Компьютерлік қосымшамен есептеу әдістері пәні бойынша


Жұмыс түрі: Курстық жұмыс
Тегін: Антиплагиат
Көлемі: 74 бет
Таңдаулыға:
ҚАЗАҚСТАН РЕСПУБЛИКАСЫНЫҢ БІЛІМ ЖӘНЕ ҒЫЛЫМ МИНИСТРЛІГІ
Қ. И. СӘТБАЕВ атындағы ҚАЗАҚ ҰЛТТЫҚ ТЕХНИКАЛЫҚ УНИВЕРСИТЕТІ
Автоматика және басқару институты
Технологиялық үрдістер мен өндірістерді автоматтандыру кафедрасы
«Компьютерлік қосымшамен есептеу әдістері» пәні бойынша
КУРСТЫҚ ЖҰМЫС
№
Жұмысты орындау сапасы
Бағалау аралығы
1
2
3
4
5
6
Тексерген: доцент
Нурахунова Р. К.
Студент: Нурышева А. К.
Мамандығы: 050702
Тобы: АУб-06-3к
Алматы 2008
Мазмұны:
Кіріспе . . . 3
Жалпы теориялық мағлұмат . . . 4
Есептердің орындалу тәртібі . . . 6
1. Бірінші тапсырма . . . 6
1. 1 Бірінші тапсырманың математикалық түрі . . . 6
1. 2 Бірінші тапсырманың алгоритімі . . . 6
1. 3 Бірінші тапсырманың Delphi ортасында өңделген программаның тексті(листинг) . . . 10
1. 4 Бірінші тапсырманың программасының нәтижесі . . . 10
1. 5 Бірінші тапсырма есебіңің шыққан нәтижесін программалық қосымшамен (MathCad, Matlab, Maple) ) салыстыруы . . . 11
1. 6 Бірінші тапсырманың программасының нәтижесі . . . 11
1. 7 Бірінші тапсырманың программасының блок-схемасы . . . 16
2. Екінші тапсырма . . . 20
2. 1 Екінші тапсырманың математикалық түрі . . . 20
2. 2 Екінші тапсырманың алгоритімі . . . 22
2. 3 Екінші тапсырманың Delphi ортасында өңделген программаның тексті(листинг) . . . 23
2. 4 Екінші тапсырманың программасының нәтижесі . . . 25
2. 5 Екінші тапсырма есебіңің шыққан нәтижесін программалық қосымшамен (MathCad, Matlab, Maple) салыстыруы . . . 25
2. 6 Екінші тапсырманың программасының нәтижесі . . . 25
2. 7 Екінші тапсырманың программасының блок-схемасы . . . 28
3. Үшінші тапсырма . . . 31
3. 1 Үшінші тапсырманың математикалық түрі . . . 31
3. 2 Үшінші тапсырманың алгоритімі . . . 32
3. 3 Үшінші тапсырманың Delphi ортасында өңделген программаның тексті(листинг) . . . 33
3. 4 Үшінші тапсырманың программасының нәтижесі . . . 35
3. 5 Үшінші тапсырма есебіңің шыққан нәтижесін программалық қосымшамен (MathCad, Matlab, Maple) салыстыруы . . . 35
3. 6 Үшінші тапсырманың программасының нәтижесі . . . 35
3. 7 Үшінші тапсырманың программасының блок-схемасы . . . 40
4. Төртінші тапсырма . . . 41
4. 1 Төртінші тапсырманың математикалық түрі . . . 41
4. 2 Төртінші тапсырманың алгоритімі . . . 42
4. 3 Төртінші тапсырманың Delphi ортасында өңделген программаның тексті(листинг) . . . 42
4. 4 Төртінші тапсырманың программасының нәтижесі . . . 44
4. 5 Төртінші тапсырма есебіңің шыққан нәтижесін программалық қосымшамен (MathCad, Matlab, Maple) салыстыруы . . . 44
4. 6 Төртінші тапсырманың программасының нәтижесі . . . 45
4. 7 Төртінші тапсырманың программасының блок-схемасы . . . 46
5. Бесінші тапсырма . . . 52
5. 1 Бесінші тапсырманың математикалық түрі . . . 52
5. 2 Бесінші тапсырманың алгоритімі . . . 52
5. 3 Бесінші тапсырманың Delphi ортасында өңделген программаның тексті(листинг) . . . 53
5. 4 Бесінші тапсырманың программасының нәтижесі . . . 55
5. 5 Бесінші тапсырма есебіңің шыққан нәтижесін программалық қосымшамен (MathCad, Matlab, Maple) ) салыстыруы . . . 55
