Периодты әсердегі электр пештерін оптималды басқару жүйесін жасау


ҚАЗАҚСТАН РЕСПУБЛИКАСЫНЫҢ БІЛІМ МЕН ҒЫЛЫМ МИНИСТРЛІГІ
Қ. И. Сәтбаев атындағы Қазақ ұлттық техникалық университеті
Автоматика және телемеханика кафедрасы
КУРСТЫҚ ЖҰМЫС
Тақырыбы Периодты әсердегі электр пештерін оптималды басқару жүйесін жасау
Оқытушы Бейсембаев А.
«» 2007 ж.
Студент Аманова Н. Н
Мамандығы 050702
Тобы АУб-04-3қ
Алматы 2007
ҚАЗАҚСТАН РЕСПУБЛИКАСЫНЫҢ БІЛІМ ЖӘНЕ ҒЫЛЫМ МИНИСТРЛІГІ
Қ . И. Сәтбаев атындағы Қазақ ұлттық техникалық университеті
Автоматика және басқару институты
Автоматика және телемеханика кафедрасы
Мамандығы 050702
Курстық жобаны орындауға арналған
ТАПСЫРМА
Студент Аманова Н. Н
Курстық жобаның тақырыбы Периодты әсердегі электр пештерін оптималды
басқару жүйесін жасау
Аяқталған жобаны тапсыру мерзімі
Жобалауға берілген бастапқы мәліметтер
№
вар
∆Ө 1 ( 0 С)
max
∆Ө 2 ( 0 С)
max
∆Ө 3 ( 0 С)
max
Т nn
(min)
U min
/B/
U max
/B/
Математикалық моделінің коэффициенттері
коэф.
№ вар
k 11
*10
4
k 12
*10
4
k 13
*10 4
k 21
*10 3
k 22
*10 3
k 23
*10 3
k 31
*10 2
k 32
*10 2
k 33
*10 -2
k 41
*10 3
k 44
*10 2
Есептеу түсініктеме хаттың мазмұны: 1 Теориялық бөлім 2 Есептеу бөлімі 3 Динамикалық бағдарламалау әдісімен тиімді басқаруды синтездеуді Excel ортасында көрсету.
Графикалық материалдың тізімі (міндетті сызбалардың нақты көрсетілуімен) :
динамикалық бағдарламалау әдісімен тиімді басқаруды синтездеудегі сұлбасы
Негізгі әдебиеттер тізімі
Загроничный А. В., Сматов К. С. «Оптимальные и адаптивные системы»
Курстық жобаны дайындау
ГРАФИГІ
Тапсырма берілген уақыты
Жобаның жетекшісі Бейсембаев А.
Тапсырманы орындауға алған студент Аманова Н. Н
Мерзімі «» 2007
МАЗМҰНЫ
Кіріспе
1 Теориялық бөлім
1. 1 Периодты пештің жұмыс істеу принципі
1. 2 Өлшемсіз шамаларға өту процедурасы
1. 3 Басқарылатын объектіні басқарулыққажәне бақыланулыққа зерттеу….
2 Есептеу бөлімі
2. 1 Периодты пештің жылдамдық бойынша тиімді басқаруын құрастыру
3 Динамикалық бағдарламалау арқылы реттегіштің тиімді параметрлерін есептеу
3. 2 Динамикалық бағдарламалау әдісі арқылы реттегішті аналитикалық әдіспен жобалау.
Қорытынды
Қолданылған әдебиет тізімі
Қосымша А
Қосымша В
Кіріспе
Автоматты басқарудың тиімді жүйелерін жобалауды іс жүзінде қатаң қалыптастыру мүмкін емес және айтарлықтай дәрежеде қолданылған тәсілдермен жобалаушының біліктілігіне байланысты.
Курстық жобалауда қос контурлы тиімді басқару синтез есебі шешіледі: объектіні іске асыру жұмыс режимін орнықтыруға бағытталған, объектіні жұмыс режиміне шығаратын және басқару дәлдік бойынша тиімді синтездеуі, басқарудың тез әрекеттігі бойынша тиімділікті қорытатын тиімді бағдарламашы синтезі. Осылайша тиімді бақылағыш синтез есебі шешілді деп ұйғарылады.
