыңғай талаптардың сақтауымен орындалады, олар мақсат жалпылығынан шығады. Сонымен қатар, әдеттегі бір элементарлық жұмыстарды басқа элементарлық жұмыстарды аяқтамай бастауға болмайды. Мысалы, негізгі құрылыс жұмыстардың аяқталмағанынша, жабдықтау монтажын бастауға болмайды, жабдықтардың эксплуатациясы - электр коректену өткізілмейінше және т. б. Сайып келгенде, күрделі кешенді жұмыстарды жоспарлау өте қиын мәселе. Оның шешімін жеңілдету, жоспар барлық мүмкін түрлерінен ең жақсысын таңдауға ЖЖБ көмектеседі. Сонымен, желілі жоспарлау және басқару теориясының (ЖЖБ) негізгі мәселесі өзара байланысқан және келіскен күрделі кешенді жұмыстарды үйлесімді жоспарлау әдістерін зерттеу болып келеді .
ЖЖБ бастықтардың назарын ең маңызды жұмыс кешендеріне шоғырлайды. Сөйтіп, сондай басқару кезінде бастықтың қолында жұмыстың 70 %-ы қалады, осындай кезде, бастықтың нәтижелі шешім қабылдауына мүмкіндік болмайды. ЖЖБ өңдеуі, практикада кешенді жұмыстарының тек 10 %-ы ғана нәтижелі екеніне көз жеткізіледі. Сондай-ақ бастықтардың басқару сұрақтарын шешуге жұмсалатын уақыты, 50-60%-ке қысқарады. Сонымен қатар, барлық жұмысқа қатысушылар объективті бірдей шартта хабарлылы болады, солай жұмыс кешендердің барлығын дәл мезгілде аяқтауға ықпалын тигізеді .
ЖЖБ-ның келесі артықшылықтарын ерекшелеуге болады :
- бастықтың назарын аз жұмыс учаскелеріне және орындаушыларға шоғырлау мүмкіншілігін туғызады;
- орындаушылар арасында айқын өзара байланыс құруы;
- кез келген уақытта жеткілікті хабар алу;
- жұмыстардың жүруін үзілмеліліксіз басқару, шешім қабыл алудың дер кезлігі, қол сұғу шапшаңдығы;
- қорлармен орынды маневр жасау мүмкіншілігі;
- құралдардың, энергиялардың, уақыттардың, материалдардың үнемділігі және т. б. ;
- жұмыстардың объективті сапа суретін жасауы;
- ЭЕМ-де есептеуіш жұмыстардың орындалу мүмкіншілігі.
СССР-де ЖЖБ әдістері мен модельдері 1961 жылы қолданыла бастады. Осы жылдар ішінде әртүрлі мақсатта қолданылатын жүйелер пайда болды: ӨБЖ (СУР) - өңдеулерді басқару жүйесі; ЖҰАЖ (АСОР) - жұмыстарды ұйымдастыруға арналған автоматтандырылған жүйе; ОЖБ (ЦПК) - орталықтандырылған жоспарлау және бақылау және т. б.
Жұмыстың масштабына байланысты ЖЖБ-ның келесі жүйелері болады: үлкен өңдеулер - желіде оқиғалардың саны 10 - 12 мың; орташа - 1, 5 - 10 мың және кішілері - 1, 5 мың-ға дейінгі. Кішкене өңдеулерде (бірнеше он данадан жүз оқиғаға дейін) барлық өткізілетін есеп-қисаптар және талдаулар қолмен істеледі, қалғандардың барлығында - ЭЕМ-нің арнайы бағдарламаларында жасалады. Олардың барлығы АСУ-дың математикалық қамтамасыздандырудың құрама бөлігі болып келеді.
ЖЖБ теориясының негізгі ұғымдарының біреуі элементарлық жұмыс ұғымының бір бөлінбейтін әрекет сияқты болып келуі, және оның қор шығындарымен және атқару уақытымен мінезделеді. ЖЖБ теориясының тағы бір негізгі ұғымы болып жұмыстар аралық кисынды байланыстары саналады, олардың өзінің өзара байланысы және келісушілігі туралы куәландырады. ЖЖБ-ң дұрыс мәселелерін шешу кезінде осындай жорамал жасалады: барлық кисынды өзара байланыстар берілген және бекітілген. Ал ЖЖБ-ң кері мәселелерін шешу кезінде сол өзара байланыстарды анықтау қажет, барлық кешенді жұмыстарға көрсетілген, кейбір талаптарға сай болуы қажет.