5. 6 Бесінші тапсырманың программасының нәтижесі . . . 55
5. 7 Бесінші тапсырманың программасының блок-схемасы . . . 60
6. Алтыншы тапсырма . . . 64
6. 1 Алтыншы тапсырманың математикалық түрі . . . 64
6. 2 Алтыншы тапсырманың алгоритімі . . . 65
6. 3 Алтыншы тапсырманың Delphi ортасында өңделген программаның тексті(листинг) . . . 67
6. 4 Алтыншы тапсырманың программасының нәтижесі . . . 67
6. 5 Алтыншы тапсырма есебіңің шыққан нәтижесін программалық қосымшамен (MathCad, Matlab, Maple) салыстыруы . . . 68
6. 6 Алтыншы тапсырманың программасының нәтижесі . . . 68
6. 7 Алтыншы тапсырманың программасының блок-схемасы . . . 70
Қорытынды . . . 71
Әдебиеттер тізімі . . . 72
Кіріспе
Ғылым мен техникада көптеген есептер функциялалар, алгебралық, дифференциалдық немесе интегралдық теңдеулер арқылы математика тілінде сипатталып жазылады. Мұндай есептер бірнеше жолдармен шешіледі. Анализдік әдістер сондай жолдардың бірі болып табылады. Бірақ оларды пайдалану көп жағдайда мүмкін бола бермейді.
Есептеу кезінде анализдік әдістерді пайдалану қиындық келтіргенде немесе тіпті пайдалану мүмкін болмаған жағдайда есептеу математикасының сандық әдістері қолданылады. Ол әдістер бастапқы берілген есепті мағынасы бойынша соған жуық басқа есеппен алмастыру мүмкіндігіне негізделген. Ал соңғы есеп кейбір шарттарды қанағаттандыру тиіс. Мысалы, шешімнің бар болуы, орнықты, жинақты болуы және т. с. с. Бұл есептің алғашқы есптің жуық шешімін беруі тиіс немесе оған белгілі бір дәлдікпен жинақталу қажет.
Есепте негізгі деректер, яғни ондағы коэффиценттер, бос мүшелер немесе қосымша шарттар жуық шамалармен берілу мүмкін, соның нәтижесінде пайда болған қателіктерді жөнделінбейтін қателіктер деп аталады.
ЭЕМ-де цифрлар саны шексіз көп сандарға арифметикалық амалдар қолданылмайды. Сондықтан ондай сандар ең алдымен цифрларының саны шектеулі жуық сандармен алмастырылады. Осындай дөңгелектеулердің сандарынан пайда болған қателіктерді есептік қателіктер деп атайды. Олар есептің жуық шешімнің дәлдігіне тікелей әсерін тигізетіні анық.
Алгоритм деп берілген деректердің дәйекті нәтижеге түрлену жолын көрсететін ережелер мен нұсқаулар жүйесін айтады.
Алгоритмның келесі қасиеттері бар:
а) Есептің шығару (шешу) жолын бір мағыналы түрде анықтау;
ә) Мүмкіндігінше есептің әр түрлі варианттарын шығаруға жағдай туғызу;
б) Қолдану барысында белгілі бір заңдылық бойынша есептеу нәтижесін міндетті түрде жеткізу;
Керек болған жағдайда алгоритмге сәйкес блок-схема жасалады.
Блок-схема - алгоритмның орындауын ұйымдастыру үшін қолданылатын амалдар тізбегінің графиктік кескіні.
Блок-схема келісілген геометриялық фигуралардың көмегімен құралады және бұл фигураларға келісімге байланысты өзіндік мағыналар беріледі. Мәселен, тіктөртбұрыш - арифметикалық амалдарды орындаушы блок, ромбыны - кезөкелген шартты тексеруші немесе салыстыру процесін орындаушы блок, ал эллипс және параллелограм тәрізді фигураны енгізу және қорытындылау процестерін жүргізуші блоктар ретінде пайдалануға болады. Бұл фигуралар алгоритмның мазмұнына сәйкес өзара сызықтар арқылы жалғасады. Әрбір фигура ішінде орындалатын амалдар көрсетіледі де, олар амалдар блогы деп аталады.