1 Теориялық бөлім
- Периодты пештің жұмыс істеу принципі
Периодты әсердегі электр пештерінде жартылай фабрикаттар қыздыру, термикалық өңдеудегі бұйымдар және пластикалық деформация іске асырылады (сурет 1) . Екі жағдайда да салымды суытылуы мен қажетті дәлдікте ұстап тұруымен белгіленген температураға дейін қыздырады және оны пеште берілген технологиялық процесс уақытымен ұстап тұру қажет (шынықталу мен жіберілу бойынша тез, құю мен қалыптылық бойынша ақырын) .
1 - басқарылатын тиристорлы электр көзі
2 - қыздыру элементі
3 - футеровка
4 - бұйым
5 - пештің ішіндегі температураның датчигі
6 - күшейткіш түрлендіргіш
Егер пеш қуаты бойынша көп шығын жұмсалатын болса іске асырылатын жылдам қыздыру пештің жұмыс режимдерінің бірі болып табылады. Бұл жағдайда басқаруды өңдеу үшін өтпелі процестің жоғарғы жылдамдығында ең жоғары тез әрекеттік немесе энергияның ең аз шығын есебін шығару керек.
Бекітілген температурада салымды пеште ұстап тұру екінші режим болып табылады. Температуралық режимнің реттеу дәлдігіне қойылатын талап пештегі өткізілетін технологиялық режимге байланысты және прецизионды процестерге температураны
С-ге дейін ұстап тұру қажет. Сондықтан салым режимін ұстап түру үшін, басқару жұмыс режимдері тиімді тұрақтандыру есебіне келтіріледі.
Электр пеші және қыздыру процесіндегі автоматты басқару жүйесі қарапайым схемамен көрсетілуі мүмкін (2-сурет) .
1 - басқарылатын қорек көзі; 2 - пеш; 3 - датчик-түрлендіргіш; 4 - реттегіш; 5 - бағдарламашы; 6 - бақылағыш.
Сурет - 2 Электр пешін қаздыру процесін автоматты басқару жүйесінің сұлбасы
Жүйенің жүзеге асу қағидасы келесідей:
1) Тиімді қыздыру режимінде басқарушы әсер, мысалы басқарудың шапшаң әсер етуі бойынша тиімді басқарушы қорек көзін (1) беретін, обьект бағдарламашымен қалыптасады. Жылытқышына (2) берілетін Р қуатын өзгертетін 5 бағдарламашымен қалыптасады. Пештің температурасы кедергінің термометрмен түзілген, өлшеуіштің көпірлі схемасынан және күшейткіштен, шығысында 0
10 Вольт стандартты сигнал беретін электрлі сигнал датчик түрлендіргішпен (3) өлшенеді және түрлендіріледі.
2) Төзімділік режимінде температураның тиімді тұрақтылығы жүзеге асырылады. Температура реттегіштің (4)
қателік негізінде бақылағышпен қалпына келтіруге қосымша тұрақтандыратын басқаруды
U өндіреді [1] .
Электр пештеріндегі температуралық режиммен автоматты басқару процесі келесідей ерекшеліктермер сипатталады:
1) Электр пеші басқару тұрғыдан қарағанда күрделі кешенді болып келеді, ол қыздырғыштан, футеровкадан, бұйымнан және температура датчиктен тұрады, әрі бұлардың әрқайсысы жылулық инерциясынан тұратын жылулық өтпелі процестерінің және реттеу процесінің динамика анализін есептеуін қиындатады;
2) Электр пешіндегі камераның кейбір бөліктеріндегі температураның айырмашылығы үлкен болуы мүмкін. Қыздырғыштар беті, бұйым және футеровкалар әр түрлі температурада болады және әрқашанда бірдей қызбайды.
- Өлшемсіз шамаларға өту процедурасы
Жүйеміздегі электр пешінің және датчиктің математикалық моделін жазайық. Электр пешінің математикалық моделін жылулық инерциялы үш сыйымдылықты обьект түрінде көрсетуге болады:
(1. 1)
Ал датчиктің математикалық моделі мына түрде жазылады:
мұнда,
- бұйымның, футеровканың және қызыдырғыштың температуралары;
- басқарылатын қорек көзіне түсетін басқарушы сигнал;
η(t) - қоршаған орта жылу алмасуымен байланысты эквивалентті сыртқы әсер.
- пештің конструкциясымен, жылу алмастыру шартымен, салым массасымен, анықталатын тұрақты коэффициенттер;
k u - атқарушы құрылғының күшейту коэффициенті.
