Матеметикалық модельдеу әдісі


ЖОСПАР
1
КІРІСПЕ
1. 1 ӨНДІРІС ТҮСІНІГІ
1. 2 Өндіріс түрлері
1. 3 Өндірістік модель түсінігі
2
2. 1 ФИРМА МОДЕЛІ
2. 2 Шығарылым бағасының өзгеруіне байланысты өндірушілер іс-әрекеті
2. 3 Ресурстар бағасының өзгеруіне байланысты өндірушілер іс-әрекеті
2. 4 Ресурстар бағасы мен шығарылым бағасының бір уақытта өзгеруіне байланысты өндірушілер іс-әрекеті
2. 5 Бәсекелес нарықтарда кәсіпорындардың мінез-құлқы
2. 6 Курно тепе-теңдігі
2. 7 Стакельберг тепе-теңдігі мен теңсіздігі
2. 8 Есептеу бөлімі
2. 9 Қосымша
ҚОРЫТЫНДЫ
ҚОЛДАНЫЛҒАН ӘДЕБИЕТТЕР
КІРІСПЕ
Матеметикалық модельдеу әдісі - түрлі үрдістер мен жүйелерді зерттейтін күшті құрал болып табылады.
Өндірістік модель - өндірүшілерге сатып алушылармен тікелей жұмыс жасауға мүмкіндік береді, яғни өнім немесе қызметті көрсететін кәсіпорындарда, міне, осылай дистрибьюторлық арналарды қысқартады. Өндірістік модель тұтынушыларға қызмет етуде нәтижелік, жақсартылған және тұтынушылардың дұрыс, нақты түсінігінің талғамы негізінде құрылады.
Бұл тақырып актуальды болып саналады, әсіресе, қазіргі нарық жағдайын алсақ. Кәсіпорынның табысы, келешегі және жалпы нарықтағы орны, кәсіпорын таңдаған модельге тікелей байланысты. Жалпы айтқанда, модель - бұл шешім қабылдау мақсатымен, жеңілдетілген жүйе көрінісі болып табылады. Модель арқылы кәсіпорын басқарушылары стратегиялық мақсаттарды анализдеп, оларға жету жолдарының оптималды таңдауын жасауға және салыстыруға мүмкіндік береді.
Курстық жұмыстың бірінші бөлімінде өндіріс түсінігі және кәсіпорынның өндірістік жүйесі сипатталған. Сонымен қатар өндіріс түрлері мен өндірістік модельге және жалпы модельге анықтама беріп, модель мақсаттары мен ол "не үшін керек? " деген сұраққа жауап бердім. Ал, осы мәселелерді Өндірісті ұйымдастыру (Фатхудинов Р. А), Кәсіпорын экономикасы (Горфинкель В. Я) атты оқулықтар және «Өндіріс модельдері» деген іздеу сайттарынан, интернет жілісін қолдандым.
Екінші бөлімде табысты максимизациялауға негізделген өндірушілердің мінез-құлық модельдері қарастырылады. Сонымен қатар түрлі жағдайларға байланысты өндірушілердің іс-қимылын суреттеймін. Бұл Математикалық экономика (Колемаев В. А) деген әдебиетте қарастырылады.
Қорытынды бөлімде, Экономика-математикалық әдістер және қолданбалы модельдер (Федосеев В. В) атты оқулық қолданылады.
1. ӨНДІРІС ТҮСІНІГІ
Өндіріс - бұл материалдық игіліктерді жасау, яғни қоғамның дамуы мен өмір сүруіне қажетті процес болып табылады.
Өндіріс мазмұны еңбек қызметін анықтайды және ол үш құраушыдан тұрады:
- мақсатты қызмет немесе еңбектің өзі;
- еңбек заттары, яғни адамның барлық рационалдық бағыттағы еңбегі (шикізаттар, материалдар, жартылай фабрикаттар және тағы да басқалар) ;
- еңбек ( машиналар, құрал-жабдықтар және тағы да басқалар) заты (жарақ), яғни олардың көмегімен адам еңбек заттарын өзгертіп, өзінің қажеттіліктерін қанағаттандыру үшін бейімдеу болып табылады.
