Электрқоректену параметрлері


Мазмұны
Кіріспе
Негізгі бөлім . . . 4
1. Электрқоректену параметрлері . . . 4
2. Функционалдық схема . . . 4
3. Аккумуляторлық батарея есептеулері . . . 5
4. Двигатель, генераторлық құрылғы . . . 6
КІРІСПЕ
Электрқоректену құрылғысы телекоммуникациялық түйіннің базалық инфраструктурасы болып табылады. Ол сыртқы электрқоректену сапасына қарамастан кернеуді алуға арналған. Статистикалық мәліметтерге қарағанда қалалық желінің айнымалы тоқтан қабыл алмаудың жылдық суммасы 4 сағатқа жетеді, және де 90% жуығы шалыс соғулар болып табылады. Жалпы шығын - 10 - нан 800 мың долл. /сағ. .
НЕГІЗГІ БӨЛІМ
1. Түйін типі - жойылған рұқсат. Бірінші ретті электрқоректенудің параметрлері : желінің номиналды кернеуі (U 1 =380/220 В), фазалар саны (m=3), енгізу желілерінің саны(n=1), кернеудің тұрақсыздығы %-бен (N 1 = - 20% +10%) және жиілікпен 50Гц.
U 0 =48 В;
I 0 =20 А;
= кВт;
S хоз =1. 2 кВА;
cosφ хоз =0. 7;
cosφ выпр =0. 95;
Р убп, перем. тока =0. 4 кВт;
η пр =0. 85
аккумуляторлық батарея топтарының саны (N AB =1) .
аккумуляторлық батареялардың авариялық жұмыс уақыты Т АВ =8 сағат.
Қоршаған ортаның номиналдық температурасы және одан ауытқуы.
Т мин =-9˚С.
Сұраныс коэффициентерінің ортажылдық мәні:
К с (техн + зар. бат) =0. 9К с (осв) =0. 6К с (ав. осв) =0. 7К с (хоз) =0. 8
Қоректендіретін энергиялық тариф бірставкалы, С=0. 8 тг/кВт сағ.
2. Функционалдық схема.
Желінің бірінші ретті кернеуі төрт өткізгішті линия арқылы жүргізіледі (үш фазалы өткізгіш А, В, С және нейтральный өткізгіш N немесе PEN) ; түзеткіш модуль (4) бірфазалы түзеткіш тобын құрайды, олар кірісінде фазаның біреуіне және желінің нейтралды өткізгішіне, ал по шығысында- параллель түрде, оң шығыс жермен электр қоректену көзімен аккумуляторлық модуль екі батареялық топты құрайды (АБ1, АБ2) мен бақылау батареялық блок пен қорғау; ЭПУ шығыстары тұтынушылардың мүмкін болатын категориялармен бөлінген. Айнымалы тоқтың энергиясын тарату қалқанында өлшеуіш приборлар орнатылуы мүмкін (амперметр, вольтметр, ваттметр) ; түйіннің ішкі авариялық жарықтану кернеуі аккумуляторлық батарея кернеуі арқылы жұмыс істейді, және автоматтандрылған енгізу - бөліп орналастыру шкафындағы контактормен байланыс құрайды. Көрсетілген схема жабдықтар құрылымы және құрамдас бөлшектердің өзара байланысы туралы түсініктеме береді, бірақ керекті жеке блоктардың санын анықтамайды.
1- ДГУ резервті енгізуі және қалалық желі енгізуі бар енгізу - бөліп орналастыру шкафы.
2 - енгізу - бөліп орналастыру шкафы.
3 - тұрақты токтың үздіксіз қоректену құрылұысы.
4 - түзеткіштердің модулдері.
5 - аккумуляторлық батареяларды қорғаудың коммутациялық құрылғысы.
6 - аккумуляторлық батарея.
7 - кернеу инверторы.
9 - двигатель, генераторлық құрылғы.
Тоқтар атауы: I0 - тұрақты құрағыш тоқтар, аппаратура (апп), авариялық жарықтандыру (ав. осв), инвертордың аппаратурасы (ин), технологиялық тұтынушылар (техн), батарея заряды (зар), суммалық (сум) .
3 . Аккумуляторлық батарея есептеулері.
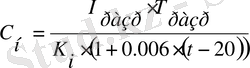
Номиналдық сыйымдылықтарды анықтау С н егер: U 0 =48B, T разр =8 сағат, I разр =36. 05 A, Т=-9˚C.