Жалпы теориялық мағлұмат
Қарапайым алгебралық теңдеулердің түбірлерін жуықтап есептеу әдістері. Кейбір қарапайым теңдеулердің түбірлері жай математикалық жолмен табу қиынға түседі. Сол себептен ондай теңдеудің түбірлерін арнайы математикалық әдістермен табамыз.
Итерация әдісі:
f(x) =0 (1), ол (-∞, ∞) f(x) функциясы мына аралықта үзіліссіз және бұл аралықта f(x) функциясының бір түбірі бар деп есептейміз. Түрлендіреміз →f(x) ⇒x=ϕ(x) ; (2) [a, b] аралық;
x 0 - мына аралықта (-∞, ∞) жатқан қандай да бір сан. X 0 =a;
x 0 -ді осы функцияның алғашқы мәні деп алып, мына теңдеуге қоямыз x 1 =ϕ(x 0 ) ; x 2 =ϕ(x 1 ) ;
Жалпы формуласы: x n =ϕ(x n-1 ) ; n=1, 2, 3…
Тоқтату шарты:
X n -X n-1 <=e , e=0. 0001;
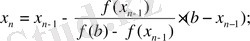
Ньютон әдісі:
f(x) =0 функциясы берілсін. [a, b] аралықта үздіксіз және анықталған болсын. Сол сияқты бұл аралықта
-функциялары үздіксіз.
X
0
бастапқы мәнін табу керек. Ол үшін берілген теңдеудің 1 және 2 туындысын табу керек.
-?Алғашқы X
0
- мәні келесі шарт арқылы табылады.
Шарт:
онда x
0
=a;
онда x
0
=b;
Сөйтіп алғашқы мәнді анықтағаннан кейін х-тің келесі мәндерін есептейміз.
Ал Ньютон әдісін есептеудің жалпы формуласы келесі түрде өрнектеледі:
Тоқтату шарты:
X n -X n-1 <=e , e=0. 0001;
Хорда әдісі:
X 0 =a; Жалпы формуласы келесі түрде өрнектеледі:
Тоқтату шарты:
X n -X n-1 <=e , e=0. 0001;
Бисекция әдісі:
Бұл есепті екі аралықты бөлу арқылы есептептейміз. Шарт қанағаттандырылған кезде есептің мәні шығады.
c=(a+b) /2 if f(c) <e then X:=c if f(a) *f(c) >0 then a:=c else b:=c
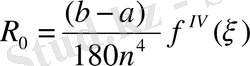
Симпсон, Трапеция әдістері.
Симпсон, Трапеция әдістері интегралды жуықтап есептеуге арналған.
Трапеция формуласы [a, b] интегралдау кесіндісін тең бөліктерге бөлуді қажет етеді. X 0 =a; X n =b; Оның жалпы формуласы:
Equation. 3
Симпсон формуласы [a, b] интегралдау кесіндісін n=2 m бөліктерге бөлу үшін жазылады. Оның жалпы формуласы:
,
;
1. 2 Бірінші тапсырманың алгоритмі:
- Программаның басы
- Берілген формада орналасқан компоненттер тізімі
- Программадағы пайдаланылған процедуралар тізімі
- Негізгі программа
- Айнымалыларды анықтау
- Формулаларды енгізу {y:=5*sqr(x) *x+6*x-1; m:=x-(y/y1) ; x:=a-(y/(zb-y) ) *(b-a) ; k:=k+1; j:=abs(x-a) ; }
- Шартты тексеру
- Есептеуді орындау
- Memo- ға ағымдағы жазбаның мәнін шығару
6. Жалпы нәтижені шығару
7. Программаның соңы
1. 3 Бірінші тапсырманың Delphi ортасында өңделген программаның тексті(листинг)
unit Unit1;
interface
uses
Windows, Messages, SysUtils, Variants, Classes, Graphics, Controls, Forms,
Dialogs, StdCtrls, Buttons;
type
TForm1 = class(TForm)
RadioButton1: TRadioButton;
RadioButton2: TRadioButton;
