Мемлекеттiң құрылымдық - инвестициялық саясатын қалыптастыру негiздерi


Мемлекеттiң құрылымдық - инвестициялық саясатын қалыптастыру негiздерi
Жоспар:
Кiрiспе
Мемлекеттiң инвестициялық қызметiн жүзеге асыру және оның маңызды мәселелерi
Құрылыс кешенi және оның дамуын мемлекеттiк реттеу.
Кiрiспе
Ең маңызды аса маңызды екi мәселеге ерекше көңiл бөлу керек: бiрiншiден, халық шаруашылығының құрылымдық өзгерiстерiне нарықтық механизм әсер ете алмайды, сондықтан бұл өзгерiстерд мемлекет тарапынан реттеу қажет; екiншiден, өзгерiстердi инвестициялық процестермен және шаруашылық жүргiзушi субъектiлердiң инвестициялық белсендiлiгiн ынталандырумен тығыз байланыста қарастырмасақ өндiрiстiң әлеуметтiк - экономикалық тиiмдiлiгiн арттыру мақсатында құрылымдық реттеу мәселесiн шешу мүмкiн емес. Сондай-ақ, болашақтағы ғылыми негiзделген құрылымдық өзгерiстердiң қажеттiлiгi - әсiресе экономиканы басқарудың жоғарғы деңгейiнде инвестициялық шешiмдер қабылдауға қатысты мақсатты сипатта болады.
Экономикадағы құрылымдық өзгерiстердi сипаттайтын көрсеткiштер жүйесi мен деңгейi көбiнесе мемлекеттiң экономикалық саясатын жүзеге асыру мен болашақтағы кезеңдерге белгiленген мақсаттарға қол жеткiзу жөнiндегi нақтылы макроэкономикалық шараларға байланысты. Басқаша айтқанда, жалпы мемелекеттiк экономикалық саясат - макроэкономикалық, салық және аймақтық деңгейлерде құрылымдық саясатты қалыптастыру негiзгi болып табылады.
Макроэкономикалық тұрғыдан алғанда құрылымдық саясатты қалыптастыру негiзiне өзара тиiмдi қатынастарды қамтамасыз ету жөнiндегi бiрқатар мәселелер жатады. Олар: қоғамдық өнiм өндiру бөлiмшелерi арасындағы, аралық және дайын өнiм, өнеркәсiптегi өндiрiс құралдарының өндiрiсi (“А” тобы), ұлттық табыстағы тұтыну қоры мен қор жинау, өндiрiстiк және өндiрiстiк емес күрделi қаржы жұмсау, құрылыс- монтаж жұмыстары мен өндiрiс жабдықтарына шығын жұмсау араларындағы қатынастар. Олардың негiзiнде тиiмдiлiкке қол жеткiзу дегенiмiз - қоғамның табиғи-шикiзат, материалдық - техникалық және интеллектуалдық қорларын қолдана отырып, халықтың материалдық және мәдени қажеттiлiктерiн, жақсы тұрмыс жағдайын қамтамасыз ету. Мұнда аталған мәселенi шешудi тездетудiң негiзi әрдайым аз шығын жұмсап көп нәтижеге қол жеткiзуге бағыттайтын шаруашылық жүргiзудiң нарықтық моделi.
Макроэкономикалық салада оңтайландыру iсi халық шаруашылығының салалық құрылымына да әсер етедi. Өйткенi мұнда өзгерiстердi жүзеге асырудың маңызды тетiгi -макроэкономикалық жағдайға айтарлықтай әсер ететiн салалық басымдықтарды ғылыми негiздеу болып табылады. Республикамыздың жағдайында салалық құрылымның тиiмдi жағдайын анықтау - экономиканың шикiзаттық бағытын жою және өнеркәсiптi дамыту мәселелерiмен тығыз байланысты.
Болашақтағы салалық өзгерiстердi негiздеуде ескерiлетiн маңызды фактор - жиынтық сұраныс құрылымы жайлы болжамды мәлiметтер. Олар iшкi қорлар мен импортты алмастыратын өндiрiстi ұйымдастыру есебiнен тиiстi жиынтық ұсыныс құрылымын қажет етедi. Әлемдiк тәжiрибе, басқа елдерден алынатын ресурстар экономикалық егемендiктi нығайтуға септiгiн тигiзбейтiндiгiн дәлелдеп отыр. Ал, егерде мәселе азық-түлiк өнiмдерiне деген сұранысты өтеу жөнiнде болса, онда импортқа бағытталу елдiң азық-түлiк ьойынша қауiпсiздiгiн айтарлықтай нашарлатады.