Батареядағы элементтер саны: N эл =U Б ном /U эл ном . =48/2. 0=24
Сыйымдылық - электр энергиясының саны, бұл энергия аккумулятормен беріледі немесе онда сақталады, өлшенеді А. сағ. (С= I х Т) . Р С н , - аккумулятордан алынады, нормалды температура 200С, I разр =0. 1С және жұмыс С р = IразрТразр , . Бұл сыйымдылықтардың қатынасы:
А·сағ,
мұндағы К i =0. 92 - разрядты тоқтың өлшеміне байланысты сыйымдылық берілісінің коэффициенті, t - элементтің орташа температурасы, град. Цельсий бойынша.
А·сағ,
Енді аккумулятор 10 жылда өз сыйымдылығының 20% жоғалтады дейік:
С выб =1. 2·С н =455. 37 А·сағ.
1 аккумуляторлық батареяның сыйымдылығы 490 А·сағ.
Тоқ разрядын есептейік:
А;
Аккумулятор моделі:өзгертілетін клапаны бар OPZv - 490, Hawker Oldham, Франция.
4. Двигатель, генераторлық құрылғы.
Двигатель, генераторлық құрылғылар(ДГУ) электр энергиясының автономды қайнар көзі болып табылады. Олар айнымалы ток желісінің үзіліп шалу кезінде электрмен қоректенуді қамтамасыз етеді.
ДГУ электрлік генератормен механикалық байланысқан ішкі жану двигателден тұрады. Аз қуатты құрылғыларда бензинді двигательдер, 6. 0 және кВт - тан көптерде дилзельді двигательдер қолданылады, олар керосин негізінде жұмыс істейді.
Активті және реактивті құрайтын қуатты, айнымалы ток арқылы табамыз.
А. Түзеткіш құрылғы:
Шаруашылық жүктеме:
В. Тұтынушылардың жалпы көрсетімі:
Вт,
В·Ар,
ВАр
.
Байқауымызша осы алынған көрсеткіш S сум ең үлкен “ойымыздағы” қуатты көрсеткішті көрсетеді. Осы көрсеткіште энергиямен қамтамасыз ететін мекемемен келісім-шартқа отырады. Жақын арадағы қосалқы трансфарматор станцияларына рұқсат етіледі. Мына қуаттылық максимальды токтың кірісін есептейді және кіріс қалқан автоматты ажыратқыш таңдап алынады.
Г. Берілген токтың және бір фазаның қуаттылығын есептейміз.
Д. Орта мөлшердегі активті қуат жүгі, бір мезгілдік коэфиценті мен жүктелуі қосылғанда.
Е. Орта көрсеткіштің толық қуатының шамасы.
ВА.
Дәл осыған лайықты ДГУ үлгісі, бензиндік G5000H(б), қуатының көрсеткіші - 5 кВА/4 кВт, жабдықтаушы Elteco деп аталады.
4. Электр энергиясын түрлендіруші ЭПУ-ға және шкафтық құрылғыға арналған. Жұмыс тогының тұтынудың барлық түрлерінің есептеу амалы мен сәйкес келетін автомт ажыратқышты таңдау. Картаны толтыруға коммутациялық құрылғыларға тапсырыс бріледі.
а) Енгізу-бөлу ШФР шкафы, ОАО ЮрьвПольского заводы «Промсвязь», ары қарай ЮПЗ «Промсвязь»-да жасалынады.
Шкаф ШВР электр энергиясын үш фазалы немесе бірфазалы айнымалы, минимальды 380/220В кернеулікті кіріс тогын беруге арналған. Қалқандар тұтынушыларды энергияның өшіп-жануынан, яғни қысқа тұықталудан, кернеудің асқынуынан және электр жүйелерінен сақтануды қамтамасыз етеді.
Бірінші ШВР:
ШВР А У 380/10 1 1 П -
Екінші ШВР:
ШВР А - 38/10 - П -
б) ЭПУ таңдау:
Электрқоректендіргіш құрылғысы шкафтік конструкцияны, ЭПУ функциональдық элементтер қатарын байланыстырушы, түзеткіш модульдерін, басқару блогы және аккумуляторлық батарея комутациялары, жүйені басқару құрылғысын, ток өлшемі және коммутациялар жүктеулерін, тұрғылықты элементтері және қашықтықтағы станциялардың жұмыс істеуін қамтамасыз етеді. Шкафқа тек қана гермативті аккумуляторды ғана орнатуға болады. Ең үлкен көлемді аккумулятор қосымша ккафтарды қажет етеді.
Uo=48 B
IoΣ=85. 05 А
Мен ИБП 1 - 48/160 с 4 түзеикіштер типте 48/30 - 2 (шығыс тогы 30 А) алдым. Үш түзеткіш 90 А > 85. 05 А береді және бір түзеткіш запаста тұрады.
в) Тұрақты кернеуді түзеткіш жоқ.
г) Инверторлар.
