Полигибридті қант қызылшасының өнімділік көрсеткішінің тұқым қуалауы


БІЛІМ ЖӘНЕ ҒЫЛЫМ МИНИСТРЛІГІ
ҚАЗАҚ ҰЛТТЫҚ АГРАРЛЫҚ УНИВЕРСИТЕТІ
«Селекция, биотехнология және өсімдік қорғауң кафедрасы
КУРСТЫҚ ЖҰМЫС
Тақырыбы: Полигибридті қант қызылшасының өнімділік көрсеткішінің тұқым қуалауы
Орындаған: Жүндібаева Ұ.
СБ-406 к.
Тексерген: Қалиев А. Х.
Алматы, 2006
М А З М Ұ Н Ы
1. К і р і с п е
2. Негізгі бөлім.
2. 1. материал және әдіс
2. 2. Нәтижелері және оны талқылау
3. Қорытынды
4. Қолданылған әдебиеттер
К І Р І С П Е
Полигибридті қант қызылшасының өнімділік көрсеткішінің тұқым қуалауы.
Осы популяциялардың жасанды сұрыптау түрінің әсерінен жануарлар мен өсімдіктердің популациядағы сандық белгілердің тұқым қуалауын анықтауға болатын эволюцияның шамасын алдын ала көруге болады. Селекциялық процестерді жоспарлауға және қоюуға болжау тиімділдігі өткен және басқалай сұрыптау белгісінің маңызды мағынасы бар. Дегенмен нақты деректі болжау тек жан-жақты зертеулердің негізінде генетикалық шарттардың сандық белгілердің дамуы. Тұқым қуалау белгілері селекциялық процестердің 1-ші кезеңдерімен бастап-ақ материалға принципиалды баға беруге оның жақсаруына мүмкіндік туғызады.
Ата-анасынан келген көрсеткіш сол бөліктерінің фенотивтік өзгеріс белгісінің генетикалық ақпараттың осы кездегісіне байланысты. Фенотиптік өзгерістердің қалған бөлігі әр түрлі шарттың ерекше бөліктерінің өмір сүруіне байланысты. Тұқым қуалаудың жоғарғы көрсеткіші сыртқы шарттың әсерінен белгі аз өзгеретіндігін дәлелдейді және бұл жағдайда фенотив сұрыптау тиімді болуы мүмкін. Тұқым қуалаудың төменгі көрсеткіші үлкен белгінің сыртқы шартын күшті тиісті екенін көрсетеді, сол себебтен фенотипті сұрыптау күткен нәтижелерді бермейді. Қазіргі уақытта тұқымдық белгілерді интенсивті оқып үйрену жүріп жатыр, басты түрімен ауыл шаруашылық малдарын және әр түрлі фактолардың тұқымдық көрсеткіштердің көлемінің әсерімен бағаланады. Тұқымдық көрсеткіштерді қолдану жеміс селекциясында әзірге кең көлемде қолданыс таппай отыр. Бұл жартылай мәселердің теориялық аспектілерінің жеткіліксіз ойлап шығарылғандығымен түсіндіріледі, тұқымдық анықтау әдістерінің алқымдылығымен, сонымен қатар көбею ерешеліктерімен. Бұрын біз қант қызышасының кейбір сандық белгілерін, тұқымдығын бағалауға ұмтылуын хабарлады. Осы жұмыста біздің алдағы зертеулеріміздің осы бағыттағы нәтижелері келтіріледі.
Негізгі бөлім
2. 1 МАТЕРИАЛ ЖӘНЕ ӘДІС
Қант қызылшысының тетраплоидты пішіндерін Р-06, Р-023, В-038, У-752, Б-541, М-056, Л-11191, Л-9502 және диплоидты түрлері Р-06, Р-023, В-038, У-752, Б-541, М-056 будандастырды, бір тұқымды Ялтушковская. Будандастыруды 1965 жылы диаллельдік үлгі бойынша жүргізді. Нәтижесінде 56-тікелей анизоплоидтық гибридтерді алды (тетраплоидтық пішінінен жиналған) және 56-кері гибридтер( диплоидтық пішіннен жиналған) . Барлық 112 гибридтер 1966жылы алқаптық тәжірибеде өнімділігіне байланысты сыналды, 4-мәрте қаталанған. Есептік мөлтектің өлшемі 10м . Егін жинау кезінде тамыр және қант мөлшерін ескереді.
Тұқым қуалаушылық көрсеткішін тұқым қуалау әсерінен дисперсиондық анализ негізінде анықтады. Екі факторлы дисперсиондық комплекстерді қолданған. Келесі тұқым қуалау көрсеткішін алды;
h
2
1
=
:
(1)
(факториялды квадраттық сумманың жалпыға қатынасы(1) ) ;
Equation. 3 h
2
1
=
Equation. 3 =
Equation. 3 ( 2)
(генотиптік вариансаның фенотиптікке қатынасы) ;
h
2
3
=
Equation. 3 (3)
(екі еселенген вариансаның жалпы комбинациялық, қабілеттігінің фенотиптік вариансаға қатынасы) .
