Өндіріс теориясы туралы


Жоспар:
І. Кіріспе
Өндіріс теориясы
ІІ. Негізгі бөлім
А) Изокванта. Өндіріс факторларының өзара алмасуы.
Б) Жалпы, орташа және шекті өнімдер түсінігі.
В) Өндіріс факторларының икемділігі
ІІІ. Қорытынды
Кіріспе
Адамдар қоғамның тіршілік етуі үшін өндіріс процесі қажет.
Өндіріс - адамдардың өмір сүру үшін қажетті материалдық игіліктер мен қызметті жасау мақсатында табиғат заттарына әсер ету процесі.
Материалдық игіліктерді өндіру тәсілі - өндіргіш күштер мен өндірістік қатынастардың диалектикалық бірліктің екі жағы болып табылады. Бұндайда өндіргіш күштер өндіріс тәсілінің материалдық - заттық мазмұнын, ал өндірістік қатынастар - олардың өмір сүруі мен дамуының әлеуметтік- экономикалық нысанын құрайды.
Өндірілетін тауарлардың саны өндірістегі технологиялық әдәстердің ерекшеліктеріне байланысты.
Өндірістің технологиялық әдісі деп - өндіріс факторларын, яғни шикізаттар мен ресурстарды, белгілі бір өңдеу процестері арқылы дайын өнімге (тауарларға немесе қызметке) айналдыруды айтамыз. Өндірістік процесте қолданылатын факторларды негізгі 4 түрге бөледі:
- Шикізаттар мен материалдар
- Басқа өнеркәсіптің өндірген тауарлары
- Еңбек күші
- Капитал (құрал - жабдықтар, ғимараттар)
Негізгі бөлім
А) Изокванта. Өндіріс факторларының өзара алмасуы.
Өндірістік технология екі өндірістік факторларды: еңбекті және капиталды өзгертуге мүмкіндік береді деп қарастырайық. Балама технологияның болуы, көп жағдайда берілген өнім көлемін У о факторлардың әр түрлі құрылымын қолданылу арқылы өндіруге болатынын көрсетеді. Егер өндіріс функциясының мәнін тұрақты деп белгілесек, яғни
У=f(K, L) =Y o = const
Онда бұл белгілі бір өнім көлемін өндірудегі осы факторлардың қатынастарын зерттеуге мүмкіндік береді. Бұл функцияның жазықтықтағы графигі изокванта деп аталады. Изокванта K және L факторлардың түрлі құрылымдарын қолданып, бірдей өнім көлемін шығаруға болатынын көрсетеді. 1 - суреттегі факторлардың құрылымдары (K 1 , L 1 ) және (K 2 , L 2 ) өндірісте У= У о өнім көлемін алуға мүмкіндік береді. Изокванта берілген өнім көлемін көптеген технологиялық жолдармен алуға болатындығын көрсетеді.
Жазықтықта изокванталар бір - бірімен қиылыспайды. Бір графикте көрсетілген бірнеше изокванта, изокванталар картасын құрайды.
2-суретте көріп отырғанымыз У(А) = У(В) ≤У(С) ≤У(D) яғни неғұрлым изокванта координаттар осінен алыс орналасса, соғұрлым өндірілген өнім көлемі көбірек болады.
Өндіріс факторларының өзара алмасуын анықтау мақсатында кейінгі талдауларға технологиялық ауыстырудың шекті нормасы (МRTS) деген түсінік енгіземіз.
Технологиялық ауыстырудың шекті нормасы еңбекті бір өлшемге көбейткенде капиталды қандай шамаға азайту керек екенін көрсетеді, және бұл уақытта өндіріс көлемі өзгеріссіз қалуы керек. Бұл көрсеткіш төменджегідей формула арқылы есептеледі:
Өндірістік функция біртектес функция болып табылады, сондықтан у=ƒ(КL) =Y const болған жағдайда келесі теңдеу дұрыс болады:
Мұнда,
-капиталдың шекті өнімділігі;
еңбектің шекті өнімділігі
Көрсетілген осы белгілілерді орнына қойсақ:
б) Жалпы орташа және шекті өнімдердің түсінігі.
Жалпы өнім- басқа өндіріс факторлары тұрақты деп ұйғарып, зертеліп отырған фактордың белгісі санын пайдалану арқылы өндірілген өнім саны. Жалпы өнім кей кезде өндіріс нәтижесін көрсететін фактор деп те аталады, оны өндіріс функциясында У әрпімен белгілейді.
Экономикалық талдауда жалпы көрсеткіштермен қатар ортаны және шекті өнімнің көрсеткіштері де кеңінен қолданылады.
Айнымалы өндіріс факторының орташа өнімі жалпы өнім (У) мен зерттеліп отырған фактордың санының қатынасымен анықталады және бірімен факторлардың қайтымын немесе қолданылуын тиімділігін бейнелейді. Мысалы, еңбектің орташа өнімділігі былай анықталады:
Бұл көрсеткіш бір уақыт бірлігінде өндірілетін тауарлар санын көрсетеді және ол еңбек өнімділігі деп аталады.
Капиталдың орташа өнімі келесі түрде есептеледі:
Берілген көрсеткіш негізгі өндірістік қордың қолданылуын тиімділігін білдіреді және ол қор қайтымы деп аталады.
Шекті өнім өндіріс нәтижесінің өзгеруі мен өндірістік процессте қолданып отырған айнымалы фактордың санының өзгеруінің қатынасымен анықталады. Яғни капитал мен еңбек үшін олардың текті былай есептеледі:
;
Басқа факторлар тұрақты болып, бір айнымалы фактордың санын көбейту арқылы өнім шығарғанда шекті өнім азаяды.
Енді осы айтылғандарды кесте түрінде көрсетейік. Қысқа мерзімді кезеңде капитал тұрақты, ал еңбек ( жұмысшылар маны) айнымалы фактор деп ұйғарайық:
ТР
0
1
3
7
10
12
13
13
L
0
2
3
4
5
6
7
8
AP
0
0, 5
1
1, 75
2
2
1, 85
1, 65
MP
0, 5
2
4
3
2
1
0
Бұл кестеде берілгендер бойынша еңбектің орташа және шекті өнімділігін анықтайық. Мысалы, екі еңбек күшін пайдаланып өнім өндіргенде жалпы өнім саны ТР=1 дана болады. Ал еңбектің орташа өнімділігі:
дана
Шекті өнімділікті есептегенде жалпы өнім көлемі мен жұмысшылар санының өзгеруін ескереміз:
1
2
- кестедегі деректерді графикте бейнелейміз.
- сурет. Жалпыөнім қисығы
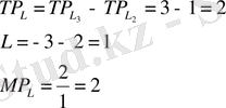
Бұл суреттен көріп отырғанымыз, өндірістік прцесте тек қана бір факторды қолданып және оның санын көбейткен уақытта
шекті өнімділік азаяды. Ал шекті өнімділіктің мәнін МР
=
=2 болғанда, жалпы өнім ТР
ең жоғары мәнге ие болады.
В Өндіріс факторларының икемділігі.
Барлық қарастырылған жалпы, орташа және шекті өнімдердің көрсеткіштері абсолюттік көрсеткіштер болады, яғни бұлар экономикалық өлшемі бар көрсеткіштер.
Дегенмен де, экономикалық талдау жүргізген кезде қатынас көрсеткіштерінің үлкен маңызы бар. Олардың бірі - факторлардың икемділік коэффиценті.
Өндіріс факторларының икемділік коэффиценті зерттеліп отырған фактордың МС орташа өнімділікке АР қатынасы түрінде анықталады және қолданып отырған фактордың саны 1% - ке өзгергенде өнім шығару көлемі неше % - ке өзгеретінін көрсетеді.
Факторлар икемділігі былай есептеледі:
- еңбек икемділігі
- капитал икемділігі
Өндіріс ауқымының өсу тиімділігі.
... жалғасы- Іс жүргізу
- Автоматтандыру, Техника
- Алғашқы әскери дайындық
- Астрономия
- Ауыл шаруашылығы
- Банк ісі
- Бизнесті бағалау
- Биология
- Бухгалтерлік іс
- Валеология
- Ветеринария
- География
- Геология, Геофизика, Геодезия
- Дін
- Ет, сүт, шарап өнімдері
- Жалпы тарих
- Жер кадастрі, Жылжымайтын мүлік
- Журналистика
- Информатика
- Кеден ісі
- Маркетинг
- Математика, Геометрия
- Медицина
- Мемлекеттік басқару
- Менеджмент
- Мұнай, Газ
- Мұрағат ісі
- Мәдениеттану
- ОБЖ (Основы безопасности жизнедеятельности)
- Педагогика
- Полиграфия
- Психология
- Салық
- Саясаттану
- Сақтандыру
- Сертификаттау, стандарттау
- Социология, Демография
- Спорт
- Статистика
- Тілтану, Филология
- Тарихи тұлғалар
- Тау-кен ісі
- Транспорт
- Туризм
- Физика
- Философия
- Халықаралық қатынастар
- Химия
- Экология, Қоршаған ортаны қорғау
- Экономика
- Экономикалық география
- Электротехника
- Қазақстан тарихы
- Қаржы
- Құрылыс
- Құқық, Криминалистика
- Әдебиет
- Өнер, музыка
- Өнеркәсіп, Өндіріс
Қазақ тілінде жазылған рефераттар, курстық жұмыстар, дипломдық жұмыстар бойынша біздің қор #1 болып табылады.

Ақпарат
Қосымша
Email: info@stud.kz