Қисық сызықты бет бойымен таралатын ағыстардың аэродинамикасы зерттеуге арналған жұмыстарға қысқаша шолу

 
    
Реферат
Дипломдық жұмыс 27 беттен, кіріспеден, 3 бөлімнен, 8 суреттен, 27 формуладан, қорытындыдан және пайдаланылған әдебиеттер тізімінен тұрады.
Негізгі объектісі: Дөңес цилиндрлік бетпен таралатын ағынша.
Негізгі сипаттаушы сөздер: Турбуленттік ағынша, цилиндрлік дөңес бет, аэродинамика.
Жұмыстың мақсаты:
а) Сопло ені b, көлденең қисықтық параметрі S R және Re саны болғандағы дөңес цилиндрлік бетпен таралатын турбуленттік ағыстағы жылдамдықтың және қысымның мәндерін жүйелі түрде зерттеу. Шекаралық қабатта болатын физикалық құбылыстардың негізгі заңдылықтарын көрсету.
б) Жартылай эмпирикалық есептеулер мен эксперимент нәтижелерінің анализдері негізінде максималды жылдамдық пен көлденең координаталы шекаралық қабаттың қалыңдығын байланыстыратын, Рейнольдс санының, сопло енінің, көлденең қисықтық параметрінің әсерін есепке алатын, жартылай шектелген ағыстардың практикалық есептеулеріне жарамды жалпылама тәуелділіктерін алу.
Мазмұны
Белгілеулер
Кіріспе
1. Қисық сызықты бет бойымен таралатын ағыстардың аэродинамикасы зерттеуге арналған жұмыстарға қысқаша шолу
1. 1 Жартылай шектелген ағыстардың жалпы заңдылықтары . . . 6
1. 2 Жартылай шектелген ламинарлықағынша . . . 7
1. 3 Жартылай шектелген турбуленттік ағынша . . . 8
1. 4 Дөңес цилиндрлік бет бойымен таралатын қабырғалық ағыншалардың аэродинамикасы . . . 9
2. Эксперименттік қондырғылар және өлшеу әдістері
2. 1 Қисық беттегі ағыншаның аэродинамикасын зерттеу үшін эксперименттік қондырғының жетістіктері . . . 11
2. 2 Цилиндрлік бет бойымен таралатын ағыншаның аэродинамикасын зерттеуге арналған эксперименттік . . . 13
2. 3 Жылдамдық профилін өлшеу әдістері . . . 13
2. 4 Ағыншаның турбуленттік сипаттамасын өлшеу әдістері . . . 14
3. Қисық беттегі қабырғалық ағыншаның аэродинамикасы мен турбуленттілігін зерттеу
3. 1 Жылдамдық профилі мен статикалық қысымды өлшеу . . . 15
Қорытынды . . . 28
Пайдаланылған әдебиеттер тізімі . . . 29
Белгілеулер
х - соплоның шығыс қимасынан бастап есептелген дөңес цилиндрлік бет бойынша координата, м ;
у - цилиндрдің бетінен есептелген, бетке перпендикуляр бағытталған координата, м ;
R - цилиндр радиусы, м ;
b - соплоның шығыс саңылауының еніне тең ағыстың бастапқы қалыңдығы, м ;
- цилиндр бетінен U =
- болатын нүктеге дейінгі нормаль бойымен қашықтық, м ;
- қабырғадан U=U m - болатын нүктеге дейінгі қашықтық, қабырғалық шекаралық қабаттың ені, м ;
U және V- х және у остері бойынша ағыс жылдамдығының проекциялары, м/с ;
U m - берілген қимадағы ағыстың максимум жылдамдығы, м/с ;
U 0 - соплодан шыққандағы ағыстың бастапқы жылдамдығы, м/с ;
- ағыс бетінің қисықтық параметрі;
- ауа тығыздығы, кг/м 3 ;
Р - ағыстағы статикалық қысым, Н/м 2 ;
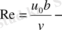
Re=U 0 b/ν- ағыстың бастапқы параметріне сәйкес Рейнольдс саны;
Re m =U m x/ν- жылдамдықтың максимум мәніне сәйкес Рейнольдс саны;
- термоанемометрдің жылдамдық лүпілінің орташа квадраттық мәніне сәйкес көрсетуі, В ;
- жылдамдықтың турбуленттілік дәрежесі;
- өлшеніп отырған нүктедегі орташа жылдамдық, м/с ;
- жылдамдық лүпілінің орташа квадраттық мәні, м/с ;
Кіріспе
Қисық бет бойымен таралатын қабырғалық ағыстардың аэродинамикасын зерттеуде көптеген теориялық және эксперименттік жұмыстар жасалынған.
Мұндай ағыстар іштен жану реактивті двигательдерінде, авиацияда және тағы басқа құрылғыларда кеңінен қолданылатындықтан, қисық бет бойымен таралатын қабырғалық ағыстарды зерттеу қазіргі кезде ғылымдардың қызығушылықтарын тудыруда.
Жартылай шектелген ағыстардың біріне ойыс және дөңес цилиндрлік бетпен таралатын ағыншаларды жатқызуға болады. Бұл ағыс түрі кеңінен зерттелмеген.
Кейбір жұмыстарда дөңес цилиндрлік бетпен таралатын ламинарлық қабырғалық ағыншалардың есебінің жуық шешімдері кіші параметр бойынша тарату әдісімен алынған. Ал, турбуленттік ағыншалар үшін шешілмеген.
Ағыстың ішкі бөлігіндегі еркін шекаралық қабаттың есептеуі мен ағыспен ағып бара жатқан дененің бетіндегі шекаралық қабаттың есептеулерінің бірге есептелу қиындықтары салдарынан қазірге дейін қабырғалық турбулентті ағыншаның аналитикалық есептеуі жоқ. Ойыс қисық бетпен таралатын қабырғалық турбулентті ағысты қарастыру барысында жұмыс қиындай түседі. Себебі, бұл жағдайда ағыс қимасында жылдамдық профиліне үлкен әсерін тигізетін, сондай-ақ максималды жылдамдық пен соплодан шыққандағы ағыстың енінің өзгеруіне әсерін тигізетін қысымның көлденең градиенті пайда болады.
Қисық бет бойымен дөңес цилиндрлік бетпен таралатын турбулентті ағыншалардың аэродинамикасын зерттеу қабырғалық турбулентті ағыстардың есебінің теориялық шешіміне келуге мүмкіндік береді.
1. Қисық сызықты бет бойымен таралатын ағыстардың аэродинамикасын зерттеуге арналған жұмыстарға қысқаша шолу
1. 1Жартылай шектелген ағыстардың жалпы заңдылықтары
Бір жағынан қатты бетпен шектелген тұтқыр сұйықтың немесе газдың қозғалысы техникада кең таралған ағыстың түрі және ол қабырғалық немесе жартылай шектелген ағыстар деп аталады. Жартылай шектелген ағыстар жазық параллельді немесе оське симметриялы болып бөлінеді.
1-суретте жартылай шектелген жазық параллельді ағыншаның сызбасы келтірілген.
 
 
Бастапқы Арал. Негізі
бөлік бөлік бөлік
1 сурет- Жартылай шектелген жазық параллель ағыншаның сызбасы
Қабырғалық ағыс қарапайым түрінің өзінде күрделі ағынды береді. Жартылай шектелген ағыстың айырмашылығы, осы ағыс алып жатқан аудан екі түрлі, жылдамдықтың максимум мәніне сәйкес өтетін бөлу сызығына қатысты қабырғалық және еркін, шекаралық қабаттардың синтезі түрінде көрсетіледі. Сондықтан қабырғалық және жартылай шектелген ағыстардың ағын бөліктеріндегі ағыстар сәйкес шекаралық қабаттағы және еркін ағыстардан көп ерекшеленеді. Бұл ерекшелік, біріншіден жартылай шектелген ағыстарда қабырғалық қабаттардың «ішкі» ағыстық ағынның жоғарылатылған турбуленттілік шартымен дамитындығымен түсіндіріледі. Нәтижесінде, ағыстың орталық бөлігінде U 0 тұрақты жылдамдықты ядроның болуымен және оның ұзындығы сопло қиығынан жылдамдықтың максимум мәні азаятын қимаға дейінгі арақашықтықпен анықталады. Бастапқы ағыстың заңдылықтарына ағыстың бастапқы шарттары: жылдамдықтың бастапқы профилі, соплоның өлшемі мен формасы және т. б. әсер етеді (1-сурет) . Соплодан қашықтағанда ағыншаның қима бойынша жылдамдық профилі аффиндік ұқсас болады. Себебі, ағыстың бастапқы шарттары соплодан едәуір қашықтықта ағыншаның таралу заңдылығына әсер етпейді. Ағыстың бұл бөлігі негізгі деп аталады. Бастапқы мен негізгі бөліктердің арасында жылдамдық профилінің формасы негізгі бөлікке ұқсас аралық бөлік орналасқан.
1. 2 Жартылай шектелген ламинарлық ағынша
Жоғарыда айтқандай, жартылай шектелген ағынша қабырғалық қабат пен еркін ағыншаның синтезін береді. Қабырғалық шекаралық қабатта қабырға бойымен қозғалған бастапқыда ламинарлық қабат түзіледі де, соплодан едәуір қашықтықта Рейнольдс санына байланысты турбуленттік қабатқа айналады. Ламинарлық ағысты қабаттық ағыс депте атайды. Рейнольдс санының мәні өте аз болған жағдайда ағынша бүкіл ағын ауданында ламинарлы болуы мүмкін.
 Алғаш рет, жазық бет бойымен таралатын ламинарлық ағынша есебі Глауэрт М. Б. жұмысында шешілген. Бұл жұмыстың ерекшелігі,
 
  U
  
   m
  
  =A⋅x
  
   α
  
  , ϕ=
 
 - ламинарлы қабырғалық ағыншаны сипаттайтын дифференциалды теңдеулер жүйелері автомодельді түрлендіру көмегімен аналитикалық шешімі бар бір ғана қарапайым дифференциалдық теңдеуге келтіріледі.
 - ламинарлы қабырғалық ағыншаны сипаттайтын дифференциалды теңдеулер жүйелері автомодельді түрлендіру көмегімен аналитикалық шешімі бар бір ғана қарапайым дифференциалдық теңдеуге келтіріледі.
Вулис Л. А. және Кашкаров В. П. /1/ жұмыстарында конус табанына қарай конус бетімен әлсіз бұралумен таралатын ламинарлық ағынша зерттелген.
Сақиналық көзден шығып конус төбесінен табанына қарай, сондай-ақ табанынан төбесіне қарай таралатын жартылай шектелген ламинарлық ағыншаның таралу есебі Степанов - Манглер түрлендіруінің көмегімен Исатаев С. И. /2/ жұмысында шешілген.
1. 3 Жартылай шектелген турбуленттік ағынша
Практикада шешілген көптеген есептерде қабырғалық ағыншалар турбулентті болады. Тек соплоны өте үлкен дәрежеде қысқанда сопло саңылауының шығысында ағын ламинарлы болады, бірақ соплодан аз ғана қашықтықта турбулентті ағынша пайда болады. Ламинарлық ағыс ағыншаның тек бастапқы және аралық бөліктерінде сақталады . Re=U 0 b/ν ( b- соплоның сипаттық өлшемі, U 0 - ағыншаның бастапқы жылдамдығы, ν - сұйықтың кинематикалық тұтқырлығы) санының мәніне байланысты ағыс ламинарлық және турбуленттік бола алады.
/3/ және т. б. жұмыстарда көптеген қабырғалық турбулентті ағыншалардың теориялық есептеулерінде қабырғадағы турбулентті үйкеліс пластинаны орай аққанда Блазиус заңы бойынша өзгереді, ал қабырғалық жылдамдық профилін пластинаны біртекті ағын орай аққандағыдай дәрежелік формула түрінде жазуға болады:
 (1. 1)
 (1. 1)
Қабырғалық ағыншаның сыртқы бөлігінде турбуленттік үйкеліс Прандтль формуласымен есептелінген және жылдамдық профилі еркін ағынша профилімен сәйкес болады.
 Осы мәндерді қозғалыс теңдеуіне қою барысында жылдамдық максимумының және соплодан қашықтықта қабырғалық ағыншаның енінің өзгерістері анықталған. Мұндай жолмен алынған жуық шешім практикада қолдануға ыңғайсыз болды. Сондай-ақ (1. 1) - формуласы қабырғалық жылдамдық профилін толық сипаттай алмады. Себебі, біріншіден, бұл формула
 
  у=δ
  
   m
  
 жылдамдықтың максимум нүктесінде
  шартын қанағаттандырмайды. Екіншіден, біртекті ағын және қабырғалық ағынша үшін Рейнольдс санының бірдей мәнінде, мысалы,
 
  Re
 
 ∼ 10
 
  5
 
 болғанда қабырғалық ағынша біртекті ағын балғанда, шекаралық қабат кезінде
 
  n
 
 =7 орнына
 
  n
 
 ≈ 12 ÷ 14 мәнін алуға тура келеді.
 шартын қанағаттандырмайды. Екіншіден, біртекті ағын және қабырғалық ағынша үшін Рейнольдс санының бірдей мәнінде, мысалы,
 
  Re
 
 ∼ 10
 
  5
 
 болғанда қабырғалық ағынша біртекті ағын балғанда, шекаралық қабат кезінде
 
  n
 
 =7 орнына
 
  n
 
 ≈ 12 ÷ 14 мәнін алуға тура келеді.
Исатаев С. И. /3/ жұмысында қабырғалық және сыртқы шекаралық қабаттардың өзара әсері нәтижесінде қабырғалық ағыншаның жылдамдық профильдері сыртқы және қабырғалық жылдамдық профильдерінің туындысы түріндегі формуламен жақсы сипатталады. 1968 жылы қабырғалық турбулентті ағыншаның негізгі бөлігін жылдамдық профилі үшін жартылай эмпирикалық формула ұсынылған:
 (1. 2)
 (1. 2)
 мұндағы
  ,
 ,
  - ағыншаның жылдамдығы
 
  U=U
  
   m
  
  /2
 
 - ге сәйкес нүктедегі ағыстың шартты ені.
 - ағыншаның жылдамдығы
 
  U=U
  
   m
  
  /2
 
 - ге сәйкес нүктедегі ағыстың шартты ені.
1. 4 Дөңес бет бойымен таралатын қабырғалық ағыншаның аэродинамикасы.
Қисық сызықты бет бойымен таралатын ағындар центрге тартқыш күштердің әсерінен болады. Мұндай ағындар авиацияда, ракета техникасында жылу энергетикасында, іштен жану двигательдерінде және т. б. жиі кездеседі.
Қисық сызықты бет бойымен таралатын ағындардың түзу сызықты бет бойымен таралатын ағыстардан негізгі айырмашылығы, мұнда қысымның көлденең градиенті, центрге тартқыш күштердің болуы, Гертлер құйыны түріндегі екінші ағыстың пайда болуы және ағыстың ламинарлық түрінен турбуленттік ағысқа айналуына әсерінің болуы.
Осы ағыс түрінің техникада кең таралуына байланысты гидродинамикада қисық бет бойымен таралатын ағыстарға көптеген теориялық және эксперименттік жұмыстар жасалынған.
Дөңес қисық беттер бойымен таралатын жартылай шектелген ағыншаларды зерттеуде көп жұмыстар жасалынбаған.
Қисық сызықты цилиндрлік бет бойымен таралатын, жазық ламинарлық ағыншаның есебіне арналған алғашқы жұмыстардың қатарына Коробко В. И. /4/, Акатнов Н. И. /5/, сондай -ақ Кашкаров В. П. /6/, Масси, Клейстон /7/ және т. б. жұмыстары жатады. Кашкаров В. П. жұмысында ағыншаның автомодельді жылдамдық профилін қамтамасыз ететін, қисық ұзындығы бойынша өзгеретін қисық бет бойымен таралатын ламинарлық ағыншана есебінің шешімі алынған.
Дөңес бет бойымен таралатын турбулентті жартылай шектелген ағынша қозғалыс пен энергияның дифференциалды теңдеулер жүйесімен сипатталады:
 (1. 3)
 (1. 3)
 Equation. 3 (1. 4)
 Equation. 3 (1. 4)
 Equation. 3 (1. 5)
 Equation. 3 (1. 5)
 Equation. 3 (1. 6)
 Equation. 3 (1. 6)
 Equation. 3
 Equation. 3
  (1. 7)
 (1. 7)
шекаралық шартты ескерсек:
  y=0, u=0,
 
 ,
  ,
 
 =0
 
 (1. 8)
  =0
 
 (1. 8)
  y=0, u=0
 
 ,
  ,
  ,
 
 .
  .
 
мұндағы х, у -сопло қиығынан цилиндр бетіне перпендикуляр және цилиндр беті бойымен алынған көлденең және қисықтық координаталар, R -беттің қисықтық радиусы, р -қысым, ρ -тығыздық, μ -динамикалық тұтқырлық,
 -өлшемсіз температура,
 -өлшемсіз температура,
  
 -ағынның, ағыншадағы қабырғаның және қоршаған ортаның температуралары,
 
  Pr
 
 -Прандтль саны,
 
  Pr
  
   T
  
 - турбуленттік Прандтль саны.
 -ағынның, ағыншадағы қабырғаның және қоршаған ортаның температуралары,
 
  Pr
 
 -Прандтль саны,
 
  Pr
  
   T
  
 - турбуленттік Прандтль саны.
Ойыс цилиндрлік бет бойымен таралатын жазық ағынша үшін (1. 3) - (1. 8) теңдеулер жүйесі Железная Т. А. және Халатов А. А. /8/ жұмыстарында Лэм және Бремхорст k-ε - моделін қолдану көмегімен шешілген.
Осы /8/ жұмыста ойыс цилиндрлік бет бойымен таралатын жазық ағыншанаң гидродинамикасын экспериментті зерттеулердің нәтижелері келтірілген. Өлшеу мен есептеулерге анализ жасау барысында олар төмендегідей тәуелділіктерді алған:
 (1. 9)
 (1. 9)
 (1. 10)
 (1. 10)
 (1. 11)
 (1. 11)
 мұндағы
  ағыстың бастапқы параметрлері бойынша Рейнольдс саны.
 ағыстың бастапқы параметрлері бойынша Рейнольдс саны.
Қабырғалық аудандағы жылдамдық профильдері дәрежелік тәуелділік түрінде жазылады:
 (1. 12)
 (1. 12)
 және
  0-ден 0. 02 -дейін өзгергенде (1. 12) теңдеудегі дәрежелік көрсеткіш төмендегі заңдылық бойынша өзгереді:
 0-ден 0. 02 -дейін өзгергенде (1. 12) теңдеудегі дәрежелік көрсеткіш төмендегі заңдылық бойынша өзгереді:
 (1. 13)
 (1. 13)
температуралық профиль үшін:
 (1. 14)
 (1. 14)
және тәуелділік
 (1. 15)
 (1. 15)
 мұндағы
  пластина бойымен таралатын жазық ағыншаның профильдерімен сәйкес келуі керек.
 пластина бойымен таралатын жазық ағыншаның профильдерімен сәйкес келуі керек.
Халатов А. А, Изгорева И. А., Шевцов С. В. /9/ жұмыстарында ойыс цилиндрлік бет бойымен таралатын жазық ағыншаның гидродинамикасы экспериментті зерттелген және (1. 12) -теңдеудегі n дәрежелік көрсеткіші ағынша үшін төмендегідей тәуелділік бойынша өзгереді:
 (1. 16) Осы жұмыстардың нәтижелерінен
 (1. 16) Осы жұмыстардың нәтижелерінен
  0 -ден 0. 12 -ге дейін өзгергенде, ойыс цилиндрлік бет бойымен таралатын ағынша үшін
 
  n
 
 12 -ден 15 -ке дейін өзгеретінін, ал дөңес бет бойымен таралатын ағынша үшін 12 -ден 6 -ға дейін өзгеретінін көреміз.
 0 -ден 0. 12 -ге дейін өзгергенде, ойыс цилиндрлік бет бойымен таралатын ағынша үшін
 
  n
 
 12 -ден 15 -ке дейін өзгеретінін, ал дөңес бет бойымен таралатын ағынша үшін 12 -ден 6 -ға дейін өзгеретінін көреміз.
Бірақ, Исатаев С. И. өзінің шәкірті Айнабековамен жүргізген жұмыстарының нәтижесінде бұл жұмыстардан қателік тапқан. Өз жұмыстарында жоғарыда көрсетілген Исатаевтың формуласын (1. 2) пайдаланған.
2. Эксперименттік қондырғылар және өлшеу әдістері
2. 1 Қисық беттегі ағыншаның аэрдинамикасын зерттеу үшін эксперименттік қондырғының жетістіктері
Жылулық, лүпілдік және динамикалық сипаттамалардың өлшеу ерекшеліктерін ескере отырып, екі эксперименттік қондырғы құрылған. Біріншісі, дөңес цилиндрлік бетпен таралатын қабырғалық ағыншаның аэродинамикасын зерттеуге арналған (2 сурет) . Екіншісі, дөңес цилиндрлік бетпен таралатын қабырғалық ағыншаның жылу алмасуын зерттеуге арналған. Барлық қондырғылар ағыншалық типтегі аэродинамикалық трубалар. Қондырғылар қазіргі кезде аэродинамикалық эксперименттердің барлық талаптарына сай және төмендегі жетістіктерге ие:
- 3, 0 - 100 м/саралығында соплодан шығатын ағыншаның жылдамдығының кез -келген мәнін алу мүмкіндігі;
- қондырғының дірілдемеуін қамтамасыз ету;
- турбуленттік деңгейінің төмен болуы және сопло қиығында жылдамдықтың тік бұрышты профильге жақын болуы;
- SR-параметрінің өзгеру мүмкіндігі.
Тәжірибені жасау алдында келесі шамалардың тұрақты болып қалулары қадағаланады:
- саңылаудың тұтас биіктігі бойынша шығыс қимадағы сопло ені;
- соплодан шыққандағы жылдамдықтың мәні мен оның профилі;
- ағыншаның және қоршаған ортаның температурасы;
- жергілікті атмосфералық қысым.
 
2 сурет - Ағыншаның аэродинамикасын зерттеуге арналған эксперименттік қондырғының сызбасы
1- вентилятор; 2- хоннейкомб; 3- металл торлар; 4- сопло; 5- цилиндрлік бет; 6- қабырғалық саңылаулар; 7- шектеуші бүйірлік қабырғалар; 8- жазық құрылғы.
2. 2 Цилиндрлік бет бойымен таралатын ағыншаның аэродинамикасын зерттеуге арналған эксперименттік қондырғы
Дөңес цилиндрлік бетпен таралатын ағыншаның аэродинамикасын зерттеуге арналған эксперименттік қондырғының сызбасы 2- суретте көрсетілген.
1- вентилятор арқылы үрленген ауа ағысы ені 2, 5мм - ден 40мм - ге дейін өзгеріп отыратын, шығыс саңылауының биіктігі h=180мм болатын 4- соплодан шығады. Ағынша ағып өтетін радиусы R=360мм болатын цилиндрлік бет соплоның бір қабырғасының жалғасы болып табылады. Сопло өзінің шығысында жылдамдықтың бірқалыпты профилін сақтайды. Вентилятор ретінде ТВ- 80- 1, 6 түріндегі ауа үрлеуші пайдаланылады. Соплоның шығысында бірқалыпты және аз турбуленттелген ағыс алу үшін соплоның алдына 2- хоннейкомб және 3- ұсақ ұяшықты металл тор қойылған.
 Қабырғадағы статикалық қысым диаметрі 0, 8мм 6- қабырғадағы саңылаулар көмегімен өлшенеді. Цилиндрдің ақырғы биіктігінің әсерін болдырмау үшін ағыс 7- бүйірлік жазық пластинамен шектелген. Цилиндрлік беттің соңында соңғы эффектілердің әсерін болдырмау мақсатында ұзындығы 300мм 8- жазық пластина орнатылған. Ағыншаның бастапқы ені бойынша
  беттің қисықтық параметрі 0, 12- ден -0, 12- ге (ойыс бет үшін) дейін өзгереді.
 беттің қисықтық параметрі 0, 12- ден -0, 12- ге (ойыс бет үшін) дейін өзгереді.
Ағыншаның жылдамдығын өлшеу тесіктері бір- біріне қарама-қарсы орналастырылған Т- үлгідегі түтіктер көмегімен жүргізіледі. Өлшеуіш түтік ағынша бағытымен 1мм координаталық дәлдікпен, дене бетіне 0, 01мм дәлдікпен перпендикуляр орналастырылған.
Қабырғалық аудандағы жылдамдық профилін дәлірек өлшеу үшін ұшының сыртқы өлшемі 0, 20мм × 1, 10мм болатын Пито түтігі қолданылады.
Мұнда жылдамдық Пито түтігімен өлшенген толық қысым мен қабырғадағы статикалық қысымды өлшейтін саңылаулар көмегімен өлшенген статикалық қысымдардың айырмасымен анықталады.
Цилиндрдің бірінші жартысында жұмыс беті ретінде сыртқы жағы (дөңес беті), ал екінші жартысында жұмыс беті ретінде ішкі жағы (ойыс беті) қолданылады.
2. 3 Жылдамдық профилін өлшеу әдістері
Ағыншаның жылдамдығын өлшеу Т - үлгідегі ұштарының сыртқы өлшемі 0, 24 × 1, 10мм датчиктің көмегімен жүлгізіледі. Т - үлгідегі датчиктің ұштары ағыс бетіне қатысты жанама орналасқан және түтіктердің біреуі ағысқа қарсы, ал екіншісі ағыспен бағыттас. Яғни бірінші түтік бірінші микроманометрге, ал екіншісі атмосферамен жалғанады.
Сонда бірінші микроманометрдің көрсетуі:
 (2. 1)
 (2. 1)
Ағыс бойымен Р-Р ′ қысымы қойылады, мұндағы Р - ағыстың берілген нүктесіндегі статикалық қысым, Р`(v) - ағыс жылдамдығынан тәуелді қысымның қосымша сиреуі.
Екінші микроманометр екі түтікке бірдей жалғанады. Олай болса, оның көсетуі:
 (2. 2)
 (2. 2)
мұндағы k 1 , k 2 - микроманометрдің иілу коэффициенттері, ξ - аэродинамикалық трубада Т - үлгідегі датчиктің көрсетуін Прандтль эталондық түтігінің көрсетуімен салыстырғандағы Т - үлгідегі датчиктің реттеуші коэффициенті. (2. 2) формуладан қысымды таба аламыз:
 (2. 3)
 (2. 3)
Біз қолданған датчиктің реттеуші коэффициенті ξ=1. 054.
Жылдамдықты анықтағандағы қателіктің қосындысы ±0. 5 м/с , ал вертикаль су бағанадағы статикалық қысым ±0. 02 немесе ±0. 2 Па . Пито түтігінің көмегімен қабырға жанындағы жылдамдық өрісін өлшеу барысында сол өлшеніп отырған қимадағы статикалық қысым цилиндрлік беттің қабырғасындағы қабырғалық саңылаулар көмегімен анықталады.
Бұл жағдайда статикалық қысым өте аз өзгеріп отырғандықтан, жылдамдықтың қабырғадан максимум мәніне дейінгі Пито түтігімен және Т -үлгідегі датчикпен өлшенген өлшеу нәтижелерінің бір -бірінен еш айырмашылығы болмайды.
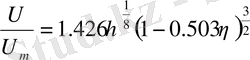
6-суретте дөңес бет үшін b=12мм U o =28. 04м/с болғандағы U/U o =f(y/b) тәуелділік графигі көрсетілген.
2. 4 Ағыншаның турбуленттік сипаттамасын өлшеу әдісі
Ағыншанаң турбуленттілігін анықтайтын шамалар статикалық сипаттамаларға ие. Мұндай шамалардың қатарына ағыс жылдамдығы, қысым, тығыздық, температура және т. б. параметрлер жатады. Жылдамдық лүпілін өлшеу әдісін қарастырамыз.
 Берілген уақыт кезіндегі жылдамдықтың мәні
  -орташа жылдамдық пен
 -орташа жылдамдық пен
  -жылдамдық лүпілінің қосындысымен анықталады:
 -жылдамдық лүпілінің қосындысымен анықталады:
 (2. 4)
 (2. 4)
 
 Ал кернеу бойынша:
 (2. 5)
 (2. 5)
 мұндағы
  -жылдамдық лүпілінің орташа квадраттық мәні.
 -жылдамдық лүпілінің орташа квадраттық мәні.
Термоанемометр жібі мен U жылдамдықпен қозғалатын және қоршаған орта арасыдағы жылулық баланс кезінде келесі қатынас орын алады:
 (2. 6)
 (2. 6)
 мұндағы
 
  Е
  
   0
  
 -ағыс жоқ кездегі термоанемометрдің кіріс кернеуі,
 
  Е
 
 -ағыс болғандағы кернеу. (2. 4), (2. 5) және (2. 6) -теңдеулерді шешіп және
 
  U`‹‹
 
 -теңсіздігін ескере отырып, біз салыстырмалы турбуленттік деңгейін есептеу үшін келесі формуланы аламыз:
 -теңсіздігін ескере отырып, біз салыстырмалы турбуленттік деңгейін есептеу үшін келесі формуланы аламыз:
 (2. 7)
 (2. 7)
 
  Е
  
   0
  
 -анықтау үшін біртекті ағыста Пито түтігі бар термоанемометр датчигінде
 
  Е=f(U)
 
 -тәуелділігін қоямыз. Соплодан шыққандағы ағыстың
 
  U
  
   0
  
 -жылдамдығына қатысты жылдамдық лүпілінің интенсивтілігінің мәнін мына формула бойынша есептейміз:
 (2. 8)
 (2. 8)
 
 мұндағы
 
  Е
  
   Н
  
 -соплодан шыққандағы жылдамдықтың мәніне сәйкес термоанемометрдің шығыс кернеуінің мәні. Соплодан шыққандағы ағыстың жылдамдығына қатысты жылдамдықтың атаусыз мәні төмендегідей анықталады:
 (2. 9)
 (2. 9)
3 Қисық беттегі қабырғалық ағыншаның аэродинамикасы мен турбуленттілігін зерттеу
3. 1 Жылдамдық профилі мен статикалық қысымды өлшеу
Жылдамдық профилі мне статикалық қысымды өлшеу соплоның шығыс қимасының ені b=12мм, радиусы R=360мм болатын дөңес цилиндрлік бетпен таралатын ағыстар үшін жүргізілді.
Статикалық қысымның таралуы шайба әдісі үшін Прандтль түтігімен жүргізілді. Статикалық қысымның цилиндрлік бетте таралуы беттегі қабырғалық саңылаулар арқылы өлшенді.
 Ағыс бетінің бастапқы қисықтық параметрі дөңес бет бойымен таралатын ағыс үшін S
 
  R
 
 =
  =-0, 117-ге дейін өзгереді.
 =-0, 117-ге дейін өзгереді.
Статикалық қысымның таралуы статикалық қысым мен шайба әдісі үшін Прандтль түтігімен жүргізілді. Статикалық қысымның цилиндрлік бетте таралуы беттегі қабырғадағы тесіктер арқылы өлшенді.
Барлық экспериментте ағыс цилиндрлік бетпен 180 0 -қа бұрылды. Бірде бір өлшеу кезінде шекаралық қабаттың ағыс бетінен ауытқуы болған жоқ.
Дөңес беттегі ағыс үшін жылдамдық профилі мен статикалық қысымды салыстырудан көретініміз, дөңес бетпен таралатын ағыс кезінде жылдамдықтың максимум мәні қабырғаға жақындайды, ал статикалық қысым бетке жақын маңда теріс болатындығын көреміз.
Бұл біріншіден, ағыс жылдамдығының көлденең құраушылырының әсерінен қозғалмайтын қоршаған ортаның да ағысқа айналатындығымен түсіндіріледі.
Екіншіден, ағыс жылдамдығының көлденең құраушыларының әсерінен өлшеуші ұштары қисық ағады және статикалық қысымның өлшеу қателігі өседі. Сондықтан ағыстың сыртқы бөлігінде статикалық қысымды шайба әдісімен өлшеу дәлірек болуы керек.
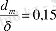
3-суретте U/U m =f(y/δ) тәуелділік графигі және 4 суретте жүргізілген эксперимент нәтижесінен алынған дөңес беттегі ағыс үшін статикалық қысым мен өлшеусіз жылдамдық профильдері координатамен келтірілген:
 ,
 ,
  
 мұндағы
  - қабырғадан нүктеге дейінгі қашықтыққа тең ағыншаның шартты ені,
 - қабырғадан нүктеге дейінгі қашықтыққа тең ағыншаның шартты ені,
  - профильдің сыртқы бөлігіндегі, ал
 - профильдің сыртқы бөлігіндегі, ал
  - берілген қимадағы ағыстың максимал жылдамдығы.
 - берілген қимадағы ағыстың максимал жылдамдығы.
 Суреттен көріп тұрғандай,
  - жылдамдық профилі ойыс беттегі ағыстың барлық қимасында өзінің афидік ұқсастығын сақтайды, ал статикалық қысымның таралуында афиндық ұқсастық байқалмайды. Аналитикалық есептеулер көрсеткндей қима бойынша -
 - жылдамдық профилі ойыс беттегі ағыстың барлық қимасында өзінің афидік ұқсастығын сақтайды, ал статикалық қысымның таралуында афиндық ұқсастық байқалмайды. Аналитикалық есептеулер көрсеткндей қима бойынша -
  - қысымның таралуы S
 
  R
 
 =
 - қысымның таралуы S
 
  R
 
 =
  - бастапқы қисықтық парамтірінен ғана емес, сонымен бірге
 - бастапқы қисықтық парамтірінен ғана емес, сонымен бірге
  - ағыстың еніне де тәуелді. Сондықтан да қысымның
 - ағыстың еніне де тәуелді. Сондықтан да қысымның
- Іс жүргізу
- Автоматтандыру, Техника
- Алғашқы әскери дайындық
- Астрономия
- Ауыл шаруашылығы
- Банк ісі
- Бизнесті бағалау
- Биология
- Бухгалтерлік іс
- Валеология
- Ветеринария
- География
- Геология, Геофизика, Геодезия
- Дін
- Ет, сүт, шарап өнімдері
- Жалпы тарих
- Жер кадастрі, Жылжымайтын мүлік
- Журналистика
- Информатика
- Кеден ісі
- Маркетинг
- Математика, Геометрия
- Медицина
- Мемлекеттік басқару
- Менеджмент
- Мұнай, Газ
- Мұрағат ісі
- Мәдениеттану
- ОБЖ (Основы безопасности жизнедеятельности)
- Педагогика
- Полиграфия
- Психология
- Салық
- Саясаттану
- Сақтандыру
- Сертификаттау, стандарттау
- Социология, Демография
- Спорт
- Статистика
- Тілтану, Филология
- Тарихи тұлғалар
- Тау-кен ісі
- Транспорт
- Туризм
- Физика
- Философия
- Халықаралық қатынастар
- Химия
- Экология, Қоршаған ортаны қорғау
- Экономика
- Экономикалық география
- Электротехника
- Қазақстан тарихы
- Қаржы
- Құрылыс
- Құқық, Криминалистика
- Әдебиет
- Өнер, музыка
- Өнеркәсіп, Өндіріс
Қазақ тілінде жазылған рефераттар, курстық жұмыстар, дипломдық жұмыстар бойынша біздің қор #1 болып табылады.
 
            
                Ақпарат
Қосымша
Email: info@stud.kz