Температура датчигі θ u пештің кейбір интегралды температурасын өлшейтін теңдеумен анықтайды:
(1. 2)
мұнда θ
u
- температураның өлшенген мәніне пропорционалды түрлендіргіш шығысындағы электрлі сигнал; k
i
- датчиктің қойылу орны мен конструциясына тәуелді тұрақты коэффициенттер;
- эквивалентті кездейсоқ сыртқы әсер.
Периодты пештің математикалық моделінің параметрлерін анықтайық. (1. 1) және (1. 2) теңдеулеріндегі бөгеттерді нольге тең деп аламыз, яғни
болған кезде келесідей жүйені аламыз
(1. 3)
(1. 4)
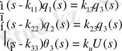
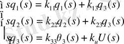
Лаплас түрлендіруін қолданып жоғарыдағы теңдеулерді операторлық түрде жазайық:
:
:
:
(1. 5)
(1. 6)
(1. 7)
(1. 8)
Жалпы жүйенің беріліс функцияларын табайық:
(1. 9)
Алынған беріліс функциялары бойынша жүйенің құрылымдық сұлбасы келесідей болады.
1-Сурет- Жүйенің құрылымдық сұлбасы
Басқарылатын объектінің беріліс функциясы келесі теңдеуден табылады табылады:
(1. 10)
Соңғы теңдеудің басқарылатын обьектінің дифференциалды теңдңуін нормальді Коши тұлғас түрінде жазайық:
(1. 11)
Табылған (1. 11) теңдеудің әрбір мүшесін
көбейтіндісіне бөліп, нәтижесінде келксіні табамыз:
(1. 12)
Өлшемсіз айнымалыларға түрлендіру үшін келесі шамаларды енгізейік:
;
;
;
Соңғы енгізілген белгілеулерді қолданып бастапқы дифференциалды теңдеуді келесідей түрде жаза аламыз:
(1. 13)
Алынған (1. 13) теңдеудің әрбір мүшесін
шамасына бөлейік:
(1. 14)
Келесі белгілеулерді енгізейік:
Осы белгілеулерді қолданып, бастапқы дифференциалды теңдеуді келесідей түрде жаза аламыз:
(1. 15)
Жоғарыдағы табылған бейнелеуге сүйеніп,
шамасының мәнін есептеп табайық. Ол үшін келесі статкалық жағдайды қарастырайық. Демек
статикалық жағдайында алайық. Онда жоғарыда жазылған дифференциалды теңдеу келесі алгебралық теңдеуге алмастырылады:
Тапсырмада берілген коэффициенттерге сәйкес
күшейту коэффициентін табамыз.
Ары қарай басқарылатын объект пен датчикті қосып, тұйықталған жүйе ретінде қарастырайық, онда жүйенің беріліс функциясы мынандай болады:
(1. 16)
(1. 16) теңдеуін нормалды Коши тұлғасына келтірейік:
(1. 17)
Алынған (1. 17) теңдеуін
-ке бөлейік:
(1. 18)
Өлшемсіз айнымалыларға түрлендіру үшін келесі шамаларды енгізейік:
;
;
(1. 18) теңдеуінің өлшемсіз айнымалыларға түрленген теңдеуі келесідей:
(1. 19)
Алынған (1. 19) теңдеуін
-ға бөлеміз:
(1. 20)
Келесі белгілеулерді енгізейік:
(1. 20) теңдеуіне жоғарыдағы белгілеулерді енгізейік:
(1. 21)
1. 2 Басқарылатын объектіні басқарулыққа және бақыланулыққа зерттеу
Жоғарыда берілген басқарылатын объектіні басқарулыққа және бақылаулыққа зерттейік, ол үшін объектінің математикалық моделін матрицалық түрде жазу керек
(1. 2. 1)
мұндағы
,
,
,
Обьектінің А матрицасын алайық. Оның анықтауышын есептесек, ол нольге тең еместігі көрініп тұр. Онда оы матрицаның rang -і үшке тең.
Енді берілген объектіні басқарулыққа зерттейік, ол үшін
басқарулық матрицасын құрастыру қажет
Енді осы матрицаға кіретін векторларды анықтайық:
Табылған
матрицасының анықтауышы
, яғни осыдан келесі тұжырым жасауға болады: берілген басқарылатын обьект толық басқарылмалы.
Ары қарай жүйені бақылаулыққа зерттейік. Ол үшін келесі теңдеу белгілі болуы тиіс
(1. 2. 2)
Мұндағы
Берілген обьектіні бақылаулыққа зерттеу үшін
бақылаулық матрицасын құрастыру қажет. Ол келесідей жазылады:
Енді осы векторларға кіретін векторларды анықтайық:
Осыдан басқарулық матрицасын табамыз:
Табылған матрицаның анықтауышы нольге тең
. Оның себебі матрицаның екінші жол элементтерінің барлығы нольге теңдігінде. Сол себептен бұл матрицаның
rang
-і төмендейді
Осы себептен обьект толық бақыланбайды деп тұжырым жасауға болады.
1. 3 Периодты пештің жылдамдық бойынша тиімді басқаруын құрастыру
3. 1 Периодты пештің бағдарламалық басқаруын құрастыру
Басқарылатын объектінің беріліс функциясы (1. 9) теңдеуімен табылған
(1. 3. 1)
Осы (3. 1) теңдеуден тұйықталмаған жүйенің сипаттайтын теңдеуін анықтайық
(1. 3. 2)
Жоғарыда табылған (3. 2) сипаттайтын теңдеудің шешімі мынандай болады:
(1. 3. 3)
Тиімді теориясындағы
N
интервалдар теоремасына сүйеніп, 2-ші дәрежелі жүйеде басқару 2 рет өзгеруі тиіс. 1-ші өзгерту
уақыт мезетінде болады, онда осы уақыт мезетіне сәйкес дифференциал теңдеудің шешімін былай жазамыз:
(1. 3. 4)
Алынған
уақыт аралығында бастапқы
. Осы жағдайда
.
Статика теңдеуінен
, онда бастапқы жағдайда табамыз
(1. 3. 5)
Осы теңдеуге жоғарыда табылған мәндерді қойып табамыз:
мәндерін алып,
интегралдау тұрақтыларын табамыз.
Ары қарай
уақыт аралығын қарастырайық. Мұндағы
уақыт мезетінде жүйе өзінің орнатылған жағдайына келеді
(1. 3. 6)
Жүйедегі өтпелі процесс орнатылған жағдайға келгенде, оның
,
, осы мәндерді (3. 6) теңдеуіне қойып келесі жүйені аламыз:
(1. 3. 7)
(3. 7) жүйесінің 1-ші теңдеуінен
(1. 3. 8)
(3. 8) теңдеуін (3. 7) жүйесінің 2-ші теңдеуіне қоямыз:
(1. 3. 9)
(3. 9) теңдеуінен
-ні тауып, (3. 8) теңдеуіне қойып келесі жүйені аламыз:
(1. 3. 10)
Енді
уақыт мезетін алсақ, мұнда бірінші аралық аяқталып, екіншісі басталады. Былай айтқанда бұл нүктеде екі теңдеудің шешімі бірдей болады.
(1. 3. 11)
Осы теңдеуге
деп алып, бірдей мүшелерді қосып жазамыз:
(1. 3. 12)
- Іс жүргізу
- Автоматтандыру, Техника
- Алғашқы әскери дайындық
- Астрономия
- Ауыл шаруашылығы
- Банк ісі
- Бизнесті бағалау
- Биология
- Бухгалтерлік іс
- Валеология
- Ветеринария
- География
- Геология, Геофизика, Геодезия
- Дін
- Ет, сүт, шарап өнімдері
- Жалпы тарих
- Жер кадастрі, Жылжымайтын мүлік
- Журналистика
- Информатика
- Кеден ісі
- Маркетинг
- Математика, Геометрия
- Медицина
- Мемлекеттік басқару
- Менеджмент
- Мұнай, Газ
- Мұрағат ісі
- Мәдениеттану
- ОБЖ (Основы безопасности жизнедеятельности)
- Педагогика
- Полиграфия
- Психология
- Салық
- Саясаттану
- Сақтандыру
- Сертификаттау, стандарттау
- Социология, Демография
- Спорт
- Статистика
- Тілтану, Филология
- Тарихи тұлғалар
- Тау-кен ісі
- Транспорт
- Туризм
- Физика
- Философия
- Халықаралық қатынастар
- Химия
- Экология, Қоршаған ортаны қорғау
- Экономика
- Экономикалық география
- Электротехника
- Қазақстан тарихы
- Қаржы
- Құрылыс
- Құқық, Криминалистика
- Әдебиет
- Өнер, музыка
- Өнеркәсіп, Өндіріс
Қазақ тілінде жазылған рефераттар, курстық жұмыстар, дипломдық жұмыстар бойынша біздің қор #1 болып табылады.

Ақпарат
Қосымша
Email: info@stud.kz