Өндірістің материалдық тауары - материалдық игілік, яғни ол табиғи зат пен еңбектің бірігуін білдіреді.
Қазіргі замаңғы өндірістің дамуы үзіліссіз ғылыми-техникалық прогреспен байланысты және оның негізгі мазмұны болып, ақпараттандыру мен өндірісті автоматтандыру болып табылады.
Әр кәсіпорын өндірістік бөлімшелерден тұрады - цехтардан, учаскілерден, шаруашылыққа қызмет етушілерден, басқару органдарынан. Кәсіпорынға сонымен қатар мекемелер мен кеңселер кіруі мүмкін, олар жұмысшылар мен олардың жанұяларының қажеттіліктерін қанағаттандыруы тиіс.
Кәсіпорынның өндірістік бөлімшелері - цехтар, учаскілер, шаруашылыққа қызмет көрсетуші және жұмыстар, жанама немесе тікелей өндірістік процеске қатысады, олардың арасындағы байланыс, жиынтық қосындыда қабылданған кәсіпорынның өндіріс жүйесін құрайды.
Ол өндірістік еңбек дәрежесін және өндіріс шығыстарын, эксплуатацияның тиімділігі мен материалды өндірістегі берілген техника-экономикалық және экономикалық-географиялық шарттарындағы табиғи байлық пен техниканы қолдануы алдын-ала анықтайды. Кәсіпорының жалпы жүйесінің түсінігі кең болып табылады. Ол өзіне өндірістік бөлімшелердің бүкіл комплексін құрайды, кәсіпорынды басқару мен жұмысшыларға қызмет көрсету мекемелері, сонымен қатар олардың саны, байланысы және жұмысшылардың саны бойынша бір-бірімен қатынасы, бос емес аудандардың көлемі мен шығарылым қабілеттігі де кіреді . Осыған қатысты өндірістік бөлімшелерге цехтар, учаскілер, лабораториялар кіреді, олардың ішінде жасалады, бақылау тексерістері жүргізіледі және кәсіпорынның шығаратын негізгі тауары сыналады, басқа жақтан алынған жинақталған бұйымдар қолданылады, материалдар мен жартылай фабрикаттар, эксплуатация кезінде қосалқы бөліктер, бұйымдарға қызмет ету мен ремонт жасау үшін де қолданады. Сонымен бірге техникалық мақсаттар үшін түрлі энергия түрі жасалады және тағы да басқалары.
Жұмысшыларға қызмет көрсету бөлімшелеріне мыналар жатады: техникалық оқыту мен оқу орындары, олар өндірістік квалификацияның жоғарлауымен және жұмысшылардың білім мен мәдениет дәрежесімен, сонымен бірге инженер-техникалық жұмысшылармен айналысады. Яғни, қызмет көрсету бөлімшелерге тұрғын-үй коммуналды мекемелері мен салалары, асханалар, буфеттер, балалық мекемелер, пансионаттар, демалыс үйлер, профилакторилер, медсанчастер, ерікті түрдегі спорттық ұйымдар мен тағы да сол сияқтылар жатады, егер мұндайлар болса және кәсіпорын балансын құрайтын жағдайда болады.
Әр кәсіпорын үшін рационалды өндірістік және қоғамдық жүйені құру мақсаты тұрады. Бұл келесі тәртіппен орындалуы тиіс:
1) Кәсіпорының цехтар құрамы жасалады және олардың масштабтарындағы күштілік дәрежесі белгіленеді, ол келешек шығарылым тауарды қамтамасыз етеді;
2) Әр цех, қойма үшін аудан есептелінеді және кәсіпорынның негізгі жоспарындағы олардың кеңістігі де анықталады;
3) Кәсіпорын ішінде барлық транспорттық байланыстар мен олардың сыртқы жолдары арқылы жасалған іс-қимылдары жоспарланады;
4) Өндірістік процес кезінде цехтар арасында еңбек заттары қозғалысының оптималды маршируттары таңдалады.
