Темір бетон мен қақпа жаппаны шептік жағдайын есептеу және есептік жүктемеде пайда болатын ригельді ішкі күштерді анықтау


Мазмұны
Кіріспе
- Темір бетон мен қақпа жаппаны шептік жағдайын есептеу. Жаппаның көлденең қимасы. Нормативтік және есептік күштер. Нормативтік және есептік жүктемеден пайда болатын ішкі күштер. Бетон мен арматураның беріктігінің сипаттамалары. Есептік жүктеменің әсерінен пайда болатын иілу моментінің мағынасы бойынша плитаны есептеу. Плитаны көлденең күштің әсеріне есептеу. Плитаның полкасын жергілікті иілуіне есептеу. Плитаны көтергенде және монтаждағанда пайда болатын иілу моментінің әсеріне есептеу. Қырлы плитаны екінші шектік топ бойынша есептеу.
2 Есептік жүктемеде пайда болатын ригельді ішкі күштерді анықтау.
2. 1 Бетонның арматураның биіктігі қасиеттері.
2. 2 Ригельдің көлденең қимасының өлшемдерін анықтау.
2. 3 Ригельді бірінші шектік топта есептеу.
2. 4 Көлденең арматураның есебі.
2. 5 Байлық жұмысшы арматураның үзілетін орындарын анықтау.
3. Бір қабатты өндірістік ғимараттың колоннасын есептеу.
4. Іргетасты есептеу.
Кіріспе
Қазіргі кезде күрделі темірбетонды арқалықты қолданылады. Барлық күрделі құрылыстарды темірбетонды арқалық материалдық ресурстарды шамамен 25%, осы кезде болат конструкциясы 3%, ал орман және ағаш өңдеу өндірістерінде 13, 5% қолданылады. Жыл сайын 250млн. м 3 темірбетонды конструкцияны дайындайды. Ол көлемде 15 млн тонна болатты, арматураны және 80мл тонна цементтен шығындалады. 1285 жылы құрылысты темір бетонды орамды материалдардан 75 млн м 3 -ты, кірпіштен 40 млд шт, болатты конструкциядан 5 млн тоннаны, сонымен қатар цемент құрылымдарын, трубаларды және т. б. -сын қысқартты.
Күрделі құрылыстарды конструкциялық ірі панельдерді, блоктарды және ұсақ түйіршіктер табиғи және жасанды тастарды қолданылады. Құрылыс конструкцияларының пайда болуы қоғамның материалдың тұрмысымен және өндіргіш күштерінің өсуінен пайда болды. Ең 1-ші өңделмеген тастан жасалатын ғимараттар алғашқы тас ғасырында жасалған. Соңынан күйдірілген тастарды пайдалана бастады.
1850-1855 жылдарда темір бетон конструкциясын пайдалана (отырып, бірнеше) бастады, өйткені темір бетон бірдей уақытта, бірнеше елдерде Англия, Франция, Германияда пайда болды. Сығылуға жұмыс жасайтын металл конструкцияны 1 тен деп атайды. Отқа төзімді темір бетон және тас конструкциялары отқа төзімді. Металл конструкциялары отқа төзімсіз.
Біз 3 курстан бастап әртүрлі мамандық түріне байланысты сапалы пәндерді оқи бастаймыз, соның бірі- «құрылыс конструкциялары».
Осы оқу жылында бетон әлементерді есептеп, «құрылыс конструкциялары» пәнінен курстық жұмыс дайындауымыз керек. Бұл жұмыс құрылыс конструкцияларының темір бетон бөлімі бойынша орындалады.
«Темір бетон конструкциялары» курсын меңгеруге қойылатын талаптар:
- бетонның, арматураның және бетонның физико-механикалық қасиеттерді меңгерген көңіл бөлетін жәйт, ол бетонның, арматураның және темір бетонның қасиеттері: бетонмен арматураның беріктігі, бетон мен болаттың серпімді жылжымалы деформациясы; әсер: арматурамен бетонның ілінуі; әдетте және алдын-ала кернеуленген конструкцияларда қолданылатын арматура бұйымдары.