Memo1: TMemo;
BitBtn1: TBitBtn;
Label1: TLabel;
Label2: TLabel;
Edit1: TEdit;
Edit2: TEdit;
Memo2: TMemo;
Label4: TLabel;
Edit3: TEdit;
Label3: TLabel;
Label5: TLabel;
Label6: TLabel;
Label7: TLabel;
Label8: TLabel;
Label9: TLabel;
procedure RadioButton1Click(Sender: TObject) ;
procedure RadioButton2Click(Sender: TObject) ;
private
{ Private declarations }
public
{ Public declarations }
end;
var
Form1: TForm1;
a, b, x, eps, f, u:real; k, i:integer; p:array[1. . 100] of real;
implementation
{$R *. dfm}
procedure TForm1. RadioButton1Click(Sender: TObject) ;
var j, y:real;
begin
a:=strtoint(edit1. Text) ;
b:=strtoint(edit2. Text) ;
k:=0; eps:=0. 0001;
repeat
x:=(a+b) /2;
y:=22*x*x*x+7*x-1;
if y>0 then b:=x else a:=x;
k:=k+1;
j:=abs(abs(b) -abs(a) ) ;
memo1. Lines. Add('x='+floattostr(x) +' k='+inttostr(k) +' j='+floattostr(j) ) ;
until j<eps;
end;
procedure TForm1. RadioButton2Click(Sender: TObject) ;
var j, y, y1, za, zb, z2a, z2b, m:real;
begin
a:=strtoint(edit1. text) ;
b:=strtoint(edit2. text) ;
eps:=strtofloat(edit3. Text) ;
k:=0;
zb:=66*b*b+7;
z2b:=132*b;
if zb*z2b>0 then x:=b else x:=a;
repeat
y:=22*x*x*x+7*x-1;
y1:=66*x*x+7;
m:=x-(y/y1) ;
k:=k+1;
j:=abs(x-m) ;
x:=m;
memo2. Lines. Add('x='+floattostr(x) +' k='+inttostr(k) +' j='+floattostr(j) ) ;
until j<eps;
end;
end.
unit Unit1;
interface
uses
Windows, Messages, SysUtils, Variants, Classes, Graphics, Controls, Forms,
Dialogs, StdCtrls, Buttons;
type
TForm1 = class(TForm)
RadioButton3: TRadioButton;
RadioButton4: TRadioButton;
BitBtn1: TBitBtn;
Label1: TLabel;
Label2: TLabel;
Edit1: TEdit;
Edit2: TEdit;
Label3: TLabel;
Memo3: TMemo;
Memo4: TMemo;
Label6: TLabel;
Label8: TLabel;
Label4: TLabel;
Label5: TLabel;
Label7: TLabel;
procedure RadioButton3Click(Sender: TObject) ;
procedure RadioButton4Click(Sender: TObject) ;
private
{ Private declarations }
public
{ Public declarations }
end;
var
Form1: TForm1;
a, b, x, eps:real; k:integer;
implementation
{$R *. dfm}
procedure TForm1. RadioButton3Click(Sender: TObject) ;
var j:real;
begin
a:=strtoint(edit1. text) ;
b:=strtoint(edit2. text) ;
k:=0;
repeat
x:=exp(1/3*ln(abs((1-7*a) /22) ) ) ;
k:=k+1;
j:=abs(abs(x) -abs(a) ) ;
a:=x;
memo3. Lines. Add('x='+floattostr(x) +' k='+inttostr(k) +' j='+floattostr(j) ) ;
until j<0. 0001;
end;
procedure TForm1. RadioButton4Click(Sender: TObject) ;
var j, zb, y:real;
begin
a:=strtoint(edit1. text) ;
b:=strtoint(edit2. text) ;
k:=0;
zb:=22*sqr(b) *b+7*b-1;
repeat
y:=22*sqr(a) *a+7*a-1;
x:=a-(y/(zb-y) ) *(b-a) ;
k:=k+1;
j:=abs(abs(x) -abs(a) ) ;
a:=x;
memo4. Lines. Add('x='+floattostr(x) +' k='+inttostr(k) +' j='+floattostr(j) ) ;
until j<0. 0001;
end;
end.