Осы жерде біз тек қана дұрыс мәселелердің шешімін табуды көздейміз. Дұрыс есептің шешімін табуда, егер кисынды байланыстардың түрін қайта-қайта өзгертсек, кері есептің шешімін дұрыс есептің ең жақсысын таңдау арқылы табуға болады.
Барлық элементарлық жұмыстар және олардың арасында кисынды байланыстар берілгеннен кейін, ЖЖБ есебінің шешімін табуға көшуге болады. Қазіргі кезде осы есептерді шешуде қолданылатын әр түрлі алгоритмдер: графикалық құрылғылармен немесе оларсыз - өңделген.
Графиктік тәсіл желілі график құруды талап етеді. Желілі график - ол ЖЖБ жүйелеріндегі жоспарлы құжат. Графикалық тәсіл (желілі графикті құру) ең қарапайымы және көрнектісі. Ол жұмыс кешендерінің орындау жолын тез суреттеп, бар болатын резервтерді айқындауға және жалпы маневр жасау жолдарын белгілеуге мүмкіндік береді.
Желілі модель - жұмыс кешендерді орындаудағы жоспардың графикалық бейнелеуі. Ол сырттай жіптерден (жұмыстар) және түйіндерден (оқиғалар) құрылған желіге ұқсас болып келеді. Олар барлық операциялардың логикалық өзара байланысын көрсетеді.
Желілі модельдеу негізінде жұмыс кешендерін жоспарлауда графа түріндегі бейнелеулер жатады. Граф - ол сызықтар жүйесімен қосылған нүктелерден (шыңдардан) тұратын схема. Шыңдарды қосушы кесінділер графа қабырғалары (доғалары) деп аталады.
Хабарланған граф - деп графтың барлық қабырғаларыдың (доғаларыңың) бағыттары тілмен көрсетілген. Мұндай граф оның шектес шыңдарының қайсысы - бастапқы, ал қайсысы - ақырғы болып келетіне көз жеткізеді.
Графтар карталардың, шытырмандардың, желілердің және диаграммалардың аттарын алып жүреді. Осы схемаларды зерттеу графтар теориясының әдістерімен өткізіледі. Графтар теориясы өзара байланысқан қабырғалардың біріктіретін жүйелілік жолдар ұғымымен операция жасайды. Нұсқа ұғымы - бастапқы шыңы ақырғысымен сәйкес болатын жолды білдіреді. Желілі график - ол нұсқаларсыз хабарланған граф.
Бірақ графикалық тәсіл ЖЖБ-ң қатаң есептерін шешу кезінде жарамсыз болады. Сондықтан қазіргі кезде ЖЖБ-ң аналитикалық әдістерін өңдеуге көбірек назар аударады. Соның ішінде жуық шешім алгоритмдері. Олар дамып жатқан ЭЕМ-ді қолданады. ЖЖБ әдістері АСУ-ң математикалық қамтамасыздандыруының құрама бөлігі ретінде кең қолданылады.
Желілі график құру
Желілі график салмас бұрын, элементарлы жұмыстардың және барлық кисынды байланыстардың реттелген тізімін жасау қажет. Сондай тізім сол кешенді жұмыстарға арналған құрылым-уақытша кесте түрінде ұсынуға ыңғайлы. Сол жерде барлық жұмыстарды орындалуға арналған
барлық элементарлық жұмыстар
алдыңғы жұмыстармен
бірге (тап осы жұмысқа арналған тіреу жұмыстармен) және уақытпен
жазылады (кесте 1) .
Кесте 1.



























және
жұмыстарына қарама-қарсы «Тіреу жұмыстары» графасындағы жазулар барлық жұмыс кешендерінің бастапқы жұмыстары болып келетінін білдіреді. Жұмыстарды нөмірлеуі дәл осылай жақсырақ болады: тіреу жұмысының реттік нөмірі элементарлы жұмысының реттік нөмірлерінен азырақ болу керек, яғни құрылым кестесі реттелген болуы қажет.