Дағдырысты жағдайдан шығу және экономиканы дамыту - ұлттық табыстағы өндiрiстiк қор жинау үлесiн арттыруға байланысты. Ал бұл, өз кезегiнде, әсiресе барынша жетiлдiрiлген өндiрiс құралдарын шығаратын салаларда өндiрiстiң өсу қарқынын арттыруды қажет етедi. Мұнда да шетелдiк технологиялық инвестицияларға бағытталуға болады және бағытталу керек деген жаңсақ пiкiрлер бар. Шетелдiк технологиялық инвестицияларға толықтай бағытталу, бiрiншiден, отандық машина жасау және өндiрiс процесiн механизацияландыру мен автоматтандыруды қамтамасыз ететiн салалардың мүддесiне шек келтiруi мүмкiн; екiншiден, елде техникалық процестiң негiзгi бағыттары бойынша күрделi және қолданбалы ғылыми зерттеулер жүргiзуге қажеттiлiк төмендеуi мүмкiн. Бұл екi жағдайда да өндiрiсте интеллектуалдық ұтылыс анық байқалады, ал оны болдырмау үшiн мемлекеттiң құрылымдық саясатын қалыптастыруда халық шаруашылығының инфрақұрылымдық және әлеуметтiк салаларының өндiрiстiк негiзiн жаңарту мен пайдалану тиiмдiлiгiн арттыру мүдделерi көзделуi тиiс.
Мұндай саясатты қалыптастыру қалдықсыз технологияларды кеңiнен ендiре отырып, елдiң табиғи байлықтарын тиiмдi игеру мүдделерiне де негiзделедi. Бұл, республиканың экспорттық әулиетiн арттыру -шетелдерге барлық жағынан әлемдiк стандарттарға сәйкес келетiн дайын өнiм шығаруға мүмкiндiк беруi қажет. Сол арқылы экономиканың, оның iшiнде өнеркәсiптiң шикiзаттық бағытын жою мүмкiн болар едi.
Егер әлемдiк шаруашылық байланыстарда өз орнымызды таппасақ, сондай - ақ халықаралық еңбек бөлiнiсiне қатысу мәселесi назарға алынбаса, онда құрылымдық саясат ғылыми негiзделген болмайды. Аталған жағдайда “өз орнымызды табу” дегенiмiз экспорттық бағытталған салаларды дамыту, ал “еңбек бөлiнiсiне қатысу” - маманданған салалардың пайда болуы мен дамуын бiлдiредi.
Бұл жерде бiз халық шаруашылығы салалық құрылымының тиiмдiлiгiн арттыру саласындағы мемлекеттiк саясатты қалыптастырудың негiзгi факторларына ғана тоқталдық. Сондай-ақ, ең алдымен елдiң өндiргiш күштерiн орналастыруды оңтайландыру мәселесiн қамтитын халық шаруашылығының аймақтық құрылымын тиiмдi ету iсi де маңызды екендiгiн атап өту керек. Бұл тұста, экономиканың салалық және аймақтық құрылымдарын оңтайландыруда шешушi рөл атқаратын екi факторды бөлiп қарастыруға болады. Мәселе табиғи қорларды тиiмдi игеруде және қоғамдық өндiрiс пен халықтың өмiр сүру деңгейiнiң тиiмдiлiгiн арттыруға қол жеткiзуде болып отыр.
Алайда, халық шаруашылығының аймақтық құрылымын ғылыми негiздеуде ерекше сипаттағы факторлар да ескерiледi. Атап айтқанда, әр түрлi аймақтардағы халықтың өмiр сүру деңгейiн теңестiру қажеттiгi жөнiнде, өйткенi, егерде аймақаралық ауытқулар деңгейi жоғары болса, әлеуметтiк шиеленiсу мәселелерi күшейе түседi.