1. 4 Бірінші тапсырманың программасының нәтижесі
1. 5 Бірінші тапсырма есебіңің шыққан нәтижесін программалық қосымшамен (MathCad, Matlab, Maple) салыстыруы
Ньютон әдісі (MathCad)
Хорда әдісі (MathCad)
Бисекция әдісі (MathCad)
Итерация әдісі (MathCad)
Бисекция әдісі (MATLAB)
>> a=0 a = 0
>> b=1 b =1
>> x1=(a+b) /2 x =0. 5000
>> y=22*x^3+7*x-1 y =5. 2500
>> abs(a-x) ans =0. 5000
>> x2=(a+x1) /2 x2 =0. 2500
>> y2=22*x2^3+7*x2-1 y2=1. 094
>> abs(x1-x) ans =0. 2500
>> x3=(a+x2) /2 x3 =0. 1250
>>y3=22*x3^3+7*x3-1 y3=-0. 082
>> abs(x3-x2) ans =0. 125
>> x4=(x3+x2) /2 x4 =0. 1875
>>y4=22*x4^3+7*x4-1 y=0. 4575
>> abs(x4-x3) ans =0. 0625
>> x5=(x4+x3) /2 x5 =0. 156
>>y5=22*x5^3+7*x5-1 y5=0. 175
>> abs(x5-x4) ans =0. 094
Maple - әдісі
> plot([22*x*x*x+7*x-1], x=-1. . 6. 76, color=[black], style=[line] ) ;
> fsolve((22*x*x*x+7*x-1), x, -1. . 2) ;
1. 7 Бірінші тапсырманың программасының блок-схемасы
procedure TForm1. RadioButton2Click(Sender: TObject) ;
procedure TForm1. RadioButton2Click(Sender: TObject) ;
procedure TForm1. RadioButton3Click(Sender: TObject) ;
procedure TForm1. RadioButton4Click(Sender: TObject) ;
2. 1 Екінші тапсырманың математикалық түрі.
Гаусс әдісі.
2. 2 Екінші тапсырманың алгоритмі:
1. Программаның басы
2. Берілген формада орналасқан компоненттер тізімі
3. Программадағы пайдаланылған процедуралар тізімі
4. Негізгі программа
- Айнымалыларды анықтау
- Формулаларды енгізу {x1:=s-x*x2-y*x3-z*x4; x01:=b1/a11; x02:=b2/a22; x03:=b3/a33; x04:=b4/a44; x3:=(b3-1*x01-a32*x02 a34*x04) /a33l:=abs(x3-x03) ; }
- Шартты тексеру
- Есептеуді орындау
- Memo- ға ағымдағы жазбаның мәнін шығару
6. Жалпы нәтижені шығару
7. Программаның соңы
2. 3 Екінші тапсырманың Delphi ортасында өңделген программаның тексті(листинг)
unit Unit1;
interface
uses
Windows, Messages, SysUtils, Variants, Classes, Graphics, Controls, Forms,
Dialogs, StdCtrls, Buttons;
type
TForm1 = class(TForm)
RadioButton1: TRadioButton;
RadioButton2: TRadioButton;
Memo1: TMemo;
Memo2: TMemo;
BitBtn1: TBitBtn;
Label1: TLabel;
Label2: TLabel;
Label3: TLabel;
Label4: TLabel;
Label5: TLabel;
Label6: TLabel;
Label7: TLabel;
Label8: TLabel;
procedure RadioButton1Click(Sender: TObject) ;
procedure RadioButton2Click(Sender: TObject) ;
private
{ Private declarations }
public
{ Public declarations }
end;
var
Form1: TForm1;
implementation
{$R *. dfm}
procedure TForm1. RadioButton1Click(Sender: TObject) ;
var a11, a12, a13, a14, a21, a22, a23, a24, a31, a32, a33, a34, a41, a42, a43, a44:real;
b1, b2, b3, b4, x, y, z, s, q, w, e, k, l, x1, x2, x3, x4:real;
begin
a11:=1. 7; a12:=-1. 8; a13:=1. 9; a14:=-57. 4; b1:=10;