Осы реттелген құрылым кестесінен желілі график салынады. Желілі графиктердің әр түрлі формалары болады. Оладың негізінде ЖЖБ теориясының әртүрлі нақты есептері мен мәселелері шешіледі.
Желілі графикте тілдермен элементарлы жұмыстар жиі белгіленед, ал сапты аяқтармен (түйіндермен) - оқиғалар. Олар аяғында бір немесе бірнеше жұмыстардан тұрады. Түйіндерді -
, тілдерді -
белгілей отырып, біз құрылым-уақытша кесте 1-ге сай желілі график аламыз (Сурет 1) .
Сурет 1.
Дәл осылай әрбір
жұмысымен
орындалу уақыты байлаулы. Кейін желілі графикті талдауға ыңғайлы болу үшін барлық жұмыс кешендерінің орындалу уақыты белгісі арқылы жұмыс
белгілеудің орнына тілдердерде лайықты уақытты
жазу ыңғайлы (сурет 2) .
Графикалық бейнелеудің басқа тәсілінде сапты аяқтармен (түйіндермен) жұмыстар, ал тілдермен олар арасындағы логикалық байланыстар белгіленеді. Бірақ кейін біз тек желілі графиктерді құрудағы тек бірінші тәсілін ғана қолданамыз, себебі сол тәсіл барлық жұмыс кешендерінің уақыт құрылымы және резерв уақытын талдауда мол лайықтырақ.
t 4 t 8 t 9
t 1 t 3 t 5 t 11
t 2 t 7 t 12
t 5 t 10
Сурет 2.
Сурет 3.
Желілі график салу кезінде келесі талаптарды орындау қажет:
- Әрқашан екі тек бір тілшемен қосылады. Ал егер нақты екі жұмыс бір уақыттаАiтүйінінде және екеуі деАi+1түйінінде бір уақытта аяқталса, сол кезде нольдік ұзақтықтылықтағы бұрыс жұмыс және параллель тілшелерден құтылу үшін бұрыс түйінАi+1енгізеді.
- Желілі графикте ешқай жерден шықпайтын және еш жерге кірмейтін тілшелер болмауы қажет. Барлық түйіндер, бастапқы және сонғысынан басқа, кіретін және шығатын тілшелері болуы керек. Ал егер сондай жалғыз бастар түйіндер пайда болса, олар бұрыс жұмыстармен бастапқы және соңғы түйіндермен қосылады.
Критикалық жол және уақыт резервтері
Барлық жұмыс кешендерін орындау үшін желілі графикті (сурет 2) минималды уақытты табуға байланысты талдайық. Бізге барлық
мәліметтері берілсін дейік (сурет 4) .
8 5 3
5 3 2 4
8 7 3
- 5
Сурет 4.
А 0 бастапқы түйіннен А 9 соңғы түйінге дейінгі барлық мүмкін өту жолдарын сурет 4-тен көрейік және соған қажет уақытты табайық. Сондай жолдар болып осылар табылатынына көз жеткізу қиын емес:
- А0→А1→А4→А6→А8→А9;
- А0→А1→А3→А4→А6→А8→А9;
- А0→А1→А3→А5→А7→А9;
- А0→А2→А5→А7→А9.
Сол жолдардағы өту уақыты сәйкесінше осылай болады:
- 5+8+5+3+4=25 күн;
- 5+3+2+5+3+4=22 күн;
- 5+3+7+5+3+=23 күн;
- 8+4+5+3=20 күн.
Сөйтіп, әрбір жол соңғы күйіне жету үшін әр түрлі уақытты қажет етеді.
Ең соңғы жол - ең қысқасы, бірақ, ол өзіне барлық жұмыс кешендерін аяқтауға арналған бүтін қатарлы жұмыстарды қоспайды. Ең ұзын жол да өзіне барлық жұмыстарды қоспайды, бірақ, 25 күн ішінде осы кешеннің барлық жұмыстары сөзсіз аяқталуы мүмкін. Сайып келгенде, осы 25 күн, бұл уақытта барлық кешенді жұмыс орындалуы мүмкін, сол минималды мезгіл болып табылады. Осы мерзімге сай бірінші жол критикалық жол деп аталады.