Кернеулк инверторлар (ИН) тұтынушыларды айнымалы кернеумен тоқтаусыз қамтамасыз ету үшін арналған. Ережедегідей, компьютер технологиясымен қамтамасыз етеді, телекоммуникациялық система маниторингісінде, сервермен қатынас жасайды. Бір қатар жағдайларда инверторлар апаттық жарақтандыру ұйымы үшін, сыртқы объектілердің (мысалы, антенна діңгектерінің) жарақтандыруша құрылғыларымен, стандартты есептелген кернеу 220В айнымалы токта қолданылады. Инвертор жоғары кернеулі ЭПУ-ді сапалы, кепілді айнымалы кернеуге қайта түрлендіреді.
Сондықтан бізге Р убп = 0. 4 кВт, қуаттылық берілген. Оса бөлініп алынғандар инверторға барады.
S034.
Сұрақ бетін толтыру.
Сұрақ картасы (бет), бұл ШФР1 шкаф тапсырысына оформление жасау үшін арналған.
- Номинальды кіріс кернеу жүйесі үшін 380В.
- Енгізу автоматтарының номинальды тогы (А) : 10, 10.
- Енгізу саны: а) жүйеден:1.
б) дизельді электростанциядан: 1.
4. Дизельді электростанциялар типі: станционарлы.
5. АДЭС-ті қосу үшін керек АВР-ді қолдану: да.
6. Керекті басқарушы құрылғылар.
А. Амперметр: ия, әр енгізуде.
Б. Вольтметр: ия, әр енгізуде.
В. Электр энергиясының есепшілері: ия, әр енгізуде.
7. Автоматты ажыратқыштарды тұтынулардың саны:
8. АВР ауыстырып қосу шарты: Егер кернеу қойылған госты бойынша дұрыс көрсетпеген жағдайда.
Сұрақ картасы (бет), бұл ШФР1 шкаф тапсырысына оформление жасау үшін арналған.
- Номинальды кіріс кернеу жүйесі үшін 380В.
- Енгізу автоматтарының номинальды тогы (А) : 6, 6, 10.
- Енгізу саны: а) жүйеден:-.
б) дизельді электростанциядан: -.
4. Дизельді электростанциялар типі: -.
5. АДЭС-ті қосу үшін керек АВР-ді қолдану: -.
6. Керекті басқарушы құрылғылар:
А. Амперметр: ия, әр енгізуде.
Б. Вольтметр: ия, әр енгізуде.
В. Электр энергиясының есепшілері: ия, әр енгізуде.
7. Автоматты ажыратқыштарды тұтынулардың саны:
АВР ауыстырып қосу шарты: Егер кернеу қойылған госты бойынша дұрыс көрсетпеген жағдайда.
Электр энергиясын тұтынудың жылдық орташа есептеуі бойынша және энергия тұтынушының күткендегі құны.
Вт
тенге.
6. Блоктың үлкендетілген есебі немесе түзеткіш модульінің құрылғысы.
(инвертор кернеуі) .
Қазіргі заманғы түзеткіштің блок-схемасы.
Түзеткішке мыналар кіреді:
... жалғасы- Іс жүргізу
- Автоматтандыру, Техника
- Алғашқы әскери дайындық
- Астрономия
- Ауыл шаруашылығы
- Банк ісі
- Бизнесті бағалау
- Биология
- Бухгалтерлік іс
- Валеология
- Ветеринария
- География
- Геология, Геофизика, Геодезия
- Дін
- Ет, сүт, шарап өнімдері
- Жалпы тарих
- Жер кадастрі, Жылжымайтын мүлік
- Журналистика
- Информатика
- Кеден ісі
- Маркетинг
- Математика, Геометрия
- Медицина
- Мемлекеттік басқару
- Менеджмент
- Мұнай, Газ
- Мұрағат ісі
- Мәдениеттану
- ОБЖ (Основы безопасности жизнедеятельности)
- Педагогика
- Полиграфия
- Психология
- Салық
- Саясаттану
- Сақтандыру
- Сертификаттау, стандарттау
- Социология, Демография
- Спорт
- Статистика
- Тілтану, Филология
- Тарихи тұлғалар
- Тау-кен ісі
- Транспорт
- Туризм
- Физика
- Философия
- Халықаралық қатынастар
- Химия
- Экология, Қоршаған ортаны қорғау
- Экономика
- Экономикалық география
- Электротехника
- Қазақстан тарихы
- Қаржы
- Құрылыс
- Құқық, Криминалистика
- Әдебиет
- Өнер, музыка
- Өнеркәсіп, Өндіріс
Қазақ тілінде жазылған рефераттар, курстық жұмыстар, дипломдық жұмыстар бойынша біздің қор #1 болып табылады.

Ақпарат
Қосымша
Email: info@stud.kz