Шалаөткізгіштер


МАЗМҰНЫ
КІРІСПЕ . . . 3
1. 1 Шалаөткізгіштер . . . 3
2. НЕГІЗГІ БӨЛІМ. ШАЛАӨТКІЗГІШТЕРДІҢ СИПАТТАМАСЫ МЕН ҚАСИЕТТЕРІ
2. 1 Денелердің электр өткізгіштігінің зоналық теориясы . . . 5
2. 2 Шалаөткізгіштердің қасиеті . . . 9
2. 3 Шалаөткізгіштерді қолдану аймағы . . . 20
ҚОРЫТЫНДЫ . . . 23
ПАЙДАЛАНЫЛҒАН ӘДЕБИЕТТЕР ТІЗІМІ . . . 24
КІРІСПЕ
Шалаөткізгіштер - электр өткізгіштігі (σ) бойынша металдар мен диэлектриктердің арасынан орын алатын (10-8Ом-1см-1<σ<10-6Ом-1см-1) заттар; бөлме температурасында (300ӘК) шалаөткізгіштік қасиеттері анық байқалатын заттар тобы. Шалаөткізгіштерге Менделеевтің периодтық жүйесінің ҚV тобындағы графит (G), кремний (Sі), германий (Ge), сурьма (Sb), қалайы (Sn) ; V тобындағы фосфор (P), күшәлә (As) ; П тобындағы селен (Se), теллур (Te) элементтері, сондай-ақ кейбір тотықтар, көптеген қорытпалар, органик. қосылыстар жатады. Шалаөткізгіштердің металдардан ерекшелігі - олардың меншікті кедергілері (ρ) мен электр өткізгіштігі (σ) температура жоғарылағанда күрт өзгереді: ρ - кемиді, σ - артады; ал металдарда олар керісінше өзгереді. (ρ артады, σ кемиді) . Аса төмен темпетурада таза Шалаөткізгіштердің меншікті кедергілері өте жоғары, ал электр өткізгіштігі тым аз болғандықтан олар диэлектриктерге ұқсайды. Төмен температурада олардың атомдарының валенттік электрондары коваленттік байланыста болып, заряд тасымалдаушылар болмайды. Темпертура жоғарылағанда Шалаөткізгіштерде теріс зарядталған бос электрондар мен оң зарядтың рөлін атқаратын жылжымалы “кемтіктер” (электрондары жоқ бос орындар) пайда болып, олардың электр өткізгіштіктері артады. Нәтижесінде Шалаөткізгіштерде пайда болған толық ток (Қт) - екі токтың қосындысына тең болады: Қт=Қэ+Қк, мұндағы Қэ, Қк - электрондық және кемтіктік токтар. Таза Шалаөткізгіштерде σ температураға байланысты экспоненциалды түрде өзгереді: σ=σ0ехр(-εA/kT), мұндағы εA - электр өткізгіштің активациялық энергиясы, σ0 - температураға байланысты өзгеретін коэффициент, k - Больцман тұрақтысы. Шалаөткізгіштерге әр түрлі қоспалар енгізілгенде олардың электр өткізгіштігі күрт өседі. Оларда электр тогын негізгі және қоспа зат атомдарынан босаған валенттік электрондар мен “кемтіктер” құрайды. Токты тасымалдаушыларға кристалл құрылымының әр түрлі ақаулары: кристалл торларындағы вакансиялар (бос орындар), түйінаралық бөгде атомдар, тағы басқа жатады. Қоспалар мен ақаулар донорлар және акцепторлар болып ажыратылады. ҚV топ кристалдарының (Ge, Sі) 4 атомымен ковалентті байланыс жасап, валенттік электрондарының біреуі бос электронға айналатын V топ элементтерінің (As, P) қоспаларын донорлар деп атайды. Донорлар Шалаөткізгіштерде негізінен электрондық немесе n-типтік өткізгіштік тудырады. ҚV топ элементтерінің (Ge, Sі, Sb) кристалдарына енгізілген ҚҚҚ топ элементтерінің (Al, Ga, Zn) қоспалары кристалл ішінде “кемтіктер” тудырады. Мұндай қоспалар акцепторлар деп аталады. Акцепторлар Шалаөткізгіштерде негізінен “кемтіктік” немесе р-типтік өткізгіштік тудырады. Электрондар мен “кемтіктер” саны