Барлық қалған жолдар, әрине, критикалық жолдан басқалары, айқындалынған өз уақыт резервтеріне ие болады (екінші күн үшін - 3 күн, үшіншісі үшін - 2 күн, ал төртіншісі үшін - 5 күн) . Кейбір жұмыстардың орындалуын, критикалық жолда жатпағандар, уақыт резерв Шегінде асықпай орындауға болады. Себебі, барлық жұмыс кешендерінің орындалуының мезгілі артпайды. Ал егер кез келген жұмыстың орындалу мезгілін арттырсақ, критикалық жолда орналасқандар (критикалық жұмыстары), онда барлық жұмыстың жалпы мезгілі критикалық жұмыстың орындалу мезіглінен асатын уақытқа артады,
ЖЖБ-нің басты ұғымы болып «Критикалық жол» саналады. Критикалық жол айқындалған кезде жұмыс кешендерін орындаудағы тар жерлері де айқындалады және басқа да жұмыс түрлерінің уақыт резервтерін айқындауға мүмкіндік пайда болады.
Мысалы, желілі графикке (сурет 5) уақыт осін тұрғызайық. Уақыт осіне әр түрлі ұзақтылықтағы жолдарды тұрғызу үшін, бізге а 5 ’ , a 6 ’ , a 10 ’ бұрыс жұмыстары (пунктирлі тілшелер) және А 4 ’ , A 5 ’ , A 7 ’ бұрыс түйіндерін енгізу қажет. Осы бұрыс жұмыстардың орындалу уақыты нөлге тең екенін біз білеміз, бірақ олар а 5 , а 6 , а 10 сәйкес жұмыстарының резерв уақыттарын еске алады. Басқа сөзбен айтқанда, барлық жұмыс кешендерінің ұзақтығын арттырмай, а 5 және а 6 жұмысының орындалу уақытын 3 күнге, а 10 жұмысын - 2 күнге арттыруға болады. Сонымен қатар, барлық мүмкін болатын төрт А 0 -ден А 9 -ға дейінгі өту жолдары критикалық болып келеді.
а 4 а 8 а 9
а 1 а 3 а 5 ’ а 11
а 5
5 10 15 20
t, дни
а 2 а 7 а 12
а 6 a 6 ’ а 10 a 10 ’
Сурет 5.
Сурет 5-те көрсетілген желілі графикті қолдану уақыт резерві бар критикалық жол және жұмыстарды ерекшелеуге мүмкіндік береді. Біз білеміз, критикалық жол - ол уақыт резерві жоқ жол. Желілі графикте сол жол жаппай тілшелермен көрсетіледі. Кез келген жолда пунктирлі тілшелердің пайда болуы, уақыт резервінің пайда болуын білдіреді. Мысалы, а 6 жұмысын орындаған кезде пайда болатын уақыт резерві а 3 жұмысын орындаған кезде қолданыла алады. Сол кезде а 6 жұмысын а 2 жұмысын аяқтағаннан кейін ғана бастай алады, үш күннен кейін. Сондай-ақ а 10 жұмысының уақыт резервін а 12 жұмысын аяқтағанда ғана қолданыла алады. Бірақ а 5 жұмысында алынған, а 3 жұмысын орындауға арналған уақыт резервін тек жарым-жартылай қолдана аламыз. Себебі, уақыт резервін критикалық жұмыстарда қолдану болмайды, сол себептен барлық жұмыс кешендерін орындау уақыт резервінің артуына әкеледі.
Уақыт резерві бар болған кезде желілі графикті ықшамдау осы резервтерін жақсы пайдалану арқылы мүмкіншілігі пайда болады.
ЖЖБ-і минимум шығындар критериі арқылы ықшамдау
Солай, барлық жұмыстар, критикалықтардан басқа, уақыт резервіне ие болады, солардың қолдануы барлық жұмыс кешендерінің мезгілін кемітуге рұқсат етеді. Мысалы, ЖЖБ есебінің шартында анықталған мезгіл Т 0 болған кезде, осы мерзім ішінде барлық жұмыс кешендері орындалуы қажет, сонымен қатар не қысқару, не арттыру орынды емес. Алдын ала графикалық және аналитикалық есептің шешімі барлық жұмыс кешендерінің минималды мезгілін Т кр және критикалық жолды анықтауға мүмкіндік береді. Осы жерде үш Арақатынас нұсқасы Т 0 және Т кр бола алады: 1) Т 0 > Т кр ; 2) Т 0 = Т кр ; 3) Т 0 < Т кр .