Тұқым қуалаушылықтың екі алғашқы көрсеткішін тіке және кері гибридтердің жиынтығы үшін анықтады.
Тұқым қуалаудың үшінші көрсеткішін жалпы және спецификалық комбинация қабілеттілігі екінші сараптау әдісі барысында анықталған. Бұл жағдайда комбинациялық қабілеттіліктің вариансасы берілген тіке және кері гибридтердің қосылып, өңдеу нәтижесінде алынған көлемдерін көрсетеді.
- НӘТИЖЕЛЕР ЖӘНЕ ТАЛҚЫЛАУЛАР
1-кестеде тікелей және қайтарымды триплоидтық гибридтердің өнімділігі мен қанттылығы бойынша дисперсиондық анализдерінің нәтижелері көрсетілген.
Анализ көрсеткендей үш зерттелген элементтен тұқым қуалаушылық пен әсер етушілік фенотиптік ауытқуы тура гибридтердің көрсетілген белгімен анықталғанда әсер ету ғана көрсетілді, генотиптік аналық тетроплоидтық пішінге сәйкес келуі(өнімділігі үшін Р<0, 01, қанттылығы үшін Р>0. 001) .
1 кесте
Дисперсондық анализдің фенотиптік әртүрлі триплоидтық гибридтерді қант қызылшасының өніміділік элементтерінің дәрежелері.
Квадраттарының жина№ы, ss
Еркіндік дёрежесінің саны, df
Орташа квадрат, ms
Квадраттарының жина№ы, ss
Еркіндік дәрежесінің саны, df
Орташа квадрат, ms
26. 78
** P<0. 01
*** P<0. 001
Диплоидтық пішіннің әсері, осы жанасудағы қолданылған аталық пішінінің ұрық шашатын орнына жүреді, екі жақты белгілері де шындыққа жанаспайтын болды(Р>0. 05) . Белгілерді алғандағы гибридтердің қатынасына ұрық шашудың әсері жоқ деп айтуға болмайды. Олардың әсер етуінің жетіспеушілігі тек генетикалық ұрықтандырудың әртүрлілігі фенотиптік гибридтердің өте әлсіз әсер етуінде. Бұның мәні ата-аналық пішінге қарым-қатынасы шындыққа жанаспау әсерде. Қайтарымды гибридтерде (диплоид х тетроплоид) тұқымдықтың әсері маңызды сол сияқты аналық пішіннің, бұл жерде диплоидтар(өнімділігі қанттылығы бойынша Р<0. 001) . Ұрық шашудың әсері (тетроплоидтар), екі жақты ата-аналық пішіннің қарым-қатынасының әсері сияқты(Р>0. 05) және гибридтерде шындыққа жанаспайтын болды.
2-кестеде тұқым қуалаушылық және тұқым қуаламайтын фенотиптік полигибридтердің өзгеруінің жалпы әсері. Көрсеткіштердің әсері бірінші есептеп шығарылған жолы, факторлық жалпы квадраттардың жинағының бөлінуі. Бұл кестеден көрінгені тіке гибридтердің 9%-да егіннің астықтың тамырының өзгеруінен және 13% қанттылығының шартты генетикалық өзгерістердің ерекшеліктері аналық тетроплоидтық пішіні.
Диплоидтық ұрық шашудың әсері егін тамырларының өзгерісі бойынша бар болғаны 3%-ды құрайды. Таблицадан ата-аналық қатынастың әсері уделдық салмағы егіндік және қанттықтың 14%-көруге болады. Бұл жерде дисперсиондық анализдер мәліметіне қарама қайшылық байқалады. (1-кесте)
Аналық пішіндер қайтарымды гибридтерде егіндік бойынша 12 пайызды және қанттылығы бойынша 16 пайызының өзгеріп отыратындығын анықтады. Аталық пішіннің әсері егіндіктің 1 пайызын және қанттылықтың 3-пайызының анағұрлым әлсіз екенін көрсетті. (2 белгілер бойынша 19 %) .
2-кесте
Полигибридтік қант қызылшасының өнімділік көрсеткішінің тұқым қуалаушылығы
Квадарттар жинағы SS
Әсер ету көрсеткіш
h 2 1
Квадраттар жинағы SS
Әсер ету көрсеткіш
h 2 1
Тікелей будандастыру (тетраплоид және диплоид )
3-кестеде 1-кестеде көрсетілгендей факторлық орталық квадратты санаумен жайып тастау жолымен, тұқым қуалау көрсеткіштері келтірілген. Аналық пішіндердің әсері тікелей гибридтің өзгеріп отыруына егіннің тамыры бойынша 6 пайызын және қанттылығы бойынша 11-пайызын, ал кері гибридтерде - сәйкесінше 10-14 пайыз өзгеріс құрайды.
Аталық пішіндерің әсері тікелей гибридтерге тек қанттылығы бойынша 0, 5 -пайыз әлсіз көрінді, ал кері гибридтерде ол мүлдем көрінген жоқ. Кері гибридтерде ата-аналыөқ өзара қатынастың аз ғана әсері аталған: 3-пайызы егін тамырларының өзгерісі бойынша және 6-пайызы қанттылығы бойынша.
Салыстырмалы баға есептеу әдістері тұқым қуалау көрсеткішінің қатынасы арқылы факторлық квадарттар жинағы жалпыға (2-кесте) қызығушылық танытады және факторлық вариансты есептеу үшін факторлы орта квадраттарды жайып тастау жолымен (3-кесте) .
3-кесте.
Полигрибридты қант қызылшасының өнімділік көрсеткішінің тұқым қуалауы
Варианс
![]()
Әсер ету көрсеткіш
h 2 2
Варианс
![]()
Әсер ету көрсеткіш
h 2 2
Тікелей будандастыру (тетраплоид және диплоид )
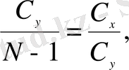
Тұқым қуалауды h 2 1 = C x /Cy формуласы бойынша анықтауды ұсына отырып, Плохинский [1] дисперсиандық комплексті осындай модельден аналық (аталық) градациясы бойынша қаралады, таңдп алынғандай әртүрлі генералдық сәйкес келулер. Бұл жағдайда әртүрлі бір туысқа жатпайтын алдын ала болжау, таңдап алынған градациялық таңдау және тір туысқа жатпайтын топ аралық, әр таңдау бойынша әртүрлі орта болса да әсер етпейді.
Екі әдістің екуі де ата-ана (аталық немесе аналық) пішіндері әсері гибридтердің өнімділік өзгерістеріне ұқсас мәліметтер бергенін көру қиын емес.
Ата-аналық өзара қатынастың әсеріне баға беретін болсақ, мұнда мәліметтер сәйкес келмейді. дисперциондық анализдердің тұқым қуалау әсерінің нәтижелерінің қарама-қайшы, ата-аналық пішіінің қимылының өзара әсері қалай тікелей болса, солай квадраттық жинағының қатынасының маңызды емес екенін көрсететін, біз көргендей жоғары салмақ жалпы варианста фактор бойынша 2-ші берілген әдістердің көмегімен алынған мәліметтер факторлық орта квадраттардың орта жайылуының дисперциондық анализдің нәтижелерімен келіседі.
Бұл қарама-қайшылық біздің көз қарасымызға әртүрлі дәрежедегі әр затты орнына қойғызуға мүмкіндік туғызу әсері 2 факторлы комплекстерді ұйымдастыруда тұқым қуалау көрсеткіші есебінде квадраттар жинағының қатынасын қолданғаны осы мүмкіндікке күдік туғызады. Оның бір факторлы комплексі үшін функционалдық тәуелділік тұқым қуалау көрсеткіші арасында тіршілік етеді. Орта квадраттың жайылуының негізінде алынған және тұқымдық көрсеткішт ері, осындай жаюсыз алынған.
- орталық квадраттың негізінде жайылған есептелген тұқым қуалау көрсеткіші;
- орталық квадраттың жайылуынсыз-ақ есептеп шығарылған тұқым қуалау көрсеткіші;
- аналық (аталық) градациясының саны;
- әр аналық (аталық) ұрпақтардың саны.
Атап айтсақ, бұл жағдайда бір факторлы комплекстерді қолдану, тек бір ата-ананың есептеу, әсер ету дәрежесін есептеп шығару, тұқым қуалау көрсеткішінің азаюына әкеп соғады.
... жалғасы- Іс жүргізу
- Автоматтандыру, Техника
- Алғашқы әскери дайындық
- Астрономия
- Ауыл шаруашылығы
- Банк ісі
- Бизнесті бағалау
- Биология
- Бухгалтерлік іс
- Валеология
- Ветеринария
- География
- Геология, Геофизика, Геодезия
- Дін
- Ет, сүт, шарап өнімдері
- Жалпы тарих
- Жер кадастрі, Жылжымайтын мүлік
- Журналистика
- Информатика
- Кеден ісі
- Маркетинг
- Математика, Геометрия
- Медицина
- Мемлекеттік басқару
- Менеджмент
- Мұнай, Газ
- Мұрағат ісі
- Мәдениеттану
- ОБЖ (Основы безопасности жизнедеятельности)
- Педагогика
- Полиграфия
- Психология
- Салық
- Саясаттану
- Сақтандыру
- Сертификаттау, стандарттау
- Социология, Демография
- Спорт
- Статистика
- Тілтану, Филология
- Тарихи тұлғалар
- Тау-кен ісі
- Транспорт
- Туризм
- Физика
- Философия
- Халықаралық қатынастар
- Химия
- Экология, Қоршаған ортаны қорғау
- Экономика
- Экономикалық география
- Электротехника
- Қазақстан тарихы
- Қаржы
- Құрылыс
- Құқық, Криминалистика
- Әдебиет
- Өнер, музыка
- Өнеркәсіп, Өндіріс
Қазақ тілінде жазылған рефераттар, курстық жұмыстар, дипломдық жұмыстар бойынша біздің қор #1 болып табылады.

Ақпарат
Қосымша
Email: info@stud.kz