шамалас Шалаөткізгіштердің электр өткізгіштігі аралас өткізгіштік деп аталады. Шалаөткізгіштердің электр өткізгіштік сипаты (электрондық немесе “кемтіктік” болуы) Холл эффектісінің таңбасы бойынша анықталады. Екі түрлі Шалаөткізгіштердің немесе Шалаөткізгіштер мен металдың түйіскен жеріндегі электрлік кедергінің шамасы ток бағытына тәуелді өзгеріп отырады. Түйісу аймағында бір бағытта ғана ток өткізетін жапқыш қабат түзіледі. Бұл құбылыс айнымалы ток түзеткіштерінде (диодтарда) пайдаланылады. Жарық әсерінен кедергісі өзгеретін Шалаөткізгіштер (фотокедергілер) оптик. өлшеулерде және фотоэлектрондық автоматикада кеңінен қолданылады. Шалаөткізгіштердің температура өзгерісіне сезімталдығы өте жоғары термометрлер жасауда пайдаланылады. Осындай құрылғылардың (термисторлардың) көмегімен, медицинада өсімдіктердің немесе тері бетінің әр нүктесінің температурасы анықталады. Әр түрлі Шалаөткізгіштердің немесе Шалаөткізгіштер мен металдың дәнекерленген түйінін бір жағынан қыздырғанда, олар ток көзіне (жылу генераторына) айналады. Күн сәулесінің энергиясын тікелей электр энергиясына айналдыратын күн батареялары ғарыш кемелеріне орнатылады. Радиоэлектрониканың негізгі тетіктеріне жататын транзисторлар р және n типтік өткізгіштігі бар, тізбектеп жалғанған үш шала өткізгіштен тұрады. Олар мынадай ретпен жалғануы мүмкін: n-р-n немесе р-n-р. Бұлардың түйіскен жерлерінде электр тербелістері пайда болады және күшейтіледі. Қазіргі заманғы радиотех. аппаратураларда шала өткізгіш диодтар мен транзисторлар кеңінен қолданылады.
2. НЕГІЗГІ БӨЛІМ. ШАЛАӨТКІЗГІШТЕРДІҢ СИПАТТАМАСЫ МЕН ҚАСИЕТТЕРІ
2. 1 Денелердің электр өткізгіштігінің зоналық теориясы
Зоналық теория бойынша барлық денелер тыйым салынған зонаның (AW) еніне (7-сурет) байла-нысты шартты түрде өткізгіштер, шала өткізгіштер және диэлектриктер болып бөлінеді. Егер оның ені нольге тең болса, онда зат өткізгіш болады, егер ол 2 эв-тен аспайтын болса, онда ол шала өткізгіш, ал егер тыйым салынған зонаның ені 2 эв-тен артық болса, онда зат диэлектрик болады.
А. Металдар.
Металдарда өткізгіштік зонасы в а л е н т т і к з о и а н ы ж а у ы п кете д і (13, а-суретте өткізгіштік зонасының энергетикалық деңгейіштрихтармен көрсетілген) немесе оған түйісе орналасады. Металл кристалында зонадағы көршілес энергетикалық деңгейлер арасындағы қашықтық шамамен 10-22 - 10-23 эв шамасында болады, яғни олар іс жүзінде үздіксіз орналасады. Солай бола түрса да, бөлме температурасында жылулық қозғалыска қатысушы атомның кинетикалық энергиясы 0, 04 эв-тен аспайды. Бүл кез келген температурада, абсолют нольді қоса алғанда, өткізгіштік зонасында элек-трондар болады деген сөз. Егер металда электр өрісін туғызсақ, онда электрондар әлдеқайда жоғары энергетикалық деңгейлерге көше бастайды да, электр тогы пайда болады.
Өткізгіштік электрондардың кристалл арқылы қозғалуы рұқсат етілетін зоналар шектерінде жататын әр түрлі энергиялар арасында бола алады. Электр тогын туғызуға тек валенттік зонаның электрондары ғана қатысады.