Кәсіпорынның негізгі өндіріс жүйесінің бірлігі болып - цех (немесе учаскі) саналады, жекелеген әкімшілік қатынасындағы буын, яғни өндіріс процесінің жалпы нақты бөлімін іске асырады.
Машина жасауда, басқа салаларда сияқты цехтар төрт топқа бөлінеді: негізгі, жанама, тауарды орау және соққы.
1. 2 Өндіріс түрлері
Өндіріс түрі түсінігінде мекеменің комлекстік ерекшеліктерін және өндіріс экономикасы мен техникасын сипаттау болып табылады. Өндіріс түрлеріне түрлі факторлар әсер етеді: номенклатураның кеңдігі және мамандану дәрежесі, өндіріс масшатабы, шығарылатын тауардың тұрақтылығы және тағы да басқалар.
Өндірістің үш түрін ерекше бөледі:жекелік, сериялық және жаппай өндіріс. Жекелік өдіріс кішкене ( бір ретті) ғана түрлі және тұрақсыз тауар көлемінің шекті тұтынушылар үшін өнім номенклатурасымен сипатталады. Әдеттегідей мұндай тауар қайта шығарылмайды және жөңделуі де ескерілмейді. Сериялық өндіріс бір уақыттағы сериялық, біркелкі кең номенклатуралық тауардың шығарлуы, оның шығарылымы белгілі мерзімде қайталанып шығарылады. Сонымен қатар серия деп конструктивті бірдей бұйымдарды, өндіріске бір уақытта партиялармен (сериялармен) немесе жүйелі түрде, үздіксіз нақты жоспарланған мерзімде шығарылуын атайды.
Жаппай өндіріс үздіксіз және ұзақ мерзімге шекті номенклатураның біркелкі тауарды маңызды көлемде шығару.
Өндіріс түрлерінің салыстырмалы сипаты, №1 кестеде көрсетілген.
№ 1 Кесте
Ө н д і р і с т ү р л е р і
Кестеден көріп отырғанымыздай, өндірістің жекелік және ұсақ сериялық түрлері детальдарды жасау және шексіз бұйымдардың кең номенклатурасымен сипатталады. Бұл өндірістің түрі икемді болуы қажет, өйткені мұнда шығарылымның қайта шығарылуы болмайды, еңбек заттарының операциядан операцияға жүйелік түрде көшу болады. Құрал-жабдықтардың әмбебап түрі ғана қолданылып, ол қажетті кең номенклатураның детальдарды жасауға мүмкіндік береді. Операцияға жоғары мамандандырылған жұмысшылар ғана қатыса алады, өйткені олар жұмыстың түр-түрін орындай алады және орындайды. Өндірістік учаскілер технологиялық принцип бойынша жасалып, ал құрал-жабдықтар біртекті топтар бойынша қойылады. Жекелік және ұсақ сериялық өндіріс шарттарында оперативті өндіріс жоспарлауына талаптар арытады. Бұл жерде өндіріс процесінде болатын операцияның әр детальдарына қатаң бақылауды жүргізу қажет. Сонымен қатар жұмыс орындарын толығымен қамтамасыз етуде кейбір қиындықтар туындайды.
Өндірістің жекелік және ұсақ сериялық түрлерінің шарттарында шығарылатын детальдар мен жалпы бұйымдардың өзіндік құны өседі. Бұл негізінен жоғарғы еңбек өнімділік пен сәйкесінше өзіндік құн жүйесіндегі жұмысшылардың еңбек ақысының жоғарғы шығындары есебінен болады. Сондықтан бұл жерде негізгі мақсат болып, қабілеттілігін сәйкес мекеменін еңбек және өндірісте сериялық әдістерді қолдану болып табылады, ол негізінен коструктивті детальдардың құрылғыларын және жалпы бұйымдарды қолданудан жүзеге асады.