Аталған жағдайдан аймақтық құрылымды қалыптастырудың келесi факторы - жергiлiктi халықтың жұмыспен қамтылу коэффициентiнiң мөлшерiн арттыру арқылы экономикалық және әлеуметтiк тиiмдiлiкке қол жеткiзудiң жалпы мемлекеттiк мүдделiлiгi туындайды. Аймақтық жұмыспен қамтылудың әртүрлiлiгiн талдау және есепке алу әрқашанда мемлекеттiң аймақтық саясатын қалыптастыруда бастапқы негiз болуы шарт. Бұл мәселе бiздiң республикамыздың жағдайында өте өзектi болып отыр. Себебi, материалдық өндiрiстiң аса маңызды салаларында аймақтық ерекшелiктердi ескерместен әкiмшiлiк әдiстермен Жекешелендiру шараларын жүзеге асыру түптеп келгенде жұмыссыздықтың өсуiне, халықтың ауылдан қалаға көшуiн күшейтiп, экономиканың аграрлық секторының материалдық - техникалық және ғылыми- интеллектуалдық базасының құлдырауына алып келдi.
Халық шаруашылығы аймақтық құрылымның өзгерiсi көбiнесе республиканың әкiмшiлiк аумақтары мен iрiлендiрiлген аудандарының әлеуметтiк - экономикалық дамуының кешендiлiк қағидасына байланысты. Аталған қағида аймақтық құрылымды қалыптастырудың маңызды факторларының бiрi.
Жоғарыда, мемлекеттiң құрылымдық саясаты, ең алдымен макроэкономикалық деңгейде инвестициялық шешiмдер қабылдап, жүзеге асыру арқылы, яғни құрылымдық және инвестициялық саясаттарды тығыз байланыстырғанда ғана шынайы болатындығы айтылды.
Инвестициялық саясат маңызды үш бағытта жүргiзiледi:
- мемлекеттiк бюджеттiк қорларды пайдалану арқылы;
- iшкi несие қорлары мен жеке заңды тұлғалардың өзiндiк қаражаттарын тиiмдi қолдануды ынталандыру арқылы;
- шетелдiк инвестициялар тарту мен тиiмдi пайдалану механизмi арқылы.
Осы бағыттар iшiнен басымдысын таңдап алу және халық шаруашылығының барынша тиiмдi аймақтық - салалық құрылымын қолдау мақсатында олардың үйлесiмiн қамтамасыз ету- мемлекеттiң инвестициялық саясатының негiзiн құрайды. Оны қалыптастыру барысында ҚР Президентi бектетiн күрделi ұлттық бағдарламаларды iске асыру қажеттiгi де ескерiледi.
Iс жүзiнде, белгiлi мақсатқа қол жеткiзудi қөздейтiн мемлекеттiң құрылымдық - инвестициялық саясатының бағыттары мен көрсеткiштерi сандық жағынан айқындалып, атқарылатын мерзiмi бойынша анықталуы тиiс.
Ал бұл, өз кезегiнде, мүдделер, ресурстық база, механизмдер, объектi мен осы саясатты жүзеге асыру процесiнiң өзi де салалардың, аймақтар мен тұтастай халық шаруашылығының орта және ұзақ мерзiмдiк даму жоспарларында көрiнiс табатындығын бiлдiредi. Мысалға, нарықтық қатынастар саласы дамыған елдердiң мемелекет қызметiнде келесiдей өзара байланыс анық байқалады (6 сурет) .
6-сурет. Экономиканы реттеу жөнiндегi мемлекет шараларының өзара байланыстылығы
Жоғарыдағы өзара байланысты матрицалық модель түрiнде көрсетуге болады. Онда оның баланстық нәтижелерiн анықтап, экономикалық - математикалық есептеулер жүргiзу және мәлiметтердi бiр жүйеге келтiруге болады. Оны қарапайым кесте түрiнде, бухгалтерлiк қосарланған жазу әдiсi арқылы толтыруға болады.
Болашаққа әзiрленген, мақсаттары мен әдiстерiн ескере отырып салалық және аймақтық деңгейлерге жасалған матрицалық моделдердiң мәлiметтерiн талдау - халық шаруашылығының тиiмдi құрылымы мәселелерiн жоспарлы түрде шешудiң негiзiн құрайды. Осы тұрғыдан ғана экономиканың салалық және аймақтық құрылымдарын мемлекеттiк реттеу механизмдерiн қолдау мәселелерiн қарастыруға болады. Өз тәжiрибемiздi өзге елдердiң экономикалық реформаларды жүзеге асыру тәжiрибесiн талдау, мұндай жағдайда механизмдер құрамы мен басымдығы көбiнесе құрылымдық өзгерiстер бағыттарының бастапқы жағдайына тәуелдi екенiн байқатты. Егерде бұл бағыттар мақсатты мiндеттерге сәйкес болып, құрылымдық өзгерiстердiң экономикалық және әлеуметтiк тиiмдiлiгiн арттыру үшiн “бағытты” шамалы ғана өзгертудi талап ететiн болса жақсы. Мұндай жағдайда халық шаруашылығының төменгi бөлiмшелерiнде инвестициялық белсендiлiктi ынталандыру механизмi басымды болар едi.
Ал егер, ел экономикасында құрылымдық дағдарыс орын алып, құрылымдық өзгерiстердiң тиiмсiз бағытталуы қалыптасатын болса - бұл мүлдем басқа жағдай. Қазақстанда бүгiн екi түрлi жағдай да орын алып отыр. Ол жөнiнде 1-кестедегi келтiрiлген республика өнеркәсiбiнiң салалық құрылымы дәлелдейдi.
Осылайша, қазiргi кезеңде республика экономикасындағы құрылымдық дағдарысты жою үшiн тұтастай мемлекеттiң құрылымдық - инвестициялық саясатының бағытын айтарлықтай өзгеру қажет және оны ауыл шаруашылығы мен аграрлық өнеркәсiптiк инфрақұрылымның әлеуметтiк -экономикалық рөлiн қалпына келтiруге бағыттау керек. Құрылыс кешенiне де осындай көзқарас қажет. Осыдан келiп экономикадағы құрылымдық өзгерiстердi реттеудiң механизмдерi арасында бюджеттiк қаржыландыру, несие бөлу және салық салу басымды болып табылады.
Қазiргi жағдайларда ҚР Үкiметiнiң құрылымдық саясаты бiздiң ойымызша келесiдей мәселелердi қамтуы тиiс:
- дайын өнiм шығару арқылы экспорттық әулиеттi арттыратын салалар дамуына басымдық беру;
- iшкi нарық талаптарын қанағаттандыратын және импортты алмастыратын өнiм өндiрiсiн кеңейту;
- негiзiнен отандық өндiрiс есебiнен халық шаруашылығы барлық салаларының өндiрiстiк аппаратын жаңарту;
- халық қажеттiлiктерiн қанағаттандыруға бағытталған салалар дамуын қамтамасыз ету;
- халық қажеттiлiктерiн қанағаттандыруға бағытталған салалар дамуын қамтамасыз ету;
- экономиканың аграрлық секторының дамуын тездетуге бағытталған қаржы және несие қорларын арттыру және т. б.
Жоғарыда айтылғандарды қорытындылай келе келесiдей негiзгi тұжырым жасауға болады: мемлекеттiң құрылымдық - инвестициялық саясатын алдын ала ғылыми негiздемейiнше және салалық, аймақтық деңгейлерде оны жүзеге асырудың механизмдерiн дұрыс таңдамайынша құрылымдық өзгерiстердi қажеттi бағытта қамтамасыз ету мүмкiн емес. Сұраныс пен ұсынысты сәйкестендiрудiң нарықтық заңы бойынша стихиялы түрде капитал мен өзге де қорлардың бiр саладан екiншiсiне ауысуы ешқашанда бiрiншi кезектегi әлеуметтiк мәселелердi шешуге және қоғамдық өндiрiс тиiмдiлiгiн арттыруға мүмкiндiк бермейтiндiгiн түпкiлiктi ұғыну қажет. Ал, олардың шешiмi - тұтастай алғанда мемлекеттiң жалпы экономикалық саясатынан туындайтын құрылымдық саясатты жүзеге асырудың басты мақсаты. Ендi осы саясатты iске асырудың негiзгi механизмдерi қандай? - деген сауалға жауап берiп көрейiк.
Макроэкономикалық деңгейде оны жүзеге асырудың шешушi механизмi -басымды салалар дамуының мақсатты бағдарламалары. Онда әлеуметтiк - экономикалық, ғылыми-техникалық, ұйымдық - құқықтық сипаттағы шаралар жеткiлiктi түрде нақтыланды. Сондай-ақ, iшкi және сыртқы нарықтарда тиiстi орын алу мақсатында осы салалар шығаратын өнiм сапасы мен техникалық деңгейiн арттыруға үлкен көңiл бөлiнедi. Бағдарламалық көрсеткiштер басымды салалар мен аймақтардың барынша қарқынды дамуы үшiн тиiстi жағдайлар жасау жөнiндегi барлық шараларды қормен қамтамасыз ету барысын да қамтиды. Бұл жерде мәселе ең алдымен қаржы ресурстары туралы болып отыр, өйткенi оларды анықтау кезiнде сала iшiндегi (аймақтық) резервтерi ескерiледi.