Бірінші жағдайында, ( Т 0 > Т кр ) резервтер барлық жұмыстарда болады, критикалықтармен қоса. Екінші жағдайында, ( Т 0 = Т кр ) резервтер тек критикалық еместерінде болады. Барлық резервтерді қолданудан бас тарту кешенді жұмыстарын орындау мол экономикалық (шығындармен оптималды) жоспарын қолдануға мүмкіндік береді. Босалған ресурстары осы кешенге байланысы жоқ жұмыстарды орындау кезінде қолданыла алады.
Үшінші жағдайда, ( Т 0 < Т кр ) резервтер крититикалық, кейбір немесе барлық критикалық емес жұмыстарда жоқ. Осы жағдайда барлық жұмыс кешенін қойылған мезгілде орындау үшін қосымша ресурстар қосу керек. Критикалық жұмыстарға қосып, сонда ол өзгерсе, қайтадан пайда болған критикалық жол жұмыста болады. Қосымша ресурстар қосылады, Т 0 = Т кр ’ шарт орындалғанша, мұндағы Т кр ’ - жұмыс кешенін орындаудағы қосылғаннан кейінгі жаңа минималды мезгіл. Оптималды болып мына жоспар саналады: салынған қосымша ресурстардың сомасы минималды болады.
Бір мысал қарастырайық, минимум шығын критериі бойынша анықталған мерзім Т 0 ішінде жұмыс орындаудың есебін ықшамдаудағы шарты Т 0 ≥ Т кр , осы есепті шешу үшін жұмыс кешенін орындаудағы уақыт резервін табу керек. Осы резервтер қарастырылған әдістермен анықталған деп ойлайық. Осы кезде бізді ең алдымен бос уақыт резервтеріне назар аударамыз, яғни бір жұмысты орындаған кездегі және басқа жұмыстарда қолдана алатын резервтер . Мұндағы,
Х i - кез келген i жұмысын орындауға жұмсалатын материалдық ресурстар;
x i - t=t i уақыт аралығында жұмсалатын ресурстар күші;
t i - i жұмысының орындалу уақыты.
Арақатынас мекенінің бар екені айқын : Х i = x i ∙ t i . i жұмысының орындалуына жұмсалатын жалпы шығындар оның орындалу уақытына байланысты емес деп ойлайыұ, яғни Х i1 = Х i2 , мұндағы Х i1 - t i1 уақыт аралығында i жұмысын орындаудағы шығындар; Х i2 - t i1 уақыт аралығында i жұмысын орындаудағы шығындар. Осы кезде біз мынаны аламыз: x i1 ∙ t i1= x i2 ∙ t i2 , мұндағы x i1 , x i2 - t i1 және t i2 ( t i1 - i жұмысын орындалуға кеткен алғашқы жоспарланған уақыты, t i2 > t i1 - осы жұмыстың орындалуына кеткен оптималды уақыты) уақыт аралығында жұмыс орындауға жұмсалатын ресурстар шығындарының күштілігі.
Жұмыстар орындалуына кеткен шығындар с i =f i (x i ) арақатынасының шығындар ресурстарының күштілігімен байланысты дейік. Сонда мезгілінің артуы кезінде жұмыс орындалуға кеткен шығындардың өзгеруі былай жазылады:
∆ с i = с i1 -с i2 = f i (x i1 ) - f i (x i2 ) .
Мағына бойынша есеп шарты ∆
с
i
≥ 0,
яғни ресурстар экономиясы болады және
x
i2
≤ x
i1
,
яғни жұмыс орындалу уақыты артады.
,
мұндағы
x
i
астынан шектелген,
t
i мах
-
максималды мүмкін
жұмыс орындалуының уақыты, осы кезде
Т
кр
Т
0
-дан көп болмайды. Осындай жағдайда, ∆
с
i мах
мөлшерінің максимум нүктесі болып
x
i2
нүктесі тағайындалады
,
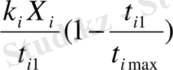
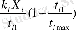
i жұмысының орындалуына кететін мезгіл экономиясы бойынша ол оптималды болып келеді:
.
Бар жұмыстарда ∆ с i мах барлық максималды экономия мөлшерін қосып, біз оптималды желілі жоспарға байланысты толық экономияны аламыз:
с мах = Σ∆ с i мах .