Сериялық өндіріс детальдардың кең номенклатурасымен, яғни олардың партия және сериялармен шығарылуымен сипатталады. Бұл шығарылым периодты түрде қайта шығарылады, ол ерекше және әмбебап құрал-жабдықтармен бірге жоғарғы өндірістік құрал-жабдықтарды пайдалануға мүмкіндік береді. Еңбек заттары паралель жүйелік түрде көшіріледі, яғни өндірістік шарттарға сәйкес және станоктар алдында шекті детальдармен ғана операция жасалынады, ал құрал-жабдықтың өзі конструктивті және техникалық біртекті детальдарды өңдеу бойынша топтарда сипат алады. Нәтижесінде өндірістің сериялық түрінің шартын, жекелік түрмен салыстырғанда, бұйымдарды жасау еңбек бірлігі мен олардың өзіндік құны төмендейді, яғни детальдарды жылдам өңдеу кезінде, өндірістегі бітпеген өнім көлемін бітіруге мүмкіндік болады. Мекемедегі өндірістің сериялық түрін жаппай өндіріске жатқызуға болады.
Жаппай өндіріс - жоғарғы өндірістік және ең тиімді болып саналады. Негізгі артықшылығы болып, шекті номенклатуралық детальдар саны мен маңызды көлемдегі және тұрақты түрде қайта шығарылуыменен сипатталады. Бұл өндірісте ерекше және жоғарғы өндірістік құрал-жабдықты пайдалануға мүмкіндік беріп, ол технологиялық процестің детальдарын өңдеу жолында іске асады. Мұндай жағдайда өндіріс процесін максималды механизациялау мен автоматтандыру мүмкіндігі туылады. Сонымен қатар автоматты ағымдық сызықтарды қолдану да болады. Әр станок алдында бір-екі операция ғана бекітіліп, орта деңгейлі жұмысшыларды қолдануға болады. Операциядан операцияға еңбек заттарын көшіруде паралельді әдісі кең түрде пайдаланылады. Жаппай өндіріс шарттарында нақты оперативті өндірістік жоспарлаудың мәңі арытады. Сондықтан жаппай өндіріс үнемді болып саналады, және сәйкесінше шығарылатын өнімнің өзіндік құны төмен болады.
Әрине, өндірістің түрін қолдануының таңдауы, номенклатуралық ерекшеліктермен және жоспарланатын өнімнің көлеміне тікелей байланысты болады. Сонымен қатар өндірістің сериялық элементтерін өндірістің жекелік түрінде, ал жекелік өндірісте жаппай өндірісті қолдануға талпыну қажет.
1. 3 Өндірістік модель түсінігі
Өндірістік немесе «тікелей модель» вебтің күшіне негізделген, яғни өндірущілерге сатып алушылармен тікелей жұмыс жасауға мүмкіндік береді (яғни немесе қызметті көрсететін кәсіпорын) осылай дистрибьюторлық арналарды қысқартады. Өндірістік модель - тұтынушыларға қызмет етуінде нәтижелік, жақсартылған және тұтынушылардың дұрыс түсінігінің талғамы негізінде болады.
Кәсіпорынды басқару альтернативті анализдеу мен шешімдерді қабылдаудан тұрады. Кәсіпорын экономикалық жүйе сияқты, көптеген параметрлердің сандарынан және олардың байланыстарынан құралады. Модельдеу сандардың ішінен айрықшыларды көрсетіп, яғни оларды басқару өзгерісіне қойылған мақсаттардың нәтижесіне тәуелді болып келеді.
Үлкен ақпараттың ұдайы түрде арытуы жағдайында дұрыс шешімді қабылдау үшін дұрыс модельді құру, әр кәсіпорын үшін критикалық факторы болып табылады.
Модель - бұл шешім қабылдау жүйенің оңайтылған көрінісі. Модельдің керектігін келесілерден көруге болада:
- нақты жағдай қиын болып тұр және шешім қабылдау үшін оны оңайлату қажет;
- нақты өмірде тәжірбиелерді өткізу мүмкін емес, яғни шешім қабылдағаның нәтижесін есептей алмаймыз;
- шешім қабылдау болашақ әрекеттер мен қызметтерге байланысты, оларды болжау қажет.
Кәсіпкер модель арқылы стратегиялық мақсаттар мен оларды іске асыру жолдарының ең оптималды таңдауды жасауға мүмкіндікті береді.