Б. Диэлектриктер
Диэлектриктерде валенттік зона толығымен электрондармен толтырылған. Диэлектриктерде тыйым салынған зона ете үлкен (13, б-сурет) және жақсы диэлектриктерде 20 эв дәрежесіне жетеді. Сондықтан қалыпты жағдайда валенттік зонадағы электрондар еркін электрондарға айналмайды да, диэлектрик изолятор болады. Валенттік зонадағы электронға өте жоғары энергия бергенде олар тыйым салынған зонадан өте алады, мұндайда диэлектрик еткізгішке айналады (диэлектрикті электрлік тесіп өту, оның изоляторлық қасиетін жояды) .
В. Шала өткізгіштер
Бізді қоршаған көптеген қатты денелер - шала еткізгіштер.
Оған Менделеевті
периодтық системасының IV, V және VI группасындағы кейбір элементтер (14-сурет), көптеген тотықтар, металдардың күкіртпен, селенмен, теллурмен қосылыстары, бірқатар органикалық заттар жатады.
Шала өткізгіштердің қалыпты жағдайдағы меншікті кедергісі металдардан көп те, диэлектриктерден аз. Шала өткізгіштердің электр өткізгіштігі температураға, жарықтануға, электр өрісінің әсеріне, қысымға, қоспалардың болуына аса тәуелді. Шала еткізгіште тыйым салынған зонаның ені онша үлкен емес (13, в-су-рет), мысалы, германий үшін AW = 0, 75 эв, кремний үшін Д№=1, 2 эв шамасында. Химиялық таза шала өткізгіш абсолют нольде диэлектрик болып табылады: валенттік зона, электрондармен толық толтырылады, ал өткізгіштік зонасында электрондар жоқ.
Температура жоғарылағанда валенттік зонаның электрондары еркін зонаға өте бастайды. Шала өткізгіште, металдағы сияқты, электрондық өткізгіштік пайда болады. Электр өрісі бар кезде электр тогы (/в) өткізгіштік зонасында электрондардың орын ауыстыруы есебінен туады. Шала өткізгіштерде электрондық өткізгіштіктен басқа кемтікті электр өткізгіштік т с болады. Өткізгіштік зонасына өткен трон валенттік зонада кемтік деп аталатын бос орын қалды-рады. Вакансияны (кемтікті) көрші электрон толтыруы мүм-кін, ал оның орнында жаңа кемтік пайда болады, бұл кем-тікті кезегімен келесі бір элек¬трон басуы мүмкін, т. т. Элек¬тр өрісі жоқ кезде электрондар мен кемтіктер тәртіпсіз (хаос-ты) жылулық қозғалыста бо¬лады. Бұл кезде электрон-кемтік парлары түзіліп қана қой-майды, сонымен бірге кері процесс - рекомбинация процесі - туып, өткізгіштік электрондар кемтіктерді толтырады (15-сурет) .
Валенттік зонаның жоғарғы энергетикалық деңгейі кемтікпен толған болсын делік. Электо өрісі түған кезде электрон төменгі деңгейден жоғарғы деңгейге ауысып кемтікті толтырады (16-сурет) . Бірақ мұның есесіне оның орнында жаңа кемтік пайда болады. Ал оны келесі электрон толтырады т. с. с. Сөйтіп электрондар өріске қарсы, ал кемтіктер оған қарама-қарсы бағытта қозғалғандай болып шығады. Мұның өзі кемтікті ток Ік. Кемтіктердің электр өрісінде орын ауыстыру бағытына қарап, оларды оң электр зарядтарын тасушы деп есептеуге болады.
Көрнекілік үшін мынадай мысал келтірейік. Кластағы парталардың барлық қатарларында окушылар отыр делік. Бірінші қатардан бір окушы тұрып шығып кетті. Демек, оның орны босады (яғни «кемтік» пайда болды) . Екінші қатарда отырған бір оқушы бірінші қатардағы сол бос орынға ауысып отырды. Сонда екшші қатарда бос орын («кемтік») паида болды, ал ол бос орынға үшінші қатардағы оқушы отыруы мүмкін. Сөйтіп, бос орын бір қатардан бір қатарға ауысып отырады. Міне, шала өткізгіштердегі кемтікті атомдардың пайда болуы, қарапайым түрде айтқанда, дәл осындай.
Сөйтіп, шала өткізгіштердегі электр тогы өткізгіштік зонасындағы өткізгіштік электрондардан жәнетваленттік зонадағы кемтіктерден пайда болады. Сонда, жалпы ток:
F=э+к (11)
Кемтіктерге қарағанда, электрондар әлдеқайда шапшаң қозғалатьшдықтан, электрондық токты кемтіктік токқа тең деп қарауға болмайды. Химиялық таза шала өткізгіштердің өткізгіштігі (электрондық-кемтіктік әткізгіштік) меншікті өткізгіштік деп аталады.
Шала өткізгіштерде электрондардың концентрациясы температураға ете тәуелді болады. Мысалы, бөлме температурасындағы 1 куб. метр германийде 1019 өткізгіштік электрондар бар. Температура одан әрі жоғарылаған сайын, өткізгіштік электрондар саны артады, сөйтіп, шала еткізгіш электр еткізгіштігі жағынан металға жақындайды.
Шала өткізгіштерге қоспа қосып, олардың не электрондық еткізгіштігін, не кемтіктік өткізгіштігін басым етуге болады.
Электрондық өткізгіштік қасиеті бар шала еткізгіш (п типтес1) шығарып алу үшін донорлық қоспаларды пайдаланады. Донорлық қоспалы атомдардың қайсыбір бос емес тыйым салынған зонасында болады да, бірақ өткізгіштік зонасына шекаралас орналасады (17-сурет) .
Сонда қоспалы деңгейдің электрондары-ның біраз бөлігі жылулық қозғалыс нәтижесінде өткізгіштік зонасына ауысады да, ондағы электрондар концентрациясын арттырады. Мысал ретінде кремний кристалын қарастырайық. Кремний атомында төрт валенттік электрон көршілес атомдармен коваленттік байланыс жасайды (18-сурет) .
Қоспа ретінде бес валентті мышьякті қолданайық. Сонда оның төрт электроны кремнийдің көршілес атомының төрт электронымен ковалентті (қосарлы электронды) байланыс жасайды, ал бесінші электрон ковалентті байланысқа қатыспайды (19-сурет) және сондықтан кремний атомдарының валенттік электрондарына қарағанда әлдеқайда жоғарырақ энергетикалық деңгейде болады. Бұл энергетикалық деңгей кремнийдің тыйым салынған зонасындағы өткізгіштік зонасы астында орналасады.
Кемтікті өткізгіштік қасиеті бар шала өткізгіш шығарып алу үшін р типтес1, акцепторлы2 қоспаны пайдалану керек. Қоспалы атомдардың злектрондар-мен толтырылмаған деңгейлері шала өткізгіштің тыйым салынған зонасында болады да, бірақ валенттік зонаға таяу орналасады (20-сурет) . Бұл жағдаида электрондардың валенттік зонадан қоспаның бос деңгейіне ауысуы үшін, химиялық таза шала өткіз-гішке қарағанда, өте аз энергия қажет болады.
Жылулық қозғалыс кезінде электрондар валенттік зонадан қоспаның энергетикалық деңгейлеріне ауы-сады да, сөйтіп валенттік зонада кемтіктер пайда болады.
Мысал ретінде кремнийдің индиймен қоспасын қарастырайық (21-сурет) . Индий үш валентті, демек, бұл - кремнийдің көршілес төрт атомымен байланыстарының бірі үзілді деген сөз, оған электрон жетіспейді, олай болса мұнда кемтік пайда болды. Ал мышьяктің электрондарына қарағанда, индийдің валенттік электрондарының энергиясы аз болғандықтан да, олар кремнийдің валенттік зонасына жақын орналасады. Шала өткізгіштің кристалдық решеткасында қоспалы атомдар бір-бірінен алые орналаскан, тіпті олар өз ара әсер етпейді деуге болады, сондықтан да қоспалар атомдарының энергетикалық деңгейлері ыдырамайды. Қоспаның тіпті өте аз мөлшері шала өткізгіштің электрлік қасиеттерін күшті езгертеді. Мысалы, егер германийдің әрбір миллион атомына тек қана бір атом қоспа кіргізсек, онда оның өткізгіштігі мың есе артады.
2. 2 Шалаөткізгіштердің қасиеті
Шала өткізгіштерде Менделеев кестесінің орта тұсындағы он екі химиялық элементтер жатады. Олар: бор (В), көміртегі (С), кремний (Si), германий (Ge), қалайы (Sn), фосфор (Р), мышьяк (As), сурьма (Sb), күкірт (S), селен (Se), телмур (Те), йод (І) . Мұнан басқа үшінші топтағы элементтердің, бесінші топтағы элементтермен қосындысы, көптеген металдардың оксидтері мен сульфидтері, бір қатар химиялық қоспалар, кейбір органикалық заттар. Ғылым мен техникада ең көп қолданылатын шала өткізгіштерге германий Ge және кремний Sі жатады.
Шала өткізгіштер өзіндік (яғни қоспасыз) және қоспалы болып бөлінеді. Қоспалы шала өткізгіш өз ретінде донорлық және акцепторлық болып бөлінеді. Өзіндік шала өткізгіштердің электр өткізгіштік механизмін германийдің немесе кремнийдің монокристалының мысалында қарастыру қолайлы, оның құрылымының сұлбасы (бір жазықтықта) 15 - суретте бейнеленген. Себебі өте кең қолданылатын шала өткізгіштер Ge және Sі
15 - сур.
сыртқы электрондық қабатта төрт электроны болады, яғни олардың валенттілігі төртке тең. Мұндай элементтердің кристалдық торында (алмаз типті тор деп аталынатын) германийдің Ge немесе кремнийдің Sі әрбір атомы, бірдей қашықтықта орналасқан, көрші төрт атоммен қоршалған.
Атомның ең орнықты күйі, Өзіндік шала өткізгіштердің электр өткізгіштігі оның сыртқы электрондық қабатында сегіз электрог тұрған кезде екендігі белгілі. Сондықтан Ge және Sі атомдары электрондық қабаттарды сегіз электронға дейін толтырып, көрші атомдармен жалпы электрондық жұп құрайды (коваленттік байланыс) .
Әрбір екі көрші атомдар екі ортақ электрондары (электрондық жұп) болады. Сонымен, әрбір атом сыртқы қабатында сегіз электроннан болады, олар бір мезгілде көрші атомдарға да жатады (15-сур. ) . Алмаз типті торды шартты түрде жазық етіп бейнелеуге болады, өйткені мұнда да әрбір атом көрші төрт атоммен қоршалған. Төменгі температурада шала өткізгіштің кристалында барлық электрондар атомдармен байланысқан және еркін электрондары жоқ, яғни кристалл диэлектрик болып саналады. Шала өткізгіштің температурасын көтерген кезде кейбір электрондар атомнан бөлініп, жылжымалы күйге түсіп, оған кернеу түсіргенде, кристалда ток жасайды.
Бөлме температурасының өзінде шала өткізгіш кристалында жылжымалы электрондардың біраз сандары болады және температураның артуына байланысты олардың саны тез көбейеді. Германий Ge жағдайында, кремнийге Si қарағанда, атомнан электронды жұлып алу үшін энергия аз жұмсалады. Сондықтан таза германийдің Ge кедергісі, кремнийдікіне Si қарағанда едәуір аз (ρGe ≈ 0, 5 Ом. м, ал ρSi ≈ 2 ∙ 103 Ом. м) .
Атомнан электронды бөліп шығарған кезде атомның қабатшасында бос орын пайда болады, ол орынды «кемтік» деп атайды. Ортақ электрондары бар көрші атомдар, электрондармен үнемі алмасып тұратындықтан, бұл кемтік басқа электронмен толтырылуы мүмкін және бұл кезде енді басқа атомда бір электрон жетпей тұрады. Электрон үзіліп шыққанға дейін атом электрлік нейтраль болғандықтан, онда электронның жетіспеуі атомға оң заряд береді. Сондықтан, электронның бос орны - кемтіктің зарядын оң деп санайды. Бұл бос орын - кемтік - кристалл көлемінде үнемі және тынымсыз орын ауыстыруда болады, бұл заряды сандық жағынан электрон зарядына тең оң зарядтық осылай ауысып отырумен бірдей болады.
Сонымен, бос электрондар және кемтіктер кристалл бойынша, қандай да бір еркін электрон атом қабатшасындағы кемтікпен кездескенше, ретсіз орын ауысып отырады (бос орынға тап болғанша) . Бұл кезде қозғалыстағы екі зарядты тасымалдаушылар жоқ болады: бос электрон және кемтік, яғни рекомбинация жүреді.
Әрбір белгілі-бір температурада жұптың пайда болуының «электрон-кемтік» (генерация) және олардың жойылуының (рекомбинация) аралығында динамикалық тепе-теңдік орнайды. Неғұрлым температура жоғары болған сайын, солғұрлым «электрон - кемтік» жұптары пайда болып, шала өткізгіш кристалында олардың бір мезгілде болуының саны артады.
Егер осындай кристалды электр тізбегіне қосса, онда оның ішінде электрондар, теріс полюстен оң полюске қарай реттеліп қозғала бастайтын болады. Өрістің әсерінен байланысқан электрондар да көбінесе өрістің күш сызықтары бойымен көрші атомдардан бос орындарға көше бастайды, ал бос орындар (кемтіктер) осы сызықтардың бойымен қарсы жаққа қарай орын ауыстыра бастайды.
Сонымен, өрістің әсерінен кемтіктер де оң зарядты алып жүре отырып реттелген қозғалысқа түседі. Шын мәнінде, бір жаққа тек бос электрондар мен байланысқан (валенттілік) электрондар орын ауыстыратындықтан, бос электрондарды бір жаққа қарай, ал оң зарядты тасымалдаушы кемтіктерді екінші жаққа қарай қозғалады деп санауға болады.
Бос электрон кемтікпен кездескенде олар рекомбинацияланады, сөйтіп олардың қозғалысы тоқталады. Бос электрон мен кемтіктің рекомбинацияға дейінгі орташа еркін жол жүру ұзындығы өте аз (0, 1 мм-ден артық емес) . Тынымсыз жылулық генерация жаңадан «электрон - кемтік» жұбының пайда болуына алып келеді, олар қайтадан зарядты тасымалдай бастайды. Сонымен, электр өрісінің әсерінен кристалда еркін зарядты тасымалдаушылардың үздіксіз реттелген қозғалысы жүреді, яғни ток ағады. Мұндай өткізгіштік өзіндік шала өткізгіштің өткізгіштігі деп аталынады.
Зоналық теория бойынша өзіндік шала өткізгіштің өткізгіштігі валенттік зонаның жоғары деңгейлерінен электрондардың өткізгіштік зонаға ауысуынан пайда болады. Бұл кезде өткізгіштік зонада ток тасымалдаушылардың бірнеше саны - зонаның түбіне жақын деңгейлерде орналасқан, электрондар пайда болады; валенттік зонаның жоғары деңгейлерінде бір мезгілде осынша саны бар бос орындар пайда болады, осының нәтижесінде кемтіктер пайда болады. Керісінше рекомбинация процесіне электронның өткізгіштік зонадан валенттік зонаның бір бос деңгейіне ауысуы сәйкес келеді.
Жеткілікті жоғары температурада өзіндік шала өткізгіштің өткізгіштігі барлық шала өткізгіштердің түрлерінде байқалады. Алайда, қоспасы бар шала өткізгіштерде, электр өткізгіштік өзіндік және қоспалы өткізгіштіктердің қосындысынан тұрады.
Таза шала өткізгіштер. Таза шала өткізгіштердің негізгі өкілдері Менделеевтің периодты системасының IV тобына кіретін элементтер - германий мен кремний. Егер температура нөлден өзге болса, жылулық энергияның шамасы кейбір электрондарды валенттік зонадан өткізгіштік зонаға көшіруге жеткілікті болуы мүмкін. Осының салдарынан өткізгіштік зонада электрондар, ал электрондары кеткен валенттік зонада оң зарядталған вакансиялар пайда болады.
7. 6. 1. 1-сурет 7. 6. 1. 2-сурет
Бұл вакансияларды кемтіктер деп атайды. Мұндай құбылыс сәулелер әсерінен де болуы мүмкін. Сөйтіп шала өткізгіштер энергетикалық деңгейлерінің электрондармен коныстануы төмендегідей болады.
Енді осындай таза (коспасы жок) шала өткізгішті электр өpiciнe қойсак, өткізгіштік зонадағы электрондар өpic бағытына қарсы, ал көрші атомдардың электрондарының кемтіктерге көшуінің нәтижесінде кемтіктер өpic бағытымен қозғалысқа келеді. Сөйтіп таза шала өткізгіштердегі ток тасымалдайтын бөлшектер өткізгіштік зонадағы электрондар мен валенттік зонадағы кемтіктер болып табылады. Таза шала өткізгіштердің электрөткізгіштігін меншікті өткізгіштік деп атайды .
Электрондардың энергетикалық деңгейлерде таралуы Ферми-Дирак статистикасына бағынады. Өткізгіштік
зонаға өткен электрондар үшін яғни олар Ферми-Дирак таралуын кескіндейтін кисықтың Ферми деңгейінен жоғарғы мәндерімен сипатталады. Сондықтан (7. 5. 1) формуланын бөліміндегі бірді экспонентаға қарағанда ескермеуге болады. Олай болса, энергиясы
энергетикалық деңгейдегі электрондардың орта саны
(7. 6. 1. 1)
энергетикалык деңгейлер интервалына сәйкес келетін күйлердің саны
(7. 6. 1. 2)
мұндағы
өткішгіштік зонаның түбіне сәйкес келетін энергия. Ал
күйлерде орналасқан электрондардың саны
(7. 6. 1. 3)
соңғы формулада бip күйде спиндері қарама-қарсы екі электронның бола алатындығы ескерілген,
бірлік көлемдегі энергиялары
интервалында болатын өткізгіштік зонадағы электрондардың саны, яғни олардың концентрациясы
(7. 6. 1. 4)
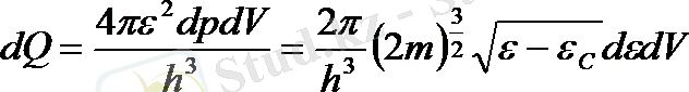
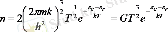
(7. 6. 1. 4) формуладағы интегралды алғаннан кейін
(7. 6. 1. 5)
мұндағы
Ферми деңгейінің өткізгіштік зонаның түбі
пен валенттік зонаның ең жоғарғы энергиясы
ортасында жататындығын, яғни
екенін еске алсақ,
(7. 6. 1. 6)
- жабық зонаның ені. Таза шала өткізгіштің электр өткішгіштігін
(7. 6. 1. 7)
формуласымен анықтасақ
(7. 6. 1. 8)
- Іс жүргізу
- Автоматтандыру, Техника
- Алғашқы әскери дайындық
- Астрономия
- Ауыл шаруашылығы
- Банк ісі
- Бизнесті бағалау
- Биология
- Бухгалтерлік іс
- Валеология
- Ветеринария
- География
- Геология, Геофизика, Геодезия
- Дін
- Ет, сүт, шарап өнімдері
- Жалпы тарих
- Жер кадастрі, Жылжымайтын мүлік
- Журналистика
- Информатика
- Кеден ісі
- Маркетинг
- Математика, Геометрия
- Медицина
- Мемлекеттік басқару
- Менеджмент
- Мұнай, Газ
- Мұрағат ісі
- Мәдениеттану
- ОБЖ (Основы безопасности жизнедеятельности)
- Педагогика
- Полиграфия
- Психология
- Салық
- Саясаттану
- Сақтандыру
- Сертификаттау, стандарттау
- Социология, Демография
- Спорт
- Статистика
- Тілтану, Филология
- Тарихи тұлғалар
- Тау-кен ісі
- Транспорт
- Туризм
- Физика
- Философия
- Халықаралық қатынастар
- Химия
- Экология, Қоршаған ортаны қорғау
- Экономика
- Экономикалық география
- Электротехника
- Қазақстан тарихы
- Қаржы
- Құрылыс
- Құқық, Криминалистика
- Әдебиет
- Өнер, музыка
- Өнеркәсіп, Өндіріс
Қазақ тілінде жазылған рефераттар, курстық жұмыстар, дипломдық жұмыстар бойынша біздің қор #1 болып табылады.

Ақпарат
Қосымша
Email: info@stud.kz