Жер жұмыстарының технологиясы


Жұмыс түрі: Дипломдық жұмыс
Тегін: Антиплагиат
Көлемі: 120 бет
Таңдаулыға:
Қазақстан республикасының Білім
және Ғылым министрлігі
М. Әуезов атындағы Оңтүстік Қазақстан Мемлекеттік
университеті және
М. Тынышпаев атындағы Қазақ көлік және
коммуникациялар академиясы
Жер жұмыстарының технологиясы
Техникалық жоғарғы оқу орындарының
студенттеріне арналған оқу құралы
Шымкент 2006
І-тарау. Топырақтар және олардың қасиеттері.
1. 1 Топырақтардың физикалық және механикалық қасиеттері, олардың тобы.
Топырақтар деп жер қыртысы, материал және құрылыстарда орта ретінде қолданылатын, көп компонентті система болып келетін кез келген тау жыныстарын айтады.
Топырақтар түрлері негізінен ГОСТ 25100-82 бойынша класстарға, топтарға, жартылай топтарға, түрлерге бөлінеді.
Құрылыстарда топырақтарды қолданғанда, олармен қазу, өңдеу жұмысын істегенде негізгі физикалық, механикалық қасиеттерін білу керек, сонымен қатар оларды механизмдермен өңдеу үшін қазуға оңай-қиындығының тобын білу керек, өйткені жұмыс өндірісі нормасы (ЕНИР) осыған сүйенген.
Топырақтар жартасты және жартассыз болып бөлінеді.
Жартасты (скальные) топырақтарға жатысы тұтас немесе жарықшақты сілем болып келген, түйіршіктері арасынде мықты байланыс бар (тұтас немесе цементтелген) атқылап шығып жайылған, өзгермелі және шөгінді тау жыныстары.
Жартассыз (нескальные) топырақтар деп механикалық және химиялық табиғи өзгеріске ұшыраған тау жыныстарының шөгінділерін есептейді. Түйіршіктер құрамына қарай олар тастар, құмдар және саздар болып бөлінеді.
Тастар (крупнообломочные) деп түйіршіктерінің 50 проценттен астамы 2 миллиметрден артық болып, кристалды және шөгінді жыныстардан тұратын цементтелмеген топырақтарды айтады. Тастардың қоспасы құмдар және саздар аралас болады.
Құмдар (құмды топырақтар) (пески, песчаные грунты) - құрғақ күйінде сусымалы, түйіршіктерінің 50 проценттен кемі 2 миллиметрден артық және созылмалы қасиеті жоқ тау жыныстары.
Саз топырақтар (глинистые грунты) - ылғалданғанда ісініп, созылмалы қасиеті болатын жұқадисперсті тау жыныстары.
Жердің кейбір қатпаршығында органогенді шөгінділер кездеседі, оларға шымтезекті топырақтар, тас көмірлер кіреді. Шымтезекті топырақтардың созылмалы қасиеттері кездессе, тас көмірлер физика-механикалық қасиеттері бойынша жартастарға ұқсас.
Дисперсті топырақтардың екі түрі - құмдар және саздар, олардың өзара ерекшелігі бар.
Саз топырақтардың кейбір түрлерінің ылғалдылығы жүздеген процентке дейін болады, құмдардікі небәрі 40 проценттен аспайды. Саз топырақтар суға қаныққанда олардың күйі мына қатармен өзгереді: қатты, созылмалы және аққыш. Ал құмдар екі күйде ғана болады: сусымалы (қатты) немесе аққыш. Саздар ылғалдылығына қарай көлемі ұлғайып, ісінеді, ал құрғатқанда көлемі кішірейіп, жарыла бастайды, яғни шөгеді. Құмдардың көлемі бұл жағдайда өзгермейді.
Саз топырақ статика күштер әсерімен құмдарға қарағанда аса сызылғыш, олардың созылмалы қою болып келген түрлері сыртқы күш әсерімен өте баяу деформацияланады. Осы себепте саз топырақта орналасқан кейбір ғимараттардың шөгуі бірқатар жылдар, тіпті ондаған жылдар байқалады. Құмдар күш түскенде тез деформацияланады.
Құмдар, әсіресе ірілері - су өткізгіш болатындықтан топырақ қабатында оларды сүзгіш, ал саздардың созылмалы және қатты күйдегі түрлерін су өткізбейтін қабаттар ретінде қарастыруға болады.