Өндірістік модельдің құру мақсаты болып, менеджерлерді түрлі өндірістік процестердің, техникалық кезеңдердің бағасы туралы ақпаратпен қамтамасыз ету және бітпеген өндірістегі қалдықтар бағасын және берілген шектілікте өндірістік жоспарды есептеу болып табылады.
Модельдеудің математикалық әдісі түрлі процестер мен жүйелерді зерттейтін құатты құрал болып саналады. Яғни математикалық экономиканың заты - нақты экономикалық объектінің математикалық модельдері болады.
Математикалық модель - математикалық қатынастардың жиынтығы.
Модель - зерттеуге берілген негізгі объектінің ең маңызды қасиеттерін көрсететін және оның орнын толтырады. Егер экономиканы модельдің объектісі ретінде қарастырсақ, онда модельдің ерекшелігі ретінде келесілерді атауға болады:
- Экономикалық техникада кең түрде қолданылатын модельдердің болуы мүмкін емес;
(Мысалы: гидроулз копиясы, 1:1000 масштабы)
- Экономикада локальды экономикалық тәжірбие саны өте төмен, өйткені оның барлық бөлімдері бір-бірімен өте тығыз байланысты, яғни «таза тәжірбие» мүмкін емес.
Математикалық модельдің фундаменті болып - концептуалды модель саналады. Орта немесе ұзақ уақытқа созылатын тікелей тәжірбиелердің теріс нәтижелерін нақты болжауға мүмкін емес. Оның нәтижелерін тек концептуалды модель арқылы негізінде ғана, яғни бұрыңғы тәжірбиеге сүйене болжамды жасауға болады. Осыдан дұрыс және тиімді экономикалық шешім қабылдау үшін, бұрыңғы тәжірибе мен концептуалды модель арқылы алған нәтижелерді және математикалық модельдерді, сонымен бірге экономикалық нақты жағдайды да ескеру қажет.
Бұл бөлімде өндірушілердің мінез-құлық модельдері қарастырылады, табысты максимизациялауға негізделген. Бірақ мұндай критерий әмбебап болып есептелінбейді. Ағымдық табыстың максимизациясы кәсіпорынның даму стратегиясының болжамына қатынасты болу керек. Мысалы, егер бір жағдайларда негізгі мақсат болып, кәсіпорынды өндірістік ұйым ретінде сақтау болса, онда табыстың максимизациясы критериі «тіке орындалуда» жарамсыз болып табылады. Енді кәсіпорын жедел жағдайларда жұмыс істейді деп жорамалдайық. . Онда олардың мінез-құлқы табысты максималдаумен байланысты талпыныспен анықталады.
- ФИРМА МОДЕЛІ
Өндірістік кәсіпорын өнімнің бір немесе бірнеше түрін шығарады дейік, бірақ ұдайы құрылымда, онда кәсіпорынның жылдық шығарылымы натуралды-заттық формада болады. х - бір өнім түрінің саны немесе көп номенклатуралы агрегаттар саны.
Өнім өндіру үшін кәсіпорын нағыз еңбекті L қолданады (жұмысбастылықтың орташа жылдық саны немесе адамның жыл ішінде жұмыс жасаған сағаты) және бұрыңғы еңбек К заты түрінде (негізгі өндірістік фондтар) және еңбек заттары М (жыл ішінде қолданылған жанармай, энергия, шикізаттар, материалдар, құрылғылар және тағы да басқалар) .
Осы үш агрегатталған ресурстардың әрқайсысы (еңбек, фондтар және материалдар) нақты түрлі сандық түрлері болады. (түрлі еңбек кваливикациясы, әр түрлі жабдықтың түрі және тағы да басқа) .
түрлі ресурстардың мүмкін болатын шығын көлемін вектор-бағанмен белгілейік. Онда кәсіпорын технологиясы оның өндірістік функциясымен анықталып, яғни шығарылым мен ресурс шығындары арасындағы байланысты көрсетеді.