1. Темір бетон қырлы жапаның шектік жағдайын есептеу
Өндіріс үйіне темір бетон қаңқасының элементтерін - қырлы жаппа, ригель, бағасынан және іргетас шектік жағдайлардың 2 тобы бойынша есептеу керек және арматуралық сызбасын ватман қағазына және миллиметровкаға сызу керек.
1. Темір бетон қырлы жаппаның шектік жағдайының 2 тобы бойынша есептеу. Берілген мәліметтер қырлы жаппаның өлшемдері.
Жаппаның есептік аралығы: ℓ 0 =5, 5 м һ ƒ = 0, 08м
Қырлы жаппаның ені: В=1, 8 м
Еденнің салмағы Р 1n =8, 0 кН/м 2
Нормативтік күштер:
кН/м
2
Материал: Ұсақ түйіршікті бетон В 25
Байлық жұмысшы арматура А II
Монтандық және көлденең арматур. А II Вр I
Қырлы жаппаның есептік схемасы және көлденең қимасы жаппаның көлденең қимасы.
- жаппа енінің конструктивті өлшемі.
В - номиналдық өлшем
см.
һ = 300 мм = 30 см деп қабылдаймын.
в р =65 мм егер = 300 мм болса в = 2 · вр + р =2 · 65 + 10 = 140.
Қырлы жаппа 2 қаңқа Кр 1 және 2 тормен С 1 және С 2 арматураланады. Қаңқалармен торлар дәнекерленген. Қаңқа Кр 1 жұмысшы бойлық жұмысшы арматура 2 монтаждық арматураны 3 біріктіреді, бойлық жұмысшы арматура иілу моменті әсеріне есептеліп қойылады, ал көлденең арматура 2 көлденең күшке осьтеледі.
Тор С 1 -да арматура 4-ші және таратушы арматура 5 орналасады. Жұмысшы арматура жаппа папканың жергілікті иілу есебі бойынша алынады, ол арматураны есепсіз қояды.
Есептер жүргізу үшін қырлы жаппаның көпденең қимасын ТАВР жеңілдетілген есептеулер жүргізуге ыңғайлы түрінде қабылданады.
1. 2. Нормативтік және есептік күштер
Нормативтік күштердің есептеу үшін бетонның келтірілген қалыңдағын һ 2 индексін анықтаймыз.
м.
1. 2. Есептік күштер
Есептік күш
кН/м 2









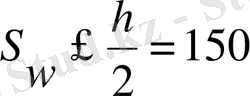
мұндағы һ пр - плитадағы бетонның келтірілген қалыңдығы. Ол плитаның көлденең қимасының ауданын -А 1 плитаны еніне В бөлу арқылы анықталынады.
1. 3 Нормативтік және есептік жүктемелерден пайда болатын ішкі күштер
Жүктеме күштердің әсерінен жаппаның қималарында иілу моментінен көлденең күштер пайда болады.
Иілу моментінен көлденең күштері жаппаның ұзындығының ортасында ал ең көп мөлшерге көлденең күш жаппаның тірегінің тұсында болады.
Жаппаның 1 м ұзындығына түсетін күш күш 1м 2 -қа түсетін күшті жаппаның еніне көбейту арқылы анықталады. Ғимараттың тағайындалуы бойынша сенім коэффициент γ = 0, 95.
Нормативті тұрақты және ұзақ мерзімді күштерден
км·м
км·м
Нормативтік толық күштерден
км·м
км·м
есептік күштерден
км·м
.
Есептік жүктеменің М және Q эпюрасы
1. 4. Бетон мен арматураның беріктігінің сипаттамалары. Қырлы плитаны 1 және 2-ші жағдайда есептеу үшін бетон мен арматураның есептік кедергісін оқу құранының (2) бойынша анықтау керек.
