Қазақстанның Оңтүстік өңірінде өсірілетін жібек талшығын өндіруің технологиясы


Қазақстанның Оңтүстік өңірінде өсірілетін жібек талшығын өндіруің технологиясы
Мазмұны
Реферат . . .
Кіріспе . . .
3. Әдебиеттік шолу . . .
4. Негізгі жабдықтың жұмыс істеу принципін баяндау……… . . .
5. Материялдық және жылулық тепе-теңдіктер . . .
6. Жабдықтың негізгі және технологиялық есептеулері . . .
7. Еңбекті қорғау мен қоршаған ортаны қорғау . . .
8. Техника қауіпсіздік ережелері . . .
Қорытынды
Әдебиеттер тізімі. .
Қосымшалар. .
Реферат
Бұл курстық жоба «Талшықты материалдарды кептіру» пәнінен жасалған. Курстық жобада жалпы табиғи талшықтардың ішіндегі Қазақстанның Оңтүстік өңірінде өсірілетін жібек талшығын өндіруің технологиясы қарастырылған. Курстық жоба есептік - жазба жұмысы және графикалық бөлімдерден тұрады.
Графикалық бөлім 2 беттен (А1 форматында) тұрады. А1 форматында негізгі обьектінің схемасы көрсетілген.
Есептік түсіндірме жазбасы . . . беттен тұрады. Ол төменде көрсетілгендей бөлімнен құралған: реферат, кіріспе, әдебиеттік шолу, негізгі жабдықтың жұмыс істеу принципін баяндау, материялдық және жылулық тепе-теңдіктер, жабдықтың негізгі және технологиялық есептеулері, еңбекті қорғау мен қоршаған ортаны қорғау, техника қауіпсіздік ережелері, қорытынды, әдебиеттер тізімі, қосымшалар.
Кіріспе
Жеңіл өндірістің негізгі шикізат көзі шитті мақтаны жинауды өсіру және одан алынатын өнімдердің сапасын жоғарлату болып табылады.
Суармалы егіншілікте экономикалық жағынан ең құнды техникалық дақылдардың бірі - мақта. Республиканың оңтүстігінде мақта ерте заманнан бері егіледі. Мақта өсіретін шаруашылықтар жылдық табыстың 80-90 пайызын осы мақта егісінен алады.
Мақта өндірудің тиімділігін арттыру - егіннен мол мақта жинау, оның өзіндік қүнын арзандатып, шаруашылықтың рентабельділігін көтеру, өнімнің сапасын жақсарту агротехникалық шараларды толық қолданып, макта өсіруді ғылыми негізді жүргізуге байланысты.
Мақта өндірісінің және мақта өнімінің сапасын жоғарлату талаптары өскен сайын машина жасау саласының алдында мақтаны алғашқы өңдеуге арналған жаңа прогрессивті машиналарды шығаруды үздіксіз жоғарлату мақсаты тұр.
Мақта тазалау өндірісі шығаратын өнімдердің сапасын жақсарту, еңбек өнімділігін жоғарлату, оның өзіндік құнын төмендету, машинаның сенімділігін және технологиялығын жоғарлату, сондай-ақ мақтаны алғашқы өңдеудің технологиялық процестерін кешенді автоматтандыру және механикаландыру қазіргі жаңа техникамен қамтамасыз етуді талап етеді.
Машинамен жинаған шитті мақта жоғары ылғалдылықпен қоқыстылыққа ие болады. Мұндай материалды бастапқы өңдеумен ұзақ мерзім сақтаудың спецификалық қиындығы, мақта зауоттарының техналогиясына көп басқышты процесті ендіруге алып келеді, олардың ең негізгілерінің бірі кептіру. Шикі затты үзақ мерзімге сақтаумен келесі аперациялар осыдан басталады.
Қазіргі заманғы мақта зауоттарының көп басқыштылығы кептіру процесіне үлкен талаптар қояды, атап айтқанда шитті мақтаның белгілі бір кондициясын сақтау, кептіргіштердің жоғары өнімділігі және басқа машиналармен бірге жұмыс істей алуы. Бұл шарттарда шитті мақтаны кептірудің тиімділігі, кептірудің техника эканомикалық көрсеткіштерімен және бұкіл сол техникалық процеспен анықталады.
Мақта тазалау өндірісін жоғары әсерлі кептіру жабдығымен қамтамасыз ету үшін тиісті кептіргіштерді шығару керек. Кептіргіштердің жоғарғы техника - эканомикалық көрсеткіштері жылу және масса алмасу процестерінің жоғары интенсивтілігін қамтамасыз етеді.
Сондықтан да кептіру тазалау цехтарының негізгі мәселелері жоғары өнімді үнемді, шитті мақтаны сапалы әрі үздіксіз өңдейтін жабдықтармен әдістерді шығару болып табылады.
Қойылған мәселені шешудің бірінші басқышы қолданыстағы техникалық процестерді жетілдіру және жабдықтарды қолдану. Техналогиялық процестерді жетілдіруге ғылыми және инженерлік қызығушылық техникалық машиналардың тораптарын унификациялаудың ролінің өсуімен және бірнеше техникалық операцияларды бір машинада үйлестіру мүмкіндігінің туылуымен артып отыр. Бұл кепетіру тазалау цехының техналогиялық процесін жеңілдетуге техникалық процес ұзақтығын қысқартуға, өндірістік аумақты азайтуға, жабдыққа қажеттілікпен қызмет көрсету персоналына қажеттілікті төмендетуге мүмкіндік береді.
Соның нәтижесінде техналогиялық тізбектер көну және металмен энергия сиымдылығы төмен болады, оларды техналогиялық процесті қадағалау диопозоны айтарлықтай артады.
Осының бәрі қызмет көрсетуші персоналдың санитарлы гигеналық жағдайын жақсартуға мүмкіндік береді және шығарылатын өнім сапасына дұрыс ықпал етеді.
Бастапқы өңдеу процесі жоғарыда аталғандай кептірудін басталады, себебі өнім ылғалдығы алынатын талшықпен дәл сапсына, сондай-ақ мақта зауоттарының жұмысының тиімділігіне әсер етеді.
3. Әдебиеттік шолу.
Шитті мақтаның кептіру процесі былай жүреді. Газ немесе керосин оттығынан жылу тасушы түтін сорғыш желдеткішпен алынып құбыр арқылы кептіргіш барабанына беріледі. Жылу ауа құбырында ылғалды мақтаны беруші қоректендіргіш орнатылған. Ылғалды мақта кептіргіш барабанда біртіндеп кептіріліп, өз ылғалын жылу тасушыға беріп, кептіргіштен ауа арқылы шығады.
Суыған ылғалды өзіне қабылдаған жылу тасушы ауа құбыр арқылы атмосфераға шығарылады. Ылғал мақтаны кептіргішке беру және кепкен мақтаның кептіргіштен шығуы үздіксіз жүреді. Кептіру процесінің және кептіргіштің жұмысының сапасы мынадай көрсеткіштермен сипатталады;
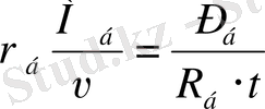
Шитті мақтаны кептіру процесі . Шитті мақтаны кептіруге арналған аппарат кептіргіш деп аталады. Кептіру кезінде шитті мақтаның салмағы m, ылғалдылығы Ẃ және температурасы t өзгереді. Сыртқы деректен жылуды алып, оны кептіретін мақтаға беретін газ секілді ортаны жылу тасушы деп атайды. Кептіргіштегі жылу тасушының және шитті мақтаның қозғалыс бағытына байланысты кептіргіштер бір бағытты ( шитті мақтамен жылу тасушының бағыттары бір) және қарама - қарсы бағытты (шитті мақтамен жылу тасушының бағыттары бір - біріне қарама қарсы) жұмыс істейтін болады. Кептіргіштің әр түрлі бөліктеріндегі жылу тасушының жағдайы мыналармен сипатталады: температура, салыстырмалы ылғалдылық, ылғал мөлшерлігі және жылу мөлшерлігі.
Ылғалды ауа ылғал бойынша және ылғал мақта бойынша өнімділігі, кептірудің біркелкілігі, тазалау нәтижесі ылғалды 1кг буға айналдыруға жұмсалған жылу. Ылғал ауа кептіргіште қанша ылғал буға айналғанын (абсалют құрғақ мақтаның массасымен салыстырғанда, %) көрсетеді.
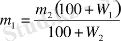
Мұндағы: m 1 - кетіргішке берілген шитті мақта массасы;
m 2 - кепкен шитті мақтаның массасы;
m қ - абсалютті құрғақ мақтаның массасы;
Мұндағы:Ẃ 1, Ẃ 2 - шитті мақтаның алғашқы және соңғы ылғалдылығы %.
m =m 1 -m 2
m - кептіргіште буға айналған ылғалдың мөлшері.
Кептіргіштің ылғал мақта бойындағы өнімділігі.
Кептіру камерасына берілетін жылу шитті мақтадан ылғалды буландыру, шитті мақтаны қыздыру, қоршаған ортаны қыздыру және тағы басқалар жатады. Кептіру процесіне жаратылған жылу 1 кг буланған ылғалға есептелінеді.
Шитті мақтадағы ылғалды буға айналдыратын жылу.
q 1 = i б - сt m
мұндағы: i б - кептіргіштен шыққан ауаның параметрлері үшін будың жылу мөлшері.
i б =(595+0, 45t) ккал/кг бу.
Суыған жылу тасушыны жылыту жаратылған жылу.
q 2 = L(0. 24+0. 00047d 0 ) (t 2 -t 1 )
мұндағы: L - жылу тасушымен бірге шығып кеткен құрғақ ауаның мөлшері;
(0, 24+0, 00047d 0 ) - сыртқы ауаның кептірілген сыйымдылығы ккал/кг ;
t 1 - сыртқы ауаның температурасы;
t 2 - кептіргіштен шыққан ауаның температурасы.
Кептіргіш жұмыс істеген кезде жылу шығындары болады. Осы шығынды q 6 - деп белгілесек тұрақты жұмыс істеп тұрған келтіру қондырғысының жылу баланысын былай жасаймыз.
Q=q 1 + q 2 + q 3 + q 4 + q 5 + q 6
Q - жылудың жалпы мөлшері.
Барлық жылудан шитті мақтаны кептіруге тек q 1 жаратылады. Сондықтан кептіру қондырғысының пайдалы әсер коэффициенті 1 кг ылғалды мақтадан буландыруға жұмсалатын жаратылған барлық жылуға қатынасын анықтаймыз.
η=q 1 /Q*100%
Машинамен кептірілген шитті мақтаның ылғалдылығы 10 - 18 %, ал көсек теруші мақтаның ылғалдылығы 17%. Егерде сақталатын мақтаның ылғалдылығы 13 - 14% асса, ал қоршаған ортаның температурасы 12 -14 0 С асса мақтаның температурасы көтеріліп 60 -70 0 С жетіп, одан асып кетуі мүмкін. Мұндай температурада шитті мақта өзінен - өзі қызып, мақта биалогиялық процесте жүреді. Нәтижесінде тоқыманың қасиетін жоғалтады. Мақта егетін шикізаты және май алынатын материал ретінде зақымдануы.
Ылғашлдылығы жоғары мақтаны өңдеу кезінде жабдықтың тазару дәрежелері және өнімділігі сыртқы көріністі нашарлатады. Шитті мақтаның ылғалдылығы сеператорлар, бұрандалы конвейерлер, тазалағыш джиннің каласник бітелуіне әкеліп соғады.
Жоғары мақта ылғалдылығы талшықтың серпімділігі төмендеп, оны ластауыш қоспарармен күшейтеді. Нәтижесінде талшықтарда мүкістер пайда болады. Ал алынған талшықтың сапасы нашарлығы өзінен - өзі қысқан шитті мақтаны өңдеу кезінде алынған мүкістің жалпы көлемі мүмкіндік көлемімен 1, 5 - 2 есе көп болады.
Шитті мақтаның ылғалдылығы конденцациялық және техникалық болады. Конденцациялық ылғалдылық дегеніміз - бұл шитті мақтаны ұзақ уақыт ішінде сақтау талабына сай ылғалдылық.
Техникалық ылғалдылық дегеніміз - бұл техникалық процестің ең тиімді жүргізілуіне сай ылғалдылық. Бұл кезде шитті мақта және талшықтарды ластауыш қоспадантазалау дәрежесі жоғары талшық алу және талшық тазалау өнімділігі жоғары және талшықты мүкістің көлемі ең аз болады.
Бірінші сортты мақтаның шитті ылғалдылығы, техникалық ылғалдылығы 7 - 8 % болады, шитті мақтаны 7% төмен ылғалдылыққа дейін кептіру регаменттелген процестерді бойымен ұсынылмайды.
Сақтау кезінде шитті мақта бұзылмау үшін оны жасанды тәсілмен кептіреді. Ал жоғарғы сапалы талшық алу үшін шитті мақтаның ылғалдылығын техникалық ылғалдылыққа жеткізу керек. Шитті мақта көп компанентті материал. Талшық негізінде целюлозадан және пектин заттар және балауыз тобынан тұрады. Шиттер: ұйықты және қабыршықтан тұрады. Бұл компаненттер геологиялық және химиялық құрылымы түрлі болғандықтан оларда соркция жүреді.
Температура 20 0 С болғанда талшықтың материал ылғалдылығы .
Шитті мақта
Шит
Мақта талшығы
Мақта мата
Гиграскопиялық мақта
ылғал тартқыш
2, 0
-
2, 5
2, 6
4, 8
3, 5
-
4, 6
3, 7
9, 0
5, 5
-
6, 0
5, 2
15, 7
8, 0
8, 9
7, 8
6, 8
20, 8
9, 4
11, 5
10, 5
10, 5
24, 3
10, 3
17, 2
19, 1
14, 3
25, 8
Ылғалды ауаны кептіру агенті ретіндегі қасиеттері. Су буының күйімен сипаттамалары, ылғалды ауаның негізгі көрсеткіштері.
Шитті мақтаны кептіру процесінде ең маңызды роль атқаратын әр түрлі газдың механикалық қоспасынан тұратын ауа. Ол ылғал танытқан құрғақ қаныққан және қыздырылған күйде болады.
Ылғал қаныққын бу дегеніміз - өзара тепе - теңдікте болатын сумен будың механикалық қоспасы болып табылады.
Құрғақ қаныққан бу дегеніміз - бұл тұрақсыз күйде болатын бу. Мұндай буды әр қарай қыздырса (қысым тұрақты болғанда), ол қыздырылатын күйде өтеді. Ал суытқанда құрғақ қаныққан будың бір бөлігі конденцацияланып, ылғал қаныққан буға айналады. Бір қысымдағы қыздырылған және құрғақ қаныққан будың температураларының айырмашылығы қыздыру дәрежесі деп аталады.
Қыздырылған бу қасиеті қаныққан бу қасиетінен өзгеше және де газдың қасиетіне ұқсас болып келеді. Қыздырылған бу толтырылған кеңістіктегі қосымша су көлемін буға айналдыруға болады. Құрғақ ауа мен су буы идеал газға арналған термодинамикалық заңдарға бағынады.
Идеал газ деп - малекула арасында тарту күші болмайтын, малекулуның өз көлкмі малекула аралық кеңістік көлемімен салыстырғанда жоқ болып кететін газды айтады. Сондықтан идеал газ малекулаларын материалдық нүкте ретінде қарастырылады.
Құрғақ ауамен сулы үшін ауабылай жазылады:
P a V a =M a * R a * T a
P б V б =M б * R б * T б
Газды қоспа үшін :
V a =V б және Т а =Т б
Теңдеуді былай жазамыз:
P a V=M a * R a * T
P б V=M б * R б * T
Мұндағы:P - парциалды қысым;
V - көлем ; M -масса; R- сипаттамалық газ тұрақтысы;
T - салыстырмалы температура.
Қысым кенптіру камерасындағы булы ауаның қысымы вараметрлік қысым деп қабылдайды. Есептеулерде әдетте тұрақты мән 745 мм деп аламыз.
Ылғал ауаның толық қысымы будың парциалды қысымымен Р П қысым ауаның парциалды қысымының қосындысына тең. Ол мына формуламен анықталады.
Р = В= Р
п
+ Р
а
кезкелген ортаның қысымын анықтау үшін абсолютті қысыммен атмосфералық қысым арасындағы ауытқуы анықтайтын құралды қолданады. Атмосфералық қысым жоғары қысымды өлшейтін құрал монометр деп аталады. Ал атмосферадан төмен қысымды өлшейтін құрал вакуммаметр деп аталады. Абсолютті және салыстырмалы ылғалдылық 1 м 3 ылғалды ауада болатын сулы будың массасы ( қыздырылған сулы будың тығыздығы) ауаның абсолютті ылғалдылығы деп аталады. Абсолютті ылғалдылық мәнін мына формуламен анықтаймыз.
Берілген температурамен бараметрлік қысымдағы ауа сулы будың анықталған көлемін сіңіріп толық қаныққан күйге жетуі мүмкін. Қаныққан күйдегі ауаның абсолютті ылғаплдлығы ылғал сыйымдылық деп атап ρ қ деп белгіленеді. 100 0 С дейін температурада және қалыпты бараметрлік қысымда ылғал сыйымдылықты мына формуламен анықтаймыз.
Ауаның ылғ, ал сыйымдылығы оның температурасы 100 0 С жоғары болғанда күрт жоғарылайды, ал одан әрі жоғарыласа төмендейді мысалы 100 0 С - 589, 5 гр/м 3 , 110 0 С - 568, 9 гр/м 3 .
Салыстырмалы ылғалдылық немесе ауаның қанығу дәрежесі дегеніміз белгілі бір қысыммен температурада ылғалдылық сыйымдылығына қатынасын айтамыз.
ρ Б мен ρ Қ мәнін формулаға қойсақ мына өрнекті аламыз.
сонда
Осылайша салыстырмалы ылғалдылықты анықтау үшін ылғал ауаның парциалды қысымының көрсеткішін кестемен диаграммадан оңай табуға болады.
Ылғалдылық құрамы . құрғақ ауаның бірлік мөлшеріне кететін сулы будың мөлшерін ауаның ылғалдылық құрамы деп атайды.
Сулы будың ылғалдылқ құрылымыф мен парциалды қысымы арасында өзара байланыс бар.
Келтірілген көлем ылғалды ауаның келтірілген көлемі бұл 1кг құрғақ ауадан көлем.
Келтірілген көлем бұл парциалды қысымдағы құрғақ ауаның көлемі және бараметрлік қысымдағы ылғалды ауаның көлемі.
Барабанның негізгі көрсеткіштері болып оның диаметрі, ұзындығы көтеру қалақшалы жүйесі жатады. Киптің шитті мақта бойынша өнімділігі диаметріне байланысты. Ылғалдылықтың шиттімақта бойынша беретін өнімділігі былай анықталады.
Шпиндельді машинамен жиналған шитті-мақтаның ылғалдылығы 10-18% және ластануы 9-17%, ал көсек тергіш машинамен жиналған шитті-мақтаның ылғалдылығы 17-25 болады. Шитті-мақтаның жоғары ылғалдылығы оның сақталуына, тазалануына және өңделуіне кері әсерін тигізеді. Шитті-мақтаның ылғалдылығы 13-14 %-дан және қоршаған ортаның температурасы 12-14 о С - тен жоғары кезде оның температурасы 60-70 о С-тен жоғарылап шиттерде биологиялық процесс жүреді. Бұл талшықтың тоқыма қасиетінің түгелімен жойылуына, шиттің егіндік материал ретінде және май алу заводтарында өңдегенде майлылығының жоғалуына алып келуі мүмкін.
Жоғары ылғалдылықты шитті-мақтаны тазалағанда және талшық алғанда құрылғылардың өнімділігі төмендейді ( сеператорлардың, винтті конвейерлердің, тазалағыштардың және джиннің коласникті торларының бекітілуінен) .
Ылғалдылықтың жоғарылауынан талшықтың серпімділігі төмендейді, ал лас қоспалармен жабысқақтығы артады, соның салдарынан механикалық әсер еткенде ол оңай ахауланады.
Өздігінен қызуға ұшыраған шитті-мақтаны өңдегенде мүмкін болудан 1. 5-2 есе асып кететін ахаулары бар талшықты шығаруды көбейтеді.
Кондиционды ылғалдылықтың нормасын шитті-мақтаны қоймаларда және бунттарда ұзақ сақталуы шартынан бекітеді, ал технологиялық ылғалдылық нормасын - технологиялық процестің жоғары тиімді жүру шартынан бекітеді, бұның салдарынан шитті-мақтаны және талшықты лас қоспалардан жақсы тазалауға қол жеткізіледі, ал талшық алу талшық тазалау жоғары өнімділікпен және ахаулары ең төмен талшықтың шығуымен жүреді.
Шитті-мақтаның технологиялық ылғалдылығы бірінші сорттар үшін 7-8 %-бы құрайды. Шитті-мақтаны 7%-дан төмен ылғалдылыққа дейін кептіру шитті-мақтаны регламенттелген өңдеудің технологиялық процесімен мақұлданбайды.
Шитті-мақтаны сақтаған кезде бұзылуына жол бермеу үшін оның ылғалдылығын табиғи және жасанды кептірумен кондициондыға дейін жеткізу керек, ал жоғары сапалы талшықтың шығымын қамтамасыз ету үшін шитті-мақтаны тазалау және алу кезінде оны технологиялық ылғалдылыққа дейін кептіру қажет.
Мақта кептіргіштерінің қызметі
Мақта зауыттарындағы және мақта дайындау пункттеріндегі мақта кептіргіштері шитті-мақтаны колхоздар мен совхоздардан қабылдаған кезде кондиционды ылғалдылыққа дейін кептіруге және мақта заводының үздіксіз технологиялық процесінде шитті-мақтаны қосымша технологиялық ылғалдылыққа дейін ( қоқыстың тиімді бөлінуі үшін және жоғары сапалы талшық алынуы үшін) кептіруге арналған.
Мақта кептіргіштеріне қойылатын технологиялық талаптар
Кептіргіште жылумен және механикалық органдармен әсер еткенде мақта талшығы мен шитінің бұзылуы болмау керек. Кептірген кезде талшық 373-378 о К-нен жоғары, егілетін шиттер 328-333 о К-нен жоғары және техникалық шиттер 338-343 о К-нен жоғары қызбауы керек. Кептіру процесі үздіксіз болуы керек, реттелетін жоғары ылғал алуы және біртегіс кептіруі керек. Кептіргіш конструкциясына кептіру мен шитті-мақтаны лас қоспадан тазалауының бірігуіне жол беріледі. Шитті-мақтаны тиеу мен түсіру механикаландырылуы, ал кептіру режимінің берілген шарттарын ұстап тұру автоматтандырылуы қажет.
Мақта кептіргіштерінің классификациясы
Шитті-мақтаға жылуды әкелуі бойынша кептіргіштер конвекивті, контактілі және аралас деп бөлінеді;
жұмыс циклының құрылымы бойынша - периодты және үздіксіз жұмыс істейтіндерге;
шитті-мақтаға байланысты жылутасушы қозғалысының бағыты бойынша - бір бағытты және қарсы бағытты кептіргіштерге.
Конструкциясы бойынша кептіргіштер аэрофонтанды, таспалы, камералы, мұнаралы және барабанды болып бөлінеді.
Қызметі бойынша технологиялық процесте кептіргіштер шитті-мақтаны кондиционды ылғалдылыққа дейін кептіру үшін кондиционды кептіргіш және технологиялық ылғалдылыққа дейін кептіру үшін технологиялық кептіргіш болып бөлінеді. [1]
4. Негізгі жабдықтың жұмыс істеу принципин баяндау
Шитті мақтаны кептіру. Шитті мақтаны өңдеудің ең негізгі бастапқы операциялардың бірі кептіру. Кептіру процесінен ылғалды шитті мақтаны дайындық қоймаларында ұзақ сақтауға дайындау жұмыстары басталады. Жалпы технологиялық процесте кептіру процесі шитті мақтаны тазартуға, джинерлеуге және линтерлеуге дайындау функциясын атқарады.
Орташа тығыздық деп - дене массасының оның көлемі қатынасын айтады.
γ ср =m/ν (кг/м 3 )
Меншікті көлем - тығыздыққа кері шама:
ν=1/γ ср
Ылғал ауаның меншікті көлемі келесі формуламен анықталады:
(м
3
/кг құрғақ ауа үшін)
Мұндағы: Т- абсалютті температура (К) ;
В - бараметрлік қысым (Па) ;
Р н - қаныққан будың қысымы (Па) ;
R в - ауа үшін газ тұрақты = 286. 55 Дж/кг*град.
Ылғал ауаның тығыздығы келесі өрнекпен анықталады:
;
Мұндағы: φ - ауаның салыстырмалы ылғалдылығы, %
Ауадағы ылғалдың мөлшері - ылғал ауадағы су буының массасы (1 кг құрғақ ауамен салыстырғанда) (кг/кг құрғақ ауа) . 1 кг құрғақ массасы ылғал ауаның жылу сыйымдылығы келесі формуламен анықталады.
С а = С В + С П d (кДж/кг 0 С құрғақ ауаның)
Мұндағы С В - 1, 008 кДж/кг 0 С құрғақ ауаның жылу сыйымдылығы;
С П - 1, 974 кДж/кг 0 С қаныққын су буының жылу сыйымдылығы, d - ылғал мөлшері кг/кг құрғақ ауа.
Ылғал газдың энтальпиясын (жылу ішіндегі мөлшерін) инженерлі есептеулерде эмперикалық формулалармен анықталады:
J=t+(2400+1. 97t н ) d
Мұндағы t - қоршаған ортаның температурасы; t н - қанығу температурасы.
Энтальпияның сандық мөлшерін J - d ылғал ауаның диаграммасы бойынша анықтауға болады. Диаграммада изотермиялар көрсетілген тұрақты температуралардың сызықтары және әрқайсысы φ салыстырмалы ылғалдылықтың тұрақты мәніне сәйкес келетін қисықта көрсетілген t = 99, 1 0 С (қысым 99, 3КПа немесе сынап бағанасының 745мм тең болатындығы судың қайнау темиературасы) болғанда қисықтар бір жерде бұрылады да шамамен тік сызық бойымен жүреді.
J - d диаграмманың көмегімен ылғал ауаның параметрлерін анықтаудың мысалын келтірейік. Мысалы t =60 0 С және φ=30% болғанда ылғал ауаның шық түсу нүктесінің температурасының құрамындағы ылғал мөлшерін және энтальписын анықтау керек. Шешуі J - d диаграммасы бойынша t =60 0 С изотермиясының φ=30% сызығымен қиылысу нүктесін табамыз. Бұл нүктеге энтальпия J = 166 КДж/кг құрғақ ауа, ылғал мөлшері d=0, 04 кг/кг құрғақ ауа, шық түсу нүктесі t Р 36 0 С сәйкес келеді.
Шитті мақта кептіру обьктісі ретінде
Шитті мақтаның летучкасы әртүрлі ұзындықта талшықтармен қапталған қатып қалған тығыз терісінің ішінде болатын дәннің ядросы болып табылады. дәннің ядросы өзінің табиғаты бойынша каллоидты материалға жатады, ал құрылымы капилярлы қуысты. Ребиндер классификациясы бойынша дәннің ядросында космосты байланысқан капилярлы лығалды болады.
... жалғасы- Іс жүргізу
- Автоматтандыру, Техника
- Алғашқы әскери дайындық
- Астрономия
- Ауыл шаруашылығы
- Банк ісі
- Бизнесті бағалау
- Биология
- Бухгалтерлік іс
- Валеология
- Ветеринария
- География
- Геология, Геофизика, Геодезия
- Дін
- Ет, сүт, шарап өнімдері
- Жалпы тарих
- Жер кадастрі, Жылжымайтын мүлік
- Журналистика
- Информатика
- Кеден ісі
- Маркетинг
- Математика, Геометрия
- Медицина
- Мемлекеттік басқару
- Менеджмент
- Мұнай, Газ
- Мұрағат ісі
- Мәдениеттану
- ОБЖ (Основы безопасности жизнедеятельности)
- Педагогика
- Полиграфия
- Психология
- Салық
- Саясаттану
- Сақтандыру
- Сертификаттау, стандарттау
- Социология, Демография
- Спорт
- Статистика
- Тілтану, Филология
- Тарихи тұлғалар
- Тау-кен ісі
- Транспорт
- Туризм
- Физика
- Философия
- Халықаралық қатынастар
- Химия
- Экология, Қоршаған ортаны қорғау
- Экономика
- Экономикалық география
- Электротехника
- Қазақстан тарихы
- Қаржы
- Құрылыс
- Құқық, Криминалистика
- Әдебиет
- Өнер, музыка
- Өнеркәсіп, Өндіріс
Қазақ тілінде жазылған рефераттар, курстық жұмыстар, дипломдық жұмыстар бойынша біздің қор #1 болып табылады.

Ақпарат
Қосымша
Email: info@stud.kz