Құрылымдық - инвестициялық саясатты жүзеге асырудың маңызды мезханизмдерiнiң бiрi - басымды салаларда жеделдетiлген өтелiм нормасын белгiлеу -бұл жоғарыда аталған резервтердi арттыруды қамтамасыз етедi. Бұл iсте қарастырылып отырған салалар кәсiпорындарының пайдасына салынатын салықты азайту (жеңiлдiкпен салық салу), сондай-ақ инновациялық қызметке, әсiресе жаңа ғылыми- техникалық жетiстiктердi ендiруге бағытталған пайда бөлiгiн тұтастай салықтан босату маңызды рөл атқарады.
Мұндай қызмет жеңiлдiкпен несие беру механизмi мен салықтық несие бөлу арқылы да ынталандыруы шарт. Бiрақ, бұл механизм егер де басымды салалар бойынша таңдап алынған инвестициялық жобаларға жеңiлдiкпен несие бөлiнсе ғана тиiмдi нәтиже бередi. Осыған байланысты, қарастырылған инвестициялық жобаларды жеңiлдiкпен несиелеу қызметiн атқаратын банктер ( әсiресе коммерциялық) моральдық және материалдық қолдау табатындай жағдай жасалса - бұл аса маңызды шара болар едi.
Егер отандық және шетелдiк инвесторлар басымды салалар объектiлерiне көңiл бөлсе ғана салықтық жеңiлдiктер жасалуы керек. Бiрiншi кезекте iшкi (отандық) несие қорларын қолдануға көңiл бөлу қажет, өйткенi шетелдiк несиелер, жоғарыда атап өтiлгенiндей, нәтижесiнде мемлекетке 2-3 есе қымбатқа түседi. Ерекше атап өтетiн тағы да бiр мәселе, жеңiлдiкпен салық салу - қалдықсыз және экономикалық жағынан тиiмдi технологияларды қолдануға негiзделген инвестициялық жобаларды қаржы ресурстармен қамтамасыз ететiн инвесторларға қолданылуы тиiс.
Егер кәсiпорындар мен инвестициялық жобаларды шикiзатпен, техникамен, құрал-жабдықтармен және т. б. импорт есебiнен қамтамасыз ету көзделген болса, онда басымды салалардың (аймақтар) барынша қарқынды дамуы үшiн жеңiлдiкпен кедендiк алымдар алуды ұйымдастырудың да маңызы бар. Алайда импортты алмастыратын отандық өнiм өндiрiсi көп жағдайда өте тиiмдi екенiн тағы да атап өткен жөн. Нақтылы осы мақсатта басымды салалар мен өндiрiстер жүйесiнде кәсiпкерлiктiң, шағын және орта бизнестiң дамуын ынталандыру механизмдерiн барынша батыл түрде қолдану керек.
Қорыта келе, айтарымыз, жоғарыда аталған механизмдер ұзақ мерзiмге бағытталған тиiстi заңды-құқықтық негiзiн жасаған жағдайда ғана тиiмдi ықпал ете алады. Осы негiздiң мазмұнына үнемi өзгерiс енгiзу (қазақстандағыдай) инвестициялық процесстердiң баяндалуына және құрылымды құрайтын салалар инвестициялық жобаларының iске аспауына алып келетiндiгiн өмiр көрсетiп отыр. Бұл әсiресе, әрiптестерiмен шаруашылық мәселелерiн шешу кезiгдегшi өте сақтықпен қару қағидасын ұстанатын шетелдiк инвесторларға қатысты. Заңдардың тұрақсыздығы-күрделi, құрылымды құраушы өндiрiстер туралы шешiм қабылдауда отандық инвесторларды да алшақтатады. Өйткенi бұл жерде тәуекелге баруға тура келедi.
Мемлекеттiң инвестициялық қызметiн жүзеге асыру және оның маңызды мәселелерi.
Экономикалық әдебиетте инвестиция түсiнiгiне анықтама беру жөнiнде көп талас жоқ. Қалыптасқан пiкiр бойынша оның құрамына пайда, табыс және әлеуметтiк эффект алу мақсатында экономика салаларының барлық нысандарына, кәсiпкерлiк қызметтi дамытуға жұмсалатын меншiк және иттелектуалдық құндықтардың барлық түрi енедi. Инвестиция құралы ақша қаражаттарынан, мақсатты банк несиелерiнен, үлестiк жарналардан, акциялар мен басқа да бағалы қағаздардан, қозғалатын және қозғалмайтын мүлiктерден (ғимараттар, қондырғылар, материалдар т. б. ) жердi пайдалану құқығынан, табиғи қорлардан т. б. тұрады. Инвестициялық қызметтiң негiзгi нысаны инвестициялық жобаларды жүзеге асыру болып табылады. Бұл жерде инвестициялау үрдiсiн қаржыландыру үрдiсiнен ажыратып алған жөн. Егер инвестициялау қорларды көрсетiлген жобалар бойынша орналастыру болса, онда қаржыландыру осы қорлардың көздерiн қамтамасыз етедi.
Кейбiр әдебиеттерде инвестицияны күрделi қаржы ретiнде қарастырады. Мұндай қателiктiң себебi, инвестициялық қорларды нақты пайдалану нысанының анықталмауында. Егер күрделi қаржы негiзгi қорларды қарапайым және ұдайы өндiруге бағытталатын болса, онда инвестициялар құрылыс-монтаждау жұмыстарының, керектi қондырғылардың және басқа шығындардың құнын қамтиды. Яғни, инвестиция түсiнiгi күрделi қаржы түсiнiгiнен әлдеқайда кең. Сонымен, инвестициялық қызмет дегенiмiз “Заңды тұлғалардың, азаматтардың және мемлекеттiң инвестицияларды жүзеге асыру жөнiндегi практикалық iс-әрекеттерiнiң жиынтығы” болып табылады. Олар төмендегiдей инвестициялық сфераларды жүзеге асырылады: а) күрделi құрылыс; ә) инновациялық сфера; б) қаржы капиталын пайдалану сферасы; в) қозғалатын және қозғалмайтын мүлiк нарығында мүлiктiк құқықтарды жүзеге асыру сферасында (кепiлдiк құқық пен ипотекалық несиенi қоса есептегенде) .
Инвестициялардың күрделi қаржыдан тағы бiр айырмашылығы, олар материалдық емес активтердi (жер бөлiктерiн пайдалану құқығы мен табиғатты пайдалану нысандары, патенттер, авторлық құқықтар, тауарлық белгiлер, сауда маркалары, лицензиялар және т. б. ) ұлғайту үшiн де жұмсалынады. Материалдық емес активтердi құру және ұлғайтуды қаржыландыру үшiн қолданылатын негiзгi көздерге амортизациялық төлемдер, таза пайда, коммерциялық және басқа да банктердiң ссудалары, қор нарығынан түсiмдер және т. б. жатады.
Инвестициялар әр түрлi меншiк түрлерiндегi кәсiпорындардың айналым активтерiне де жұмсалады. Кәсiпорындардың айналым активтерi өндiрiс сферасындағы (өндiрiстiк запастар, аяқталмаған өндiрiс, келешек кезеңдер шығындары ж. б. ), айналым сферасындағы ( дайын өнiм, ақша қаражаттары т. б. ) айналым қорларынан тұрады.
Инвестициялау жөнiнде шешiм қабылдаудағы негiзгi мәселе - инвестициялық жобаларды объективтi бағалау. Жобаларды бағалау оңай шаруа емес, себебi сөз жалпы экономикалық мақсаттарға қол жеткiзу үшiн мемлекет деңгейiнде жүргiзiлетiн жобалар туралы болып отыр. Инвестициялық жобалардың тиiмдiлiгiн бағалауда таза ағымдағы құн, рентабелдiлiк, iшкi табыстылық, өтелу мерзiмi сияқты көрсеткiштердi есептеумен қатар, ақшаның қазiргi және келешек кезеңдегi құнының айырмасын да анықтау керек.
Бұндай есептеулер не үшiн қажет? Өйткенi, ақшаның қазiргi кездегi құны бойынша есептелген шығындарды табыспен салыстыру мүмкiндiгiн туғызу керек. Сол себептi, жобаны жүзеге асыру кезiндегi ақша құны бойынша есептелген табыстар, инвестициялау жөнiнде шешiм қабылданған кезеңдегi ақша құнымен қайта есептелуi тиiс.