Т кр < Т 0 кезде осы сомаға критикалық емес, сонымен қатар критикалық жұмыстар кіреді, Т кр = Т 0 кезде критикалық жұмыстар оған кірмейді, себебі олар үшін t i1 = t i мах , x i2 = x i1 және ∆ с i = 0 бар.
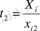
Келтірілген мәселелерді ресурс шығындарының күштілігінен сызықты тәуелділік материал шығындары с i мысалында қарастырайық, с i =к i ∙ x i , к i - кейбір тұрақты коэффициент, яғни f i (x i ) = к i x i .
x
i2
минималды болса, ∆
с
i
= к
i
(
x
i1
- x
i2
) мөлшері максимум нүктесіне дейін желеді, яғни
x
i2
=
болғанда;
сондықтан
∆
с
i мах
=
;
с
i мах
=
.
Т кр < Т 0 кезде қанша дегенде кейбір критикалық жұмыс үшін t i мах > t i1 және мөлшері ∆ с i мах > 0; критикалық емес жұмыстар үшін шарт боцынша әрқашанда t i мах > t i1 және ∆ с i мах >0. Солай барлық ∆ с i мах критикалық және критикалық емес жұмыстар үшін қосқанда, материалдар экономиясын ықшамдалған желілі жоспармен салыстырып табамыз.
Т кр = Т 0 кезде критикалық жұмыстар үшін t i мах = t i1 , сондықтан ∆ с i мах = 0. Критикалық жұмыс арқылы экономия алуға болады, яғни с мах қосындысына критикалық жұмыстардан басқа барлық жұмыстар кіреді
с
мах
=
Σ
.
Осы жағдай формулада автоматты түрде өзгеретіндіктен (
t
i
мах
=
t
i1
болғанда
), қосындыны барлық жұмыстарда жүргізе аламыз, бірақ критикалық жұмыстарға кіретін қосылғыштар міндетті түрде жоқ болады.
Практикалық есеп-қисаптарда үзілмес функцияларының f i (x i ) қолданылуы, және міндетті түрде сызықтық функция түрі к i x i , жинақталмаған. Жиі шығын мөлшерін әр түрлі жұмыс өткізу шарттары бойынша кейбір дискретті мағынада көрсетеді. Оларды салыстыра отырып біз жуықша оптималды желілі жоспар құра аламыз және оларға лайықты экономияны көрсетеді. Сурет 4 пен 5-те көрсетілген желілі графикті пайдалана қарапайым сандық мысалды қарастырайық.
... жалғасы- Іс жүргізу
- Автоматтандыру, Техника
- Алғашқы әскери дайындық
- Астрономия
- Ауыл шаруашылығы
- Банк ісі
- Бизнесті бағалау
- Биология
- Бухгалтерлік іс
- Валеология
- Ветеринария
- География
- Геология, Геофизика, Геодезия
- Дін
- Ет, сүт, шарап өнімдері
- Жалпы тарих
- Жер кадастрі, Жылжымайтын мүлік
- Журналистика
- Информатика
- Кеден ісі
- Маркетинг
- Математика, Геометрия
- Медицина
- Мемлекеттік басқару
- Менеджмент
- Мұнай, Газ
- Мұрағат ісі
- Мәдениеттану
- ОБЖ (Основы безопасности жизнедеятельности)
- Педагогика
- Полиграфия
- Психология
- Салық
- Саясаттану
- Сақтандыру
- Сертификаттау, стандарттау
- Социология, Демография
- Спорт
- Статистика
- Тілтану, Филология
- Тарихи тұлғалар
- Тау-кен ісі
- Транспорт
- Туризм
- Физика
- Философия
- Халықаралық қатынастар
- Химия
- Экология, Қоршаған ортаны қорғау
- Экономика
- Экономикалық география
- Электротехника
- Қазақстан тарихы
- Қаржы
- Құрылыс
- Құқық, Криминалистика
- Әдебиет
- Өнер, музыка
- Өнеркәсіп, Өндіріс
Қазақ тілінде жазылған рефераттар, курстық жұмыстар, дипломдық жұмыстар бойынша біздің қор #1 болып табылады.

Ақпарат
Қосымша
Email: info@stud.kz