Бетонның осьтік сызылуы:
кН/см
2
кН/см
2
Бетонның осьтік созылуы:
кН/см
2
Серпімділік модулі:
кН/см
2
кН/см
2
Жұмысшы арматура клссы:
кН/см
кН/см
2
1. 5. Есептік жүктеменің әсерінен пайда болатын иілу моментінің әсерінен мағынасы бойынша плитаны есептеу
Жаппаның есептік көлденең қимасы товр қимасы болып алынады. Ал оның полқасы сығылу бөлімінде орналасқан. Есепке кіргізілетін В 1 папкасының қимасының құламасының еніне байланысты тағайындалды.
Құламаның, таврдың қырына жан-жаққа құламасы
0
көп болуы тиіс немесе
егер
онда
егер
онда
мм
810 мм > 0, 1·30 мм = 30 мм
Қосылу бойының төменгі шегі бойынша тавр қимасының ені есептік жағдайын қарастырмыз: қосылу төменгі шегі тавр қимасынан өтеді
Есептік жағдай тепе-теңдікпен анықталады.
кН/см
2
· 136 см · 6 см (27 см · 0, 5 · 6 см)
11612км см <43084, 8 км см
һ 0 - қимасының есептік биіктігі бетонның сығылуы бетінен арматураның салмақ центріне дейінгі қашықтық.
һ 0 = һ-а, мұндағы а = 30мм деп қабылдап
һ 0 =300-30=270м
сонымен
см
2
- қажетті бойлық арматураның ауданы
28 мм АIII
= 12, 32 см
2
2 арматура қабылдаймын
мм
А sw = 7мм деп қабылдаймын.
см
2
а) һ≤450 мм б) һ>300 мм
300<400 мм
м
мм.
1. 6 Плитаны көлденең күштің әсеріне есетеу
Қырлы плитаның көлбеу қимасының көлденең күштің әсеріне, беріктігіне оның қырына арматура қою арқылы жеткізіледі. Қалыптағы бірлік өлшемге сәйкес тіреу маңындағы бөліктегі күшті анықтайды. Қалыптағы элементтердің бірлік ұзындығы бойынша пайда болатын ішкі күштері мынадай формуламен анықтаймыз.
кН/см
мынадай жағдай тексіріледі.
кН/см
мұндағы
см
Қалыптағы көлбеу жарықтың элементі бойлық оське түсетін проекциясын анықтау.
С - элементтің қалыпты көлбеу қимасының элементтің бойлық осіне проекциялау ұзындығы,
С 0 - қауіпті, көлбеу жарықтың элементтің бойлық осьіне проекциялық ұзындығы.
Плитадан жарықтың аралығындағы көлбеук жазықтың биіктігін тексеру.
кН
мұндағы:
- плитаның бойлық осьіне нормаль қалыптардың әсерін көздейтін коэффициент.
ол 1, 3-тен артық болмауы керек.
мұндағы
- коэффициентін төменгі формуламен анықтайды:
= 1-β·R
в
= 1-0, 01·14, 5=0, 855
мұнда β - коэффициент ауыр және ұсақ түйіршікті бетондарға 0, 01-ге тең деп алынады.
R в - МПа болады.
1. 7. Плитаның полкасын жергілікті иілуге есептеу
Егер полкада көлденең қыры болмаса, полканың иілуге екі бойлық қырдың арасында болады. Полканың есептік схемасы және иілу моментінің элюрасы берілген.
мм
1.
2.
3.
4.
5. 5620- 2700 = 2920
6. 2920 : 200 = 14, 6 ≈ 14
7. 14 × 200 = 2800
8. 2920 - 2800 = 120
9. 120 : 2 = 60.
Полканың есептеу ұзындығы ℓ
n бойлық қырыны жарықтың ара қашықтығы тең деп алынады.
см
мұнда
папканың ені 1 мм-ге тең деп алынады. Полкаға әсер ететін есептік жүктеме мына формуламен анықталады.
мұнда q n - еденнің салмағы 1 кесте
- жүктеменің сенімділік коэффициенті.
кН/м
2
Полкаға әсер ететін жүктемені 2 кестеге сәйкес, ондағы
-ді
-қа ауыстырып алса болса.
ρ 1 және ρ 2 мәндерін 2-ші кестеден аламыз.
кН/м.
Полканы есептеу реті және С 1 торын құрастыру иілу моментін анықтау. Пластикалық жылжымалығын ескеріп оны былай анықтайды.
кН/см.
Келесі формулаға сәйкес
коэффициентін анықтайды.
кН/см
мұнда
= 100 см.
-ң мәндері бойынша 6-шы қосымшадан
, мәндерін табамыз, жағдай тексеріледі.
.
.
- Плитканы көтергенде және монтаждағанда пайда болатын цілу моментінің әсерін есептеу
Плитаны көтеру және монтаждау төрт ілгек арқылы жүргізіледі, олар плитаның бойлық қырында орналасады. Есептің мақсаты плитадағы монтаждық арматураны тағайындау және монтаждық ілгектің диаметрін анықтау.
Монтаждық арматураны тағайындау.
Есептік схема ретінде екі ілгектің арасына тең деп алынады, мысалы о, 61
мұндағы
деп алуға болады.
а = 0, 2 · 5, 8 = 1, 76 м.
Сурет. Плитаны көтергенде және монтаждағандағы есептік схемасы және иілу эпюрасы.
Мұнда плитаның меншікті салмағы жүктеме болып есептеледі
және ол динамикалық коэффициентке көбейтіледі. К=1, 4.
мұндағы
мм кесте бойынша анықталады.
Сол таңбалы иілу моментін анықтау.
кН·м
α m коэффицентін анықтау
шартты тексереміз.
Қажетті монтаждық арматураның ауданын анықтайды.
см
2
9-шы қосымшадан ø 10мм А- ΙΙ с А=1, 57 см 2 (2 ø 10 А- ΙΙ) А- ΙΙ маркасы 10гт (R 3 =280 МПа) және класты А-Ι маркасы В ст 3 сп 2 және В ст 3 сп 2 (RS = 225 МПа) қолданылады. Қажетті бірілгектің көлденең қимасының ауданын анықтайды.
4. Арматура тағайындаймын ø 8А-ІС.
1. 9. Қырлы плитаны екінші шектік топ бойынша есептеу
1. 9. 1. Плитаның бойлық осіне нормаль жарықтың ашылуын есептеу
... жалғасы- Іс жүргізу
- Автоматтандыру, Техника
- Алғашқы әскери дайындық
- Астрономия
- Ауыл шаруашылығы
- Банк ісі
- Бизнесті бағалау
- Биология
- Бухгалтерлік іс
- Валеология
- Ветеринария
- География
- Геология, Геофизика, Геодезия
- Дін
- Ет, сүт, шарап өнімдері
- Жалпы тарих
- Жер кадастрі, Жылжымайтын мүлік
- Журналистика
- Информатика
- Кеден ісі
- Маркетинг
- Математика, Геометрия
- Медицина
- Мемлекеттік басқару
- Менеджмент
- Мұнай, Газ
- Мұрағат ісі
- Мәдениеттану
- ОБЖ (Основы безопасности жизнедеятельности)
- Педагогика
- Полиграфия
- Психология
- Салық
- Саясаттану
- Сақтандыру
- Сертификаттау, стандарттау
- Социология, Демография
- Спорт
- Статистика
- Тілтану, Филология
- Тарихи тұлғалар
- Тау-кен ісі
- Транспорт
- Туризм
- Физика
- Философия
- Халықаралық қатынастар
- Химия
- Экология, Қоршаған ортаны қорғау
- Экономика
- Экономикалық география
- Электротехника
- Қазақстан тарихы
- Қаржы
- Құрылыс
- Құқық, Криминалистика
- Әдебиет
- Өнер, музыка
- Өнеркәсіп, Өндіріс
Қазақ тілінде жазылған рефераттар, курстық жұмыстар, дипломдық жұмыстар бойынша біздің қор #1 болып табылады.

Ақпарат
Қосымша
Email: info@stud.kz