a21:=1. 1; a22:=-4. 3; a23:=1. 5; a24:=-1. 7; b2:=19;
a31:=1. 2; a32:=1. 4; a33:=1. 6; a34:=1. 8; b3:=20;
a41:=7. 1; a42:=-1. 3; a43:=-4. 1; a44:=5. 2; b4:=10;
x:=a12/a11; y:=a13/a11; z:=a14/a11; s:=b1/a11;
a22:=a22-a21*x; a32:=a32-a31*x; a42:=a42-a41*x;
a23:=a23-a21*y; a33:=a33-a31*y; a43:=a43-a41*y;
a24:=a24-a21*z; a34:=a34-a31*z; a44:=a44-a41*z;
b2:=b2-a21*s; b3:=b3-a31*s; b4:=b4-a41*s;
q:=a23/a22; w:=a24/a22; e:=b2/a22;
a33:=a33-a32*q; a43:=a43-a42*q;
a34:=a34-a32*w; a44:=a44-a42*w;
b3:=b3-a32*e; b4:=b4-a42*e;
k:=a34/a33; l:=b3/a33;
a44:=a44-a43*k;
b4:=b4-a43*l;
x4:=b4/a44;
x3:=l-k*x4;
x2:=e-q*x3-w*x4;
x1:=s-x*x2-y*x3-z*x4;
memo1. Lines. Add('x1='+floattostr(x1) ) ;
memo1. Lines. Add('x2='+floattostr(x2) ) ;
memo1. Lines. Add('x3='+floattostr(x3) ) ;
memo1. Lines. Add('x4='+floattostr(x4) ) ;
end;
procedure TForm1. RadioButton2Click(Sender: TObject) ;
var a11, a12, a13, a14, a21, a22, a23, a24, a31, a32, a33, a34, a41, a42, a43, a44:real;
b1, b2, b3, b4, x01, x02, x03, x04, x1, x2, x3, x4, h, j, k, l, eps:real;
p:integer;
begin eps:=0. 001;
a11:=1. 7; a12:=-1. 8; a13:=1. 9; a14:=-57. 4; b1:=10;
a21:=1. 1; a22:=-4. 3; a23:=1. 5; a24:=-1. 7; b2:=19;
a31:=1. 2; a32:=1. 4; a33:=1. 6; a34:=1. 8; b3:=20;
a41:=7. 1; a42:=-1. 3; a43:=-4. 1; a44:=5. 2; b4:=10;
x01:=b1/a11; x02:=b2/a22; x03:=b3/a33; x04:=b4/a44;
p:=0;
repeat
x1:=(b1-a12*x02-a13*x03-a14*x04) /a11;
j:=abs(abs(x1) -abs(x01) ) ;
x01:=x1;
x2:=(b2-a21*x01-a23*x03-a24*x04) /a22;
k:=abs(abs(x2) -(x02) ) ;
x02:=x2;
x3:=(b3-a31*x01-a32*x02-a34*x04) /a33;
l:=abs(abs(x3) -abs(x03) ) ;
x03:=x3;
x4:=(b4-a41*x01-a42*x02-a43*x03) /a44;
h:=abs(abs(x4) -abs(x04) ) ;
x04:=x4;
p:=p+1;
memo2. Lines. Add('p='+floattostr(p) ) ;
memo2. Lines. Add('x1='+floattostr(x1) +' x2='+floattostr(x2) ) ;
memo2. Lines. Add('x3='+floattostr(x3) +' x4='+floattostr(x4) ) ;
until (j<eps) and (k<eps) and (l<eps) and (h<eps) ;
end;
end.
2. 4 Екінші тапсырманың программасының нәтижесі
2. 5 Екінші тапсырма есебіңің шыққан нәтижесін программалық қосымшамен (MathCad, Matlab, Maple) салыстыруы
Зейдель әдісі (Mathcad) )
Maple - әдісі
> fsolve({1. 7*p-1. 8*q+1. 9*r-57. 4*s-10=0, 1. 1*p-4. 3*q+1. 5*r-1. 7*s-19=0, 1. 2*p+1. 4*q+1. 6*r+1. 8*s-20=0, 7. 1*p-1. 3*q-4. 1*r+5. 2*s-10=0}) ;
2. 7 Екінші тапсырманың программасының блок-схемасы
procedure TForm1. RadioButton1Click(Sender: TObject) ;
procedure TForm1. RadioButton2Click(Sender: TObject) ;
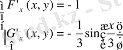
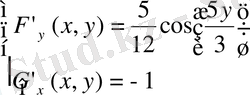
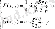
3. 1 Үшінші тапсырманың математикалық түрі.
Итерация әдісі.
Ньютон әдісі.
3. 2 Үшінші тапсырманың алгоритімі
1. Программаның басы
2. Берілген формада орналасқан компоненттер тізімі
3. Программадағы пайдаланылған процедуралар тізімі
4. Негізгі программа
- Айнымалыларды анықтау
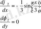
- Формулаларды енгізу { I:=fx*gy-fy*gx h:=-(f*gy-fy*g) /I; k:=-(fx*g-f*gx) /I xn:=x0+h; yn:=y0+k; ex:=abs(xn-x0) ; ey:=abs(yn-y0) ; }
- Шартты тексеру
- Есептеуді орындау
- Memo- ға ағымдағы жазбаның мәнін шығару
6. Жалпы нәтижені шығару
7. Программаның соңы
3. 3 Үшінші тапсырманың Delphi ортасында өңделген программаның тексті(листинг)
unit Unit1;
interface
uses
Windows, Messages, SysUtils, Variants, Classes, Graphics, Controls, Forms,
Dialogs, StdCtrls, Buttons;
type
TForm1 = class(TForm)
RadioButton1: TRadioButton;
RadioButton2: TRadioButton;
Memo1: TMemo;
Memo2: TMemo;
BitBtn1: TBitBtn;
Label1: TLabel;
Label2: TLabel;
Label3: TLabel;
Label4: TLabel;
Label5: TLabel;
Label6: TLabel;
Label7: TLabel;
procedure RadioButton1Click(Sender: TObject) ;
procedure RadioButton2Click(Sender: TObject) ;
private
{ Private declarations }
public
{ Public declarations }
end;
var
Form1: TForm1;
implementation
var x0, y0, x1, j, y1, j1, l1, q1, w1:real;
a, k:integer;
{$R *. dfm}
procedure TForm1. RadioButton1Click(Sender: TObject) ;
begin
x0:=3. 5;
y0:=2. 5;
k:=0;
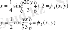
if (abs(11/10*cos((22*y0) /5) ) <1) and(abs(-1/6*sin(x0/3) ) <1) then begin
repeat
x1:=1/4*sin(20*y0/5) +2;
y1:=1/2*cos(x0/4) ;
k:=k+1;
j1:=x1-x0;
l1:=y1-y0;
x0:=x1;
y0:=y1;
memo1. lines. add('k='+inttostr(k) +' x1='+floattostr(x1) ) ;
memo1. lines. add('y1='+floattostr(y1) ) ;
until (abs(j1) <0. 0001) and (abs(l1) <0. 0001) end
else memo1. lines. add('shart orindalmaidi') ;
end;
procedure TForm1. RadioButton2Click(Sender: TObject) ;
begin
x0:=3. 5;
y0:=2. 5;
a:=0;
repeat
x1:=x0+3*(cos(x0/3) /sin(x0/3) ) ;
y1:=y0-5/20*((sin((20*y0) /5) ) ) /cos((20*y0) /5) ;
a:=a+1;
q1:=x1-x0;
w1:=y1-y0;
x0:=x1;
y0:=y1;
memo2. lines. add('a='+inttostr(a) ) ;
memo2. lines. add('x1='+floattostr(x1) ) ;
memo2. lines. add('y1='+floattostr(y1) ) ;
until (abs(q1) <0. 0001) and (abs(w1) <0. 0001) ;
end;
end.
3. 4 Үшінші тапсырманың программасының нәтижесі
- Іс жүргізу
- Автоматтандыру, Техника
- Алғашқы әскери дайындық
- Астрономия
- Ауыл шаруашылығы
- Банк ісі
- Бизнесті бағалау
- Биология
- Бухгалтерлік іс
- Валеология
- Ветеринария
- География
- Геология, Геофизика, Геодезия
- Дін
- Ет, сүт, шарап өнімдері
- Жалпы тарих
- Жер кадастрі, Жылжымайтын мүлік
- Журналистика
- Информатика
- Кеден ісі
- Маркетинг
- Математика, Геометрия
- Медицина
- Мемлекеттік басқару
- Менеджмент
- Мұнай, Газ
- Мұрағат ісі
- Мәдениеттану
- ОБЖ (Основы безопасности жизнедеятельности)
- Педагогика
- Полиграфия
- Психология
- Салық
- Саясаттану
- Сақтандыру
- Сертификаттау, стандарттау
- Социология, Демография
- Спорт
- Статистика
- Тілтану, Филология
- Тарихи тұлғалар
- Тау-кен ісі
- Транспорт
- Туризм
- Физика
- Философия
- Халықаралық қатынастар
- Химия
- Экология, Қоршаған ортаны қорғау
- Экономика
- Экономикалық география
- Электротехника
- Қазақстан тарихы
- Қаржы
- Құрылыс
- Құқық, Криминалистика
- Әдебиет
- Өнер, музыка
- Өнеркәсіп, Өндіріс
Қазақ тілінде жазылған рефераттар, курстық жұмыстар, дипломдық жұмыстар бойынша біздің қор #1 болып табылады.

Ақпарат
Қосымша
Email: info@stud.kz