Топырақтың көптеген түрлері болады, оларды құрастырушылардың бірі - қатты нәрселердің, яғни топырақ қаңқасының (скелет) әртүрлі қасиеттері өзара бір-біріне өзгеріс туғызады.
Топырақтың әрқилы қасиеттері және өзгеріп отыратындығы олардың физикалық күйлеріне, яғни нығыздау дәрежесі (степень уплотнения) мен саңылаулардағы (поры) судың мөлшеріне байланысты.
Топырақ қуыстар системасына біріккен бөлшектерден тұрады (топырақ қаңқасы - скелет) . Топырақтың жасалу шартына (жағдайына), жан-жақты қысылу және ылғалдылығына байланысты оның қуыстары кейбір өлшемде сумен және ауамен толтырылған, яғни топырақ заттары әртүрлі фазалық күйлерде болады. Минерал түйіршіктері қатты (твердая), су - сұйық, ал ауа (газдар мен су пары) - газ түріндегі фазалары болып саналады.
Топырақ көлемінің бір бөлігі қатты фазаға (топырақ қаңқасы - скелет), басқа екі бөлігі - сұйық (су) және газ түріндегі (ауа) фазаға келетін үш фазалық система болып жасалады (1. 1, а-сурет) . Саңылаулары сумен толық толтырылғанда система екі фазалық системаға ауысады (1. 1, б-сурет) . Күш түскенде, суға қаныққанда және құрғағанда топырақтың бірлік көлеміндегі фазаның ара қатынасы өзгере бастайды.
Заттар фазасының топырақта таралуы салыстырмалы ылғалдылық, топырақ тығыздығы және оның түйіршіктерінің тығыздығы арқылы сипатталады. Бұл сипаттамалар лаборатория талдауы (анализ) арқылы анықталады.
Топырақтың салыстырмалы ылғалдығы (топырақ ылғалдығы - влажность грунта) деп саңылаулардағы су мөлшерінің салмағының
топырақ қаңқасының (скелет грунта) массасына
қатынасын айтады. Ылғалдылық бірлік қатынастарымен (
) немесе проценттермен
анықталады. Ылғалдылықты анықтаған кезде топырақ үлгілерін 105-110
0
С температурада тұрақты масса алғанша кептіреді.
Топырақ тығыздығы
(плотность грунта) - оның массасының (оның саңылауларындағы судың массасын қосқанда) осы топырақтың қалыптасқан көлеміне қатынасы:
(1. 1)
мұндағы:
- топырақ тығыздығы, г/см
3
;
- топырақ үлгісінің массасы, г;
- топырақ үлгісінің көлемі, см
3
.
Топырақ тығыздығы олардың минералдық құрамына, кеуектілігіне және ылғалдылығына байланысты.
Топырақ түйіршігінің тығыздығы (плотность частиц грунта)
- топырақ қаңқасы массасының оның қалыптасқан көлеміне қатынасы:
(1. 2)
мұндағы:
- топырақ қаңқасының тығыздығы, г/см
3
;
- түйіршіктердің (топырақ қаңқасының) массасы, г;
- топырақ түйіршіктерінің (қаңқасының) көлемі, см
3
.
Топырақ түйіршіктерінің тығыздығы 2, 4-тен 3, 2 г/см 3 -ге дейінгі аралықта өзгереді.
Лабораториялық жолымен табылған ылғалдылықты топырақ тығыздығын және түйіршіктер тығыздығын қолдана отырып, құрғақ топырақ тығыздығын, кеуектілікті және кеуектілік коэффициентін, яғни топырақтағы түйіршіктердің массасы мен көлемінің ара қатынасын анықтауға болады.
Құрғақ топырақ тығыздығы (плотность сухого грунта)
- топырақ қаңқасы массасының (саңылаулардағы су массасын шығарып тасатағанда) осы топырақпен қалыптасқан көлеміне қатынасы:
(1. 3)
мұнда:
- құрғақ топырақ тығыздығы, г/см
3
;
- топырақ қаңқасының массасы, г.
Бұл тығыздықтың үйінділеріндегі (насыпи) топырақ массасына су массасын қоспай табады:
немесе
(1. 4)
Топырақ кеуектілігі
саңылаулар көлемінің
топырақ көлеміне қатынасы арқылы анықталады:
(1. 5)
Топырақтың бірлік көлемі кубикпен бейнеленеді.
параметрі қатты түйіршіктер топырақ қаңқасы қалыптасқан көлем үлесіне сәйкес келіп тұр,
- саңылаулар көлем үлесіне (кеуектілік),
екендігі көрініп тұр, мұндағы
.
Топырақ қаңқасы қалыптасқан көлемінің үлесі:
(1. 6)
Саңылаулар қалыптасқан көлемінің үлесі (топырақ кеуектілігі) :
(1. 7)
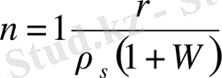
Құрғақ топырақ тығыздығы мәнін /1, 3/ - ке ауыстырып қоя отырып, //1, 7/-формуланы қараңыз/, қабылдаймыз:
(1. 8)
Немесе процентпен
Біртекті құмдар мен ұсақ малта тастың /гравий/ кеуектілігі шамамен осы мәндерге сәйкес келеді. Әртүрлі түйіршікті құмдардың кеуектілігі аз мөлшерде болуы мүмкін, ал саз топырақтарда өздерінің ісінуі қабілеттілігі салдарынан едәуір көп болады.
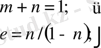
Кеуектілік коэффициенті /коэффициент пористости/ е деп саңылаулар көлемінің топырақ қаңқасы көлеміне қатынасын атайды:
, мұнда
Осыдан
(1. 9)
Осыдан мына түрге енеді:
немесе
(1. 10)
Кеуектілік коэффициенті топырақтардың нығыздығын /уплотненность/ сипаттайды және ғимараттарға жер қыртысы ретінде жарамдылығын бағалау үшін қолданылады. Мұндай тәсіл ең алдымен топырақтардың физикалық күйін және нығыздығын бағалау үшін қолайлы.
Екі теңдеу системасын шешу арқылы
(1. 11)
Аламыз:
![]()
(1. 12)
Ылғалдық дәрежесі және сусымалы топырақтар бітімінің тығыздығы /степень влажности и плотность сложения сыпучих грунтов/. Топырақтардың физикалық күйі тығыздық дәрежесіне және ылғалдылығына, осыдан кейін олардың жер қыртысы мен құламаларының /откосы/ бет алысына да байланысты.
Құмды топырақтардың көлемі суға қанық және кептірілген жағдайда өзгермейді, ал саз топырақтарда өзгеріске ұшырайды, бұл кезде олардың физикалық күйінің сипаттамасы әркелкі.
Топырақ саңылауларын сумен толтыру дәрежесін анықтау үшін ылғалдылықпен қатар оның суға толық сиымдылығын /полная влагаемкость/ есептеу қажет.
Суға толық сиымдылық /полная влагаемкость/ - топырақ саңылаулары сумен толтырылған кездегі өлшенген ылғалдылық:
мен
мәндерін қолдана отырып суға толық сиымдылығын анықтауға лайық формуласын аламыз:
(1, 13)
Ылғалдылық дәрежесі /степень влажности/ - топырақ ылғалдылығының оның суға толық сиымдылығына қатынасы:
(1, 14)
Топырақтың сумен қанығуы оның ылғалдылық дәрежесіне байланысты анықталады:
Ылғалдылық дәрежесі Топырақ күйі.
- Ылғалдығы аз
- Ылғалды
- сумен қаныққан
Ылғалдылық дәрежесі «максимал» болғанда /бірге тең болғанда/ топырақтың барлық саңылаулары сумен толтырылады. Басқа жағдайда саңылауларжа ауа да кездеседі.
Сусымалы топырақ бітімінің тығыздық дәрежесі /степень плотности сложения сыпучего грунта/ деп оның табиғи жағдайдағы нығыздығының мүмкіндігінше «максимал» шамасына қатынасын атайды:
(1. 15)
Топырақ қаңқасының көлемі өзгермегендіктен бұл формуланы мына түрге келтіруге болады:
(1. 16)
Сусымалы топырақтардың физикалық күйі бітітімінің тығыздық дәрежесіне байланысты. Егер
0. 33 болса, онда топырақ борпылдақ /рыхлый/ бітімді, 0, 33
болғанда - орташа тығыз бітімді, ал 0, 67
++ 1 болғанда, топырақ тығыз бітімді.
Құм топырақтарды кеуектілік коэффициентінің мәндері бойынша топтастырады, олардың көлемі тығыздық дәрежесімен бөлген топқа сәйкес -келеді /1, 1-таблица/.
Байланысты топырақтардың қоюлығы /консистенция/ олардың ылғалдылығана байланысты өзгереді. Топырақтардың қатты, созымды және ақ-қыш қоюлығы болады.
Аққыш қоюлығы бар топырақ сұйық сықылды болады. Тіпті ығысуға /сдвиг/ кедергі жасамайды. Топырақ созымдылығы деп оның деформация кезінде тұтастығын сақтап қалу қасиеті және көлемін өзгертпеуі деп түсінеді.
Созымдылық қоюлығы бар топырақ күш астында жарықшақ пайда болмай-ақ деформацияға ұшырайды. Қатты қоюлығы бар топырақ күшті едәуір ұлғайтқан кезде жарықшақ пайда болумен бірге деформацияға ұшрайды.
Топырақтың қатты күйінің созымдылық күйіне және керісінше ауысуға сәйкестелген ылғалдылығын созымдылық шегі /илеиу шегі/ деп айтады. Екіші термин топырақтың осы ылғалдылығында жіп тәрізді илену қабілетіне байланысты алынған, ылғалдығы осыдан кем болғанда топырақ үгітіліп кетеді.
Топырақтың созымдылық күйінен аққыш күйге ауысуға сәйкес және керісінше ылғалдылығын аққьштық /текучесть/ шегі деп атайды.
Ширау мен илену шегіне сәйкес ылғалдалықтың айырмашылығын созымдылық саны /число пластичности/ деп атайды:
`
![]()
Созымдылық саны-топырақтың қатты күйінен созымды күйге ауысқанға сәйкес су мөлшерін /процентпен немесе ылғалдалық үлесімен/ көрсетеді. Мысалы, жоғарғы активті бетониттер үшін ол 200 процентке дейін болады, ал кіші активті лесстар үшін /кварц ұнтағы/ -5-10 процентке дейін.
Созымдалық санын саз балшықтардың /сазда топырақтардың/ негізгі тобының бірі ретінде қарастырады, Созымдылық саны бойынша олар келесі түрге бөлінеді: құмайттар /супеси/ -
саздақтар /суглинки/ -
саздар /глины/ -
. Аққыштық көрсеткіші /показатель текучести/ - табиғи ылғалдылығы мен созымдылықтың шегінің /илену/ айырмашылығының созымдылық санына қатынасы:
1. 1-таблица .
Көлемнің тығыздығы бойынша құмдар тобы.
Малталы, ірі және орташақұмдар
Ұсақ құмдар
Майда - « »-/тозаңдар/
1. 2 - таблица
Саз топырақтар күйі
Қумайттар:
Қатты/твердые/
Пластикалы /пластичные/
Аққыш /текучие/
Саздақтар мен саздар
Қатты /твердые/
Жартылай қатты /полутвердые/
Баяу созымды /тугопластичные/
Жұмсақ созымды /мягкопластичные/
Аққыш созымды /текучепластичные/
Аққыш /текучие/
Байланысқан топырақтардың аққыштық көрсеткіші бойынша берілген түрлерін ГОСТ 25100 - 82 бойынша анықтайды /1. 2 - таблица/.
Ғимараттардың жер қыртысының үстіне және қазан шұңқырлардың /котлованы/ қабырғасына түскен күштерді есептеу үшін топырақ массасының бос түскен үдеуіне көбейтінді болып табылатын топырақ салмағын анықтайды.
Меншікті са лмақ /удельны вес/ деп сағылауларындағы судың салмағын қоса алғанда топырақ салмағының өздерінің қалыптасқан көлеміне қатынасын айтады:
(1. 19)
Мұндағы:
- топырақтың меншікті салмағы,
Н/м
топырақ тығыздығы,
кг
/
ерікті құлау үдеуі,
м/
м/с
Топырақтың меншікті салмағы өзінің нығыздығына және ылғалдылығына байланысты едәуір шамада өзгереді.
Топырақ түйіршіктерінңғ меншікті салмағы /удельный вес частиц грунта/ деп қатты түйіршіктердің салмағының өздерінін қалыптасқан әлеміне қатынасын айтады:
Мұндағы :
топырақ түйіршіктерінің меншікті салмағы,
м
құрғақ топырақ қаңқасының тығыздығы, кг/м
3
.
Құрғақ топырақтың меншікті салмағы /удельный вес сухого грунта/ деп топырақ қаңқасының салмағының өзінің қалыптасқан көлеміне қатынасын айтады:
Мұндағы:
құрғақ топырақтың меншікті салмагы,
Н/м
- құрғақ топырақ тығыздары, кг/м
3
.
Топырақтар бөлшектерінің үлкенді - кішлігі бойынша белгілі аралығын түйіршіктер тобы /фракция/ деп атайды.
Топырақты түйіршіктер тобына бөлу үшін әрқилы әдістер қолданылады, олар: електеу, тұндыру, арсометрия қолдану, тағы басқалар. Бұл процесті түйіршіктеліну анализі деп атайды.
Топырақтағы түйіршіктер тобының проценттік мөлшерін олардаң әртүрлі құрамы арқылы анықтайды.
Түйіршіктер үлкен-кішілігі бойынша тастар, құмдар, тозаңдар, саз -балшықтар болып бөлінеді /І. 3-таблица/.
Топырақтар түйіршіктерінің үлкен - кішілігі бойынша тобы.
Т а с т а р /крупнообломочные частицы/
- қой тастар /домаланып мүжілген/ және жардың кесектері /валуны и глыбы/
- малта тастар/домаланып мүжілген/ және қиыршық тастар /галка и щебень/
- ұсақ малта тастар /домаланған/ және мүжілмеген ұсақ тастар /гравий и дресва/
Қ ұ м д а р /пески/
- ірі құмдар
- орташа құмдар
- ұсақ құмдар
Т о з а ң д а р /пылеватые частицы/
- ірі тозаңдар
- ұсақ тозаңдар
С а з б а л ш ы қ т а р /глинистые частицы/
200 - ден көп
10 - нан 200 - ге дейін
2 - ден 10 - ға дейін
0, 5 - тен 2 - ге дейін
0, 25 - тен 0, 5 - ке дейін
0, 1 - ден 0, 25 - ке дейін
0, 05 - тен 0, 1 - ге дейін
0, 005 - тен 0, 05 - ке дейін
0, 005 - тен аз
Топырақ түйіршіктері домаланып мүжілген /қой тастар, малта тастар, ұсақ малта тастар/ және домаланып мүжілген /жардың кесек- әрі, қиыршық тастар, ұсақ тастар/ түріңде кездеседі. Құмдардың түйіршіктері мүжілген және мүжілмеген түрде болады.
Тастар түйіршіктері үшін олардың ішкі аналық жыныстарынан айырмашылығы аз-кем болғандақтан, тек қана олардаң минералдық, яғни петрогрефиялық құрамын қарастырады. Бұл түйіршіктер тау жыныстарының физикалық үгітілуінің туындысы болып табылады. Сонда да болса тастар түйіршіктері үгілуге ылғи ықшамды болып келеді.
Жыныстардың үгітілуі олардың физикалық күйлерінің өзгерістеріне, яғни тығыздылығының азаюына, жарықшақтың /трешины/ пайда болуына, тағы басқаларға байланысты. Тастар түйіршіктері өте қатты үгітілген, үгітілмеген болып бөлінеді. Олардың үгітілген үгітілмегенін магмалық және өзгермелі тау жыныстарының тастарынан анықтау қиынғатүседі. Көп дәреже үгітілген тастарын зерттегенде ғана байқауға болады, алайда, шегінді тау жыныстарының тастарынан анықтау қиынға түседі. Көп дәрежеде тастар мүжілген күйінде, ал үгітілмегені мүжілмеген кездеседі.
Құмдар түйіршектері, әдетте, кейбір жалғыз минералдан /мысалы, кварц, дала шпаты, және т. б. / тұрады. Құмдар түйіршіктер физикалық үгітілуден пайда болған жыныстардың су ағынын, кейде желдің әсерімен шөгінді болып, үйме түрге айналады.
Тозаңдар түйіршіктері бірдей дәрежеде бастапқы минералдан /кварц дала шпаты, карбонат, слюда сынықтары / тұрады. Сонымен қатар, олар химиялық үгітілуден туған тау /темір қышылы, аллюмини және солардың гидраттары, т. б. / тұрады. Олар су ағыны немесе жел әсерінен үймеге айналады.
Саз - балшықтар түйіршіктері /
мм/ тау жыныстарының химиялық үгітілу әсерінен туған екінші, яғни саз - балшықты минералдан тұрады, олар ерілу, