Термопластарды жасау жолдары


Мазмұны
Кіріспе
Жоғарылатылған температура кезіндегі сипатынан тәуелділікте пластмассалар термопластты және термореактивті болып бөлінеді. Қыздыру кезінде жұмсару қасиеті бар және тұтқыр-сұйық болатын, ал салқындату кезінде бастақы қасиеттерін өзгертпей-ақ қатты күйге өтетін материалдар термопластты деп аталады.
Реактопластты деп те аталатын термореактивті материалдар қыздыру кезінде балқымайтын және ерімейтін күйге өте отырып қатаяды.
Термопласттарды жасау жолдары
Термопласттарды жасау кезіндегі қысымда құю әдісімен, инструкция және басқалармен полимерлердің жылу физикалық қасиеттерінің үлкен мәніне ие: ағымдылық жылу қабылдағыштық, жылу өткізгіштік, жұмсарту температурасы және басқа.
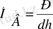
Термопласттардың ағымдылығын рашигтің түр өзгерткіштік әдісі бойынша аықтайды. 130ºС дейін қыздырылған қыспақ пішінге 12г салмағы бар термопласт таблеткасын салады, қыспақ пішінді 150 ºС дейін қыздырады және 600 кгс/см 2 -гі тегіс арқылы материалдардың тасқасын қияды және 1 мг-ға дейін дәлме-дәл іледі Ағымдылық 1 сек ішінде аққан материал салмағымен (мг-да) көрсетіледі.
Ағымдылық 190ºС стандартты қалақшалар арқылы 10 мин ішінде өтетін материал салмағына тең балқыту индексін мәнді толық сипаттайды. Балқыманың индексін анықтау әдісі экструзиялы пластометрде АSTM-1238-52T ша кең қолданыс тапты. Пластометр корпусы (ІІ-1 сур) ішіндегі -ту арнасы орналасқан 1 болат цилиндрді көрсетеді. Орталық арнаға орналастырылған қақпаққа 3 төлкеде қақпақтың жоғарғы бөлігіне бекітілген 5 стандартты жүк әсер етеді. Пластометр корпусы температураны автоматты реттеу арқылы электрмен жылытумен жабдықталған цилиндрдің қапталуы арнасы термобу үшін арналған.
Балқиманың индексін анықтау режимі
Балқыма индексін анықтау кезінде цилиндр 190±0, 5ºС дейін қыздырылады, осы темпералтрада 15 мин ұстап тұрып, кейін орталық арнаға ұнтақ немесе түйіршік түрінде полимер аспасына жүктейді цилиндрдің көрсетілген температурасы қайта орнаған кезде 4 мин. Кейін поршеньге 3 кгс/см 2 меншікті қысым кезіндегі балқыманың езілуін қамтамасыз ететін жүкті саналады.
Езілген балқыманың күтілген индексіне сәйкес кестені (кестені қара), кеседі және іледі.
Балқыма индексі оның табылған мәнінің орташасымен анықталады, еске салатын жайт максимал және минимал мәндер арасындағы айырмашылық 10 % аспауы керек.
Термопласттың ағымдылығының анықтау үшін Вильлистын ПСМ-2 плактамтері ықзмет ете алады. h 6 биіктігі бар палимер цилиндрі анықталған температурада h 2 шамасына дейінгі бөлшектер қалпына келуі орындалады. (һ 2 - һ 1 ) полимер созылымдылығын сипаттайды.
2 қосымшасында термопласттар үшін негізгі қасиеттер келтірілген ал намограммалар (қосымша) кейбір термопластты материалдардың әр түрлі температура кезіндегі эффектті тұтқырлығын анықтауға мүмкіндік береді.
Реактопласттар
Бұйымда реактопласттарды ыстық престеу әдісімен өңдеу кезінде материалдардың келесі технологилық, қасиеттері үлкен мәнге ие болады: меншікті көлем, түйір метрлік құрамы, таблеткалығы, сусымалығы, ағындылығы, ылғалдылығы, қатаю жылдамдығы және отыру шамасы.
Прессматериал ұнтақ немесе таблетка түрінде қолдануы мүмкін.
Меншікті көлемі тек ұнтақ тәрізді материалдар үшін мөлшерленеді. Оны анықтауда ұнтақ сілкінусіз және тарсылсыз еркін цилиндр ыдысқа 200 мл сыйымдылық және 800 мм биіктікпен себіледі. Ұнтақтың артығын пышақпен кеседі және толған ыдыста техникалық салмақта 0, 1 г-дейін туралап өлшейді. Меншікті көлемі V(мл/г-да)
формуласы бойынша есептейді мұндағы G ұнтақ салмағы, г.
Ұнтақтың меншікті көлемі оның жүйірметрлік құрамынан, ал соңғысы дайындау технологиясынан, жеке айтқанда қоспа сапасынан, талдырушының сипаты мен мөлшерінен тәуелді.
Төменгі меншікті көлемдегі ұнтақтар жақсы сусымалдылыққа ие. Олар үшін пресс пішінді аз, оңай және арзан ететін ұяшықтың аз көлемі бар пресс пішін қолданылады. Фенал-формальдегидті пресс ұнтақтар 2, 2-2, 8 мл/г меншікті көлеміне ие.
Пресспішінді құрастыру кезінде сонымен қатар көлемді коэфициенті яғни пресспішінді көлемінің алынған прессбұйым көлеміне қатынасын ескереді. Прессұнтақтың түйірметрлік құрамы електі жинау арқылы елеу және әрбір електегі қалдықты анықтау арқылы табады. Төменде феноло-формальдегидті прессұнтақтардың түйірметрлік құрамы шамамен келтірілген:
Елек № Електегі қалдық, %
6 0
8 20
24 35
32 30
Ұнтақтың бөлік шамасы бойынша біртексіздігі таблеткалау кезіндегі мөлшерлеу туралығына баяндалады және біртексіз қыздыруға бейімдейді.
Сусымалық, яғни ұнтақтың пресспішінге біртекті төілу қабілеті, ылғалдылықтан, әр түйірметрлік құрамнан және материалдың табиғи келісімділігімен тәуелді.
Прессұнтақтың таблеткалаулығы суықта қысыммен таблеткаға қатаю қабілетін сипаттайды және түйірметрлік құрамнан, ылғалдылықтан және шаңынан тәуелді. Таблеткалаулығы тәжірибелік таблеткалаумен сапалы анықталады.
Ағындылығы, яғни прессматериалдың пресспішін бойынша жайылу қабідеті сыртқы және ішкі ысылуынан және қатаю жылдамдығынан тәуелді, ішкі ысылу материалды пресстеу температурасындағы анықталады, ал тұтқырлығымен толтырушы мен байланыстырушының сапасынан және табиғатынан, материал ылғалдылығы мен пластификатордың бар болуынан тәуелді. Сыртқы ысылуы пішіннің бетімен, бұйым үйлесілімділігімен, пресстеу қысымымен және материалдардың пресспішінге жабысуымен анықталады, материалдық жеткіліксіз ағындылығы пресстеудегі ақаудың пайа болуын туғызады және бұйыммен дәл пішінделуіне кедергі жасайды, алайда мөлшерден көп ағындылықта ол балқыған пресс материалының пресспішін саңылауы арқылы ағуын туғызады.
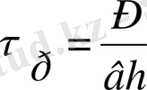
Реактопласттардың ағындылығын әдетте рашиг пресспішінде анықтайды (ІІ-2 сур) Термореактивті прессұнтақ таблеткасын 7, 5 салмақта анықталған температурада, мысалы фенало - формальдегидті прессұнтақтар үшін 160 0 С дейін, қыздырылған пресспішінге салады. Таблетканы 3 мин аралығында 300 кгс/см 2 қысымда престейді. Ағындылық пресстелген үлгідегі өзек ағындығымен миллиметрде көрсетіледі.
Материалдың ағындылығы және оның қатаю ұзақтығы Канавец плотометрінде (ІІ-3 сур) неғұрлым тура кескінделеді. Пластометр 2 сәйкес осьті цилиндрлік бөлшектерден: пресстелген үлгідегі берік тіркеу үшін рифлелік беті бар матрицалар мен штырь тұратын айналып тұрған пресспішін мен көрсетіледі. Прессматериал матрица мен штырь арасындағы қуысқа жүктеледі және 170 0 С температура (фенопласттар үшін) және 300 кгс/см 2 қысым кезінде престеледі.
Престеу кезінде айналып тұрған матрица сәйкес күшті престелуші материал арқылы динометрге береді, динометр дабылында миллиметрлік қағазға уақыттан тұтқырлықтың өзгеру сұлбасы сызлады (ІІ-4 сур) . Қатаю уақытын қатайған үлгі үшін сипатты 2-10 9 пз тұтқырыққа сәйкес нүктесінен абцисса осіне сызықты жібере отырып анықтайды. Ағындылықты көлденеңге жақын бөлік ұзындығы бойынша анықтайды.
Прессұнтақтың ылғалдылығы, әдетте оның салмағының 105 0 С кезіндегі 30мин ұсталымынан кейінгі өзгеріс бойынша анықталады. Жоғарылатылған ылғалдылық әдетте прессматериалдың төмендетілген ағындылығымен байланысты.
Қатаю жылдамдығын пресспішінде жоғары қысымда ұсталу ұзақтығымен анықтайды және сондықтан прес дайындауға көп деңгейде жер етеді. Төзім материалдың қызу уақытынан престеу материалдың қызу уақытынан престеу температурасына және оның қатаю уақытына дейін бүктеледі.
Пішінде прессматериалдың қыздырылу ұзақтығы жылу өткізгіштігінен, жылу сыйымдылығынан, беріктілігінен түйір метрлік құрамынан (ұнтақтар үшін) және бұйым өлшемінен тәуелді. Қатаю ұзақтығы престелу температурасынан және прессматериал құрамынан тәуелді, ал бұйымның пішіні мен өлшемінен тәуелді емес.
Көптеген зауыттарда қатаю жылдамдығын берілген зауыттан шыққан бұйымдардың бірін, көп жағдайда анықталған өлшемдегі стаканды тәжірибелі престеумен анықтайды. Тәжірибелі престеуді бастапқы ұсталымы 1, 5 мин болатын, меншікті қысымы 300 кгс/см 2 кезінде өндіреді, таблеткаларды алдын-ала 180 0 С дейін қыздырады (фенопластар үшін) . Егер бұйым кеуіп кеткен болып шықса, онда кейінгі престерді техникалық шарттарды қанағаттандыратын ұсталым ұзақтығын бұйымды алуға 10 сек дейін қайта-қайта жоғарылата отырып өндіреді. Егер 1, 5 мин-та ұсталым бұйымды кебусіз берсе, ұсталым уақыты жоғарылатылған болуы болуы мүмкін, сондықтан кейінгі престерді кебулері бар бұйым алуға 10 сек дейін ұсталымын азайта отырып өндіреді. Технологиялық қаулыларды құрастыру кезінде кебусіз бұйым алынатын минимальді ұсталымды есепке алады.
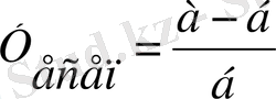
Отыру яғни, престелген бұйымның салқындату кезіндегі пішінін азайту 2 себеппен шартталған: салқындату кезінде материалды термиялық қысумен, поликонденсация есебінен нығыздау. Термиялық у сызықтық термиялық ұлғаю коэффициенті және престеу температурасы бойынша есептейді. Осылайша феноло-формальдегидтті пресұнтақтар үшін, термиялық у теориялық есептелген шамасы 0, 8% құрайды, сол уақытта, іс жүзінде ол 0, 5-1% тең.
Келесі формулалар бойынша анықтайды:
мұндағы У шын - шын отыру шамасы;
У есепт - есептелген отыру шамасы;
А - престеу температурасы кезіндегі ұяшық өлшемі;
а - бөлме температурасындағы ұяшық өлшемі;
б - бөлме температурасындағы бұйым өлгемі.
Реактопласттар қатарының негізгі қасиеттері 3 қосымшада келтірілген.
Пластмассаның физико-механикалық қасиеттерін анықтау
Механикалық құрамы. Созылу кезіндегі беріктілік шегін анықтау 18-22 0 С температура кезінде бөліктеу машинасында (II-5 сур) және қалақша түрінде дайындалған үлігіні бұзуға дейінгі жүктемені біртіндеп жоғарылату кезінде өндіреді. Созылу кезіндегі беріктілік шегі σ р (кгс/см 2 ) келесі формула бойынша анықтайды:
мұндағы р - бұзу жүктемесінің шамасы, кгс; в және һ - үлгінің сынауға дейінгі сәйкес ені мен қалыңдығы, см.
Статикалық бүктесіні кезіндегі беріктілік шегін анықтау үлгілерде стандартты таяқша деп аталатын - 120×15×10 мм өлшемдегі тік бұрышты бөренелер түрінде өтеді. Стандартты таяқшаны домалақталған өтуі бар тіреуіштерге орналастырады және тік бұзушы күш әсеріне әкеледі. Үлгінің жүктелу жылдамдығы υ (мм/мин)
формуласымен анықталады.
мұндағы
- тіреуіштер арасындағы қашықтық, м;
һ - үлгі қалыңдығы, мм;
- үлкеннің беттік қабатының салыстырмалы ұзарту жылдамдығы (пластмасса үшін 0, 3 мин
-1
тең деп алынады) .
Статикалық бүктеме кезіндегі беріктілік шегін σ н (кгс/см 2 )
формуласымен анықталады.
мұндағы р - немесе максимальды бүктеу күшінің шамасы, кгс;
- тіреуіштер ара қашықтығы, см;
в және һ - үлгінің сәйкес енімен қалыңдығы, см.
Егер сынау үрдісінде үлгі сынбасы онда шекті беріктілікке майыстыру үлкеймейтіннен жоғары жүктемені қабылдайды.
Сығу кезіндегі беріктілік шегін анықтау. Амслердің әмбебап машинасында өндіріледі цилиндр немесе стандартты өлшемдегі призма пішініндегі үлгі оның бұзылуына дейін 25 кгс/сек жылдамдықпен біртекті өсетін жүктеме әсеріне әкеледі, сығу кезіндегі беріктілік шегі
(кгс/см
2
-ге)
формуласымен анықталады.
мұндағы Р - бұзушы жүктеме шамасы кгс;
S - үлгінің көлденең қиылысу ауданы, см 2 .
Соққылық тұтқырлықты анықтау, маятникті тоқпақта өндіріледі (11-7 сурет) үлгі статикалық бүктемеде беріктілік шегін анықтау кезіндегі пішін мен ол шешімге ие. Үлгілі 9 тіреуіштерде 8 еркін орналастырады. Содан соң маятникті 3 абойлар жоғарғы орынға көтереді, онда ол 4ілгішпен ұсталады және соңғысын ала отырып маятникке еркін құлауға мүмкіндік береді. Үлгіні бұғылған соң маятник инерция бойынша 7 шкаламен өлшенетін кейбір биіктікке көтеріледі. Бұл биіктік қалған, яғни маятниктің шығындалмаған энергетиканың көрсеткіші болып табылады.
Соққылық тұтқырлық а
н
(кгс·см/см
2
- нен)
формуласы бойынша анықталады, мұндағы А - үлгінің бұзылуға кеткен жұмысы, кгс·см;
в және n - үлгінің сәйкес енімен қалыңдығы, см.
Соққылық тұтқырлығын тілігі бар үлгі үшін жиі анықтайды, соққы тұтқырлығының шамасы бұл жағдайда, тіліксіз үлгілері сынау кезіндегіге қарағанда неғұрлым аз. Үлгіге 3, 3 мм тереңдікке және соққыға қарама-қарсы жаққа 2 мм енімен тілек салады. Бұл сынақт кенеттен өзгеретін қапталы немесе мекендік кемістігі бар бөлік үшін сипатты И әбд бойынша меншікті соққылық тұтқырлығын анықтау әдісі шектелген практикада қолданылып 63, 5×12, 7×12, 7 өлшемді үлгі аспапта бірігіп бекітіледі де, кейін 0, 7 ден 2, 1 кгс см-ге дейінгі кинетикалық энергиясы бар маятниктің құлауымен бұзалатындығы бойынша ажыратылды. Сынақ тілігі бар үлгілерде әсері жүргізіледі.
Қатаңдығын анықтау Бринель аспабында өндіріледі (11-8 сур) . Үлгілер есебінде 5 мм аз емес қалыңдықтағы материал бөренелермен не табақша р қызмет етеді әдіс болат шарикті сыналып жатқан үлгіге Р күшімен езуге және Р күшінің дақ тереңдігінің өлшемі бойынша шар сегменті дағының бетіне қатынасына тең қатаңдыққа есептеуге негізделген.
Бринель аспабында сынау ≤20 кгс-қа тең жүк әсерінен өткізіледі. Жүктемені 30 сек аралығында нөлден шекті шамаға дейін жоғарылатады және 1 мин ұстап тұрып, түсіреді. Дақ тереңдігін күш түсілген соң 1 мин кейін және 1 мин кейін 0, 01 м дейінгі туралықпен жүктемені түсірген соң өлшейді.
Бринель бойынша қатаңдықты Н в (кгс/мм 2 та)
формуласы бойынша анықтайды.
мұндағы Р - шарикке түсірілген күш, кгс,
d - шарик диаметрі, мм;
һ - шарик дағының тереңдігі, мм.
Серпінді және қалдық деформациялар шамасының Н (%-те) қатынасын анықтау келесі формуламен орныдалады:
мұндағы һ - жүктеме кезіндегі дақ тереңдігі мм,
һ 0 - жүктеме алынған соңғы дақ тараңдігі анықталады.
Эластометр қатаңдығын анықтау ТШМ-2 және ТМ-2 твердометрлері көмегімен орындалады. ТШМ-2 твердометрінде шариктің ену тереңдігі, ал ТМ-2 твердометрінде- иненің үлгіге ену тереңдігі анықталады.
Жылулық қасиеттері. Пластмассалардың тұрақтылығын Мартенс және Вик бойынша анықтауға болады.
Мартен бойынша анықтау материалдың жүктемедегі жылу тұрақтылығын сипаттайды. Мартенс аспабы (11-9 сур) сыналушы үлгіге 5 бекітілген ен қысқаштан 1 және 3 жүгі бар рычагтан 2 және нұсқаушыдан 4 тұрады.
Үлгі -120×15×10 мм көлденең орналасқан болатындай бекітеді. Мартенс аспабын температураны 50 град/сағ-қа көтерілетін термостатқа орналастырады. Жылу тұрақтысы үшін нұсқаушы тілі 6 мм түсетін тамператураны қабылдайды.
Вик аспабы (11-10 сур) қиылысу аданы 1 мм 2 болатын инеге ауысатын, ұштары 3 бар өзектен 2 және жүктеуші қондырғыдан 4 тұрады. Аспап 50 град/сағ температура өрлеуінің 50 тұрақты жылдамдықтағы тармошковқа орналастырылған. Сынауға қалыңдығы 3 мм кем болмайтын табақша түріндегі тұрақтысы ине пластмассаға 1 мм-ге жүктелетін температурамен көрінеді.
Иненің тиелуіне негізделген Вик аспабы ТМ-2 твердомері сынау әдісі физикалық құрылысы бойынша біртексіз материалдар мысалы иненің байланыстырушығы тиелу тереңдігі және шыны ұштары әр түрлі шыны табақшаларды сынау үшін жарамсыз.
Диэлектрлік қасиеттері және диэлектрлік шығындарды сипаттау
Диэлектрлік шығындардың бұрыш тангенсі tg δ оған берілген энергияны ыдырату қабілеті өлшемімен қызмет ете отырып пластиктің диэлектрлік шығынын сипаттайды. tg δ жоғарылауы осы шығындардың жоғарылауы туралы, олай болса, материалдың диэлектрлік қасиетінің нашарлауы туралы куә болады.
Диэлектрлік шығындардың бұрыш тангенсін ГОСТ 6433-65 (50 гц кезінде) бойынша жоғарғы вольтті көпір көмегімен сондай-ақ ИПП типті аспаптар немесе ГОСТ 9141-59 (жоғарғы жиіліктер кезінде) бойынша куметрмен анықтайды.
Диэлектрлік өтімділік диэлектрикпен толтырылған конденсатор сыйымдылығының сол өлшемдегі, диэлектрик есебінде вакуумы бар конденсатор сыйымдылығына қатынасына тең. Диэлектрлік өтімділіктің анықталған шамалары 50 және 10 6 гр кезінде tg δ анықтау үшін қолданылатын аспаптар көмегімен жүргізіледі.
Меншікті беттік кедергі пластик беті 1 см 2 болатын кедергі шамасымен айқындалады. Оны диаметрі 10±2 мм және қалыңдығы 4±2 мм диск түріндегі немесе сол қалыңдықта 100±2 мм жағы бар квадратты табақша түріндегі үлгі көмегімен анықтайды.
... жалғасы- Іс жүргізу
- Автоматтандыру, Техника
- Алғашқы әскери дайындық
- Астрономия
- Ауыл шаруашылығы
- Банк ісі
- Бизнесті бағалау
- Биология
- Бухгалтерлік іс
- Валеология
- Ветеринария
- География
- Геология, Геофизика, Геодезия
- Дін
- Ет, сүт, шарап өнімдері
- Жалпы тарих
- Жер кадастрі, Жылжымайтын мүлік
- Журналистика
- Информатика
- Кеден ісі
- Маркетинг
- Математика, Геометрия
- Медицина
- Мемлекеттік басқару
- Менеджмент
- Мұнай, Газ
- Мұрағат ісі
- Мәдениеттану
- ОБЖ (Основы безопасности жизнедеятельности)
- Педагогика
- Полиграфия
- Психология
- Салық
- Саясаттану
- Сақтандыру
- Сертификаттау, стандарттау
- Социология, Демография
- Спорт
- Статистика
- Тілтану, Филология
- Тарихи тұлғалар
- Тау-кен ісі
- Транспорт
- Туризм
- Физика
- Философия
- Халықаралық қатынастар
- Химия
- Экология, Қоршаған ортаны қорғау
- Экономика
- Экономикалық география
- Электротехника
- Қазақстан тарихы
- Қаржы
- Құрылыс
- Құқық, Криминалистика
- Әдебиет
- Өнер, музыка
- Өнеркәсіп, Өндіріс
Қазақ тілінде жазылған рефераттар, курстық жұмыстар, дипломдық жұмыстар бойынша біздің қор #1 болып табылады.

Ақпарат
Қосымша
Email: info@stud.kz