. (1. 1)
екі ретті үздіксіз-дифферацияланған және неоклассикалық болып саналады. Сонымен қатар оның екінші өндірістік матрицасы теріс анықталған.
Егер өнім бірлігінің бағасы
- ға тең болса, ал
түрдің ресурс бірлігінің бағасы
,
, онда шығын вектордың әрқайсысына Х табыспен жауап береді.
, (1. 2)
Мұндағы,
- ресурс бағасының вектор бағамы.
Ресурстардың бағасы табиғи және түсінікті мағынаға ие: егер
-анықталған жұмысбастылық мамандарының орташа жылдық саны болса, онда
- берілген мамандық бойынша бір жұмысшы күшінің жылдық еңбек ақысы болып табылады; егер
- сатып алынатын материалдар (жанармай, энергия және тағы да басқалар), онда
- берілген материалдардың сатып алынатын баға бірлігі; егер
- өндірістік фондттардың нақты түрі, ал
- фондттар бірлігі үшін немесе фондттар бірлігінің қуаттау бағасы, жөнділік кезде жылдық жал төлемі, егер кәсіпорын осы қаражаттарға ие болса.
(1. 2) - де
- кәсіпорының жылдық шығарылым бағасы немесе оның жылдық табысы,
- өндіріс шығысы немесе жыл бойы ресурстар шығынының бағасы.
Егер өндірісте қолданылатын ресурстардың мөлшеріне басқа шектер болмаса, олардың табиғи терістігі туралы болмаса, онда максимум табысқа деген мақсат, келесідей болып көрінеді:
(1. 3)
Бұл есеп сызықтық емес бағдарламаның
теңсіздігі туралы шарттарымен
, мұның шығару шартының бірі, Кун-Таккер шарты болып табылады:
(1. 4)
Егер оптималды шығару кезінде ресурстардың барлық түрлері қолданса, яғни
, онда (1. 4) шарты, келесідей болады:
, (1. 5)
немесе
,
,
Яғни, оптималды нүктеде бұл ресурстардың шекті өнімнің бағасы оның бағасына тең болу керек.
Тура осылайша, берілген шығыс көлемі бойынша максимум шығарылымды шешеміз:
,
,
. (1. 6)
Бұл сызықтық емес бағдарламалау есебінде бір сызықтық шекпен теріссіздік ауыспалылық шарты бар. Теория бойынша ең біріншіден Лагранж функциясын құрамыз:
,
Содан кейін ауыспалылардың теріссіздік шартымен оны максималдаймыз. Ол үшін Кун-Таккердің шарты орындалуы тиіс:
(1. 7)
Егер
, онда көріп тұрғанымыздай (1. 7) шарты (1. 4) -пен толық сәйкес болып тұр.
(1. 3) кәсіпорынның табысынының максимумын есептей отыра, жалғыз ғана ресурстардың оптималды түрін табамыз
(біз терімге барлық ресурстар кірген жағдайды қарастырып отырмыз) . Бұл терімге жалғыз шығыстың мәңі
ғана жауап береді. Енді (1. 6) есепті шығарайық.
берілген шығыспен, шығарылымның максимумы. Егер
- неоклассикалық өндіріс функциясы болса, онда оптималды шешімде
, және де бұл тек қана осы шешім бола алады.
Сонымен бір жақтан,
ал басқа жақтан -
Өйткені
және
, онда
, бірақ
сондықтан
болады.
(1. 3) есептің шешімі жалғыз болғандықтан, онда
болады.
Сөйтіп максимум табысқа берілген есептің жалғыз шешімі
болса, онда оған
берілген шығыстарда максимум шығарылым есебі жауап береді, және де соңғысы, бірінші есептің шешімі де болады. (№1. Графикте)
Изокосталар мен изокванталардың қиылысу нүктелердің геометриялық орны әр түрлі
шығыс мәңдері бойынша
кәсіпорынның ұзақ уақыттық даму жолын анықтайды, яғни егер шығыстар өссе (төмендесе), шығарылым көлемі қалай жоғарлайды (төмендейді) екенін көрсетеді. Бұл тәуелділік монотонды болғандықтан, онда монотонды қайтадан кері шығыстар функциясы бар:
- берілген шығыстарда максималды шығарылым
болғандықтан, онда
шығыстары, осының максималды шығарылымына жауапты
- минималды шығыстар.
Егер минималды шығыстар функциясы
белгілі болса, онда шығарылымның оптималды көлемі қайтадан максимум табыс шартымен анықталады.
,
. (1. 9)
Туындыны нөлге теңестіреміз:
,
Яғни оптималды нүктеде шекті шығыстар шығарылым бағасына тең:
(Сонымен қатар, максимум табыс жүзеге асады, егер
болса) .
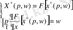
- n қатынастарын қарастырайық.
,
.
Бұл қатынастар оптималды нүкте аймағында қатысты жасалады, егер якобиан
болса, онда
Мұның мағынасы өндірістік функциядағы гессиан
нөлден айыра тану керек (бірақ
теріс анықталған, сондықтан
кезде ғана анық болады) . Сонда
, (1. 10)
немесе толық түрінде былай көрінеді
,
.
Бұл n тәңдеулер сұраныс функциясын (ресурстарға) береді, ол кәсіпорынның мінез-құлық моделі көмегімен табылады. Сонымен қатар ресурстарға сұраныс функциясын тәжірбие арқылы математикалық статистика әдістері таңдау көрсеткіштер арқылы таба аламыз.
Ұсыныс функциясы :
.
Слуцкий теңдеуіне сәйкес, тауар бағасының өзгеруі тұтынушы іс-әрекетін көрсетеміз, сәйкесінше теңдеуде шығарылым мен ресурстарға баға өзгерген кезде өндірушілер іс-әрекеті көрсетіледі.
Берілген бағалар
бойынша өндірушілер мінез-құлқы келесі қатынастармен анықталады, (
қатынасы ғана ) :
. (1. 11)
Енді, келесі жағдайды қарастырып өтейік: шығарылым бағасы немесе ресурстар бағасы өзгереді, әлде бір уақытта шығарылым бағасы мен ресурстар бағасы өзгерді.
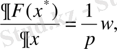
- Шығарылым бағасының өзгеруіне байланысты өндірушілер іс-әрекеті
- бойынша p дифференциялдаймыз:
;
немесе матрицалық көрсеткіштер арқылы:
мұнда
,
,
немесе
=
. (1. 12)
- Іс жүргізу
- Автоматтандыру, Техника
- Алғашқы әскери дайындық
- Астрономия
- Ауыл шаруашылығы
- Банк ісі
- Бизнесті бағалау
- Биология
- Бухгалтерлік іс
- Валеология
- Ветеринария
- География
- Геология, Геофизика, Геодезия
- Дін
- Ет, сүт, шарап өнімдері
- Жалпы тарих
- Жер кадастрі, Жылжымайтын мүлік
- Журналистика
- Информатика
- Кеден ісі
- Маркетинг
- Математика, Геометрия
- Медицина
- Мемлекеттік басқару
- Менеджмент
- Мұнай, Газ
- Мұрағат ісі
- Мәдениеттану
- ОБЖ (Основы безопасности жизнедеятельности)
- Педагогика
- Полиграфия
- Психология
- Салық
- Саясаттану
- Сақтандыру
- Сертификаттау, стандарттау
- Социология, Демография
- Спорт
- Статистика
- Тілтану, Филология
- Тарихи тұлғалар
- Тау-кен ісі
- Транспорт
- Туризм
- Физика
- Философия
- Халықаралық қатынастар
- Химия
- Экология, Қоршаған ортаны қорғау
- Экономика
- Экономикалық география
- Электротехника
- Қазақстан тарихы
- Қаржы
- Құрылыс
- Құқық, Криминалистика
- Әдебиет
- Өнер, музыка
- Өнеркәсіп, Өндіріс
Қазақ тілінде жазылған рефераттар, курстық жұмыстар, дипломдық жұмыстар бойынша біздің қор #1 болып табылады.

Ақпарат
Қосымша
Email: info@stud.kz