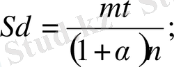
Бұл есептеудiң дисконттау деп аталатыны белгiлi, және ол төменгi формула бойынша жүргiзiледi:
бұл жерде: Sd - дисконттау мөлшерлемесi немесе ақшаның қазiргi кездегi құны;
mt - ақшаның келешектегi құны;
α - пайданың талапты нормасы немесе ақшаның уақытша құны;
n - ақша құнының өсуi байқалатын жылдар саны.
Осындай есептеулердiң нәтижесiнде инвестициялық жобалардың таза қазiргi құнын анықтаймыз. Келтiрiлген (дисконтталған) табыстарды келтiрiлген шығындар көлемiне бөлу арқылы жобаның рентабелдiлiк деңгейiн есептеп шығаруға болады. Қарастырылып отырған инвестициялық жоба бойынша шешiм қабылдау үшiн оның iшкi табыстылық көрсеткiшiн пайдаланады. Ол көрсеткiш жобаны жүзеге асыру кезеңiндегi инфляция деңгейiнiң ықпалын көрсетедi. Яғни, инвестициялық жобаны жүзеге асырудың зиянсыз болуына сенiмдi болу үшiн, есепке алынатын инфляция деңгейi қандай болуы керек деген сұраққа жауап бередi.
Сонымен, мемлекет тарапынан инвестициялық шешiмдердi қабылдау және жүзеге асыру, осы iс-әрекеттi ұйымдастырудың логикалық моделiн алдын ала дайындауды талап етедi.
Бiздiң ойымызша, кәсiпорындардың инвестициялық қызметiнiң жалпы қабылданған моделiнiң логикасын макроэкономикалық (мемлекеттiк) деңгейде де қолдануға болады. Түптеп келгенде, бұл модель төмендегiдей (7 сурет) .
7 - сурет. Инвестициялық үрдiс моделi
Кестеде көрсетiлгендей, стратегиялық жоспарлау және еңбек ресурстарымен қамтамасыз ету, қабылданатын инвестициялық шешiмдердiң сыртқы жағдайлары және сонымен қатар “шектеушiлерi” түрiнде көрiнiп тұр. Мемлекеттiк деңгейде бұл шешiмдердi қаржыландыру орталықтандырылған (бюджеттiк) қорлар есебiнен жүргiзiледi, ал олардың көлемi жылдан жылға азаюда. Азайған көлемнiң орны мемлекеттiк кәсiпорындар мен ұйымдардың негiзгi капиталға жұмсалған өз қаржыларының есебiнен толтырылады. Осы көрсеткiштердiң динамикасын Қазақстан бойынша төменде келтiрiлген мәлiметтер арқылы байқауға болады (10-кесте) .
10 - кесте
Күрделi құрылысқа жұмсалған инвестициялар
... жалғасы- Іс жүргізу
- Автоматтандыру, Техника
- Алғашқы әскери дайындық
- Астрономия
- Ауыл шаруашылығы
- Банк ісі
- Бизнесті бағалау
- Биология
- Бухгалтерлік іс
- Валеология
- Ветеринария
- География
- Геология, Геофизика, Геодезия
- Дін
- Ет, сүт, шарап өнімдері
- Жалпы тарих
- Жер кадастрі, Жылжымайтын мүлік
- Журналистика
- Информатика
- Кеден ісі
- Маркетинг
- Математика, Геометрия
- Медицина
- Мемлекеттік басқару
- Менеджмент
- Мұнай, Газ
- Мұрағат ісі
- Мәдениеттану
- ОБЖ (Основы безопасности жизнедеятельности)
- Педагогика
- Полиграфия
- Психология
- Салық
- Саясаттану
- Сақтандыру
- Сертификаттау, стандарттау
- Социология, Демография
- Спорт
- Статистика
- Тілтану, Филология
- Тарихи тұлғалар
- Тау-кен ісі
- Транспорт
- Туризм
- Физика
- Философия
- Халықаралық қатынастар
- Химия
- Экология, Қоршаған ортаны қорғау
- Экономика
- Экономикалық география
- Электротехника
- Қазақстан тарихы
- Қаржы
- Құрылыс
- Құқық, Криминалистика
- Әдебиет
- Өнер, музыка
- Өнеркәсіп, Өндіріс
Қазақ тілінде жазылған рефераттар, курстық жұмыстар, дипломдық жұмыстар бойынша біздің қор #1 болып табылады.

Ақпарат
Қосымша
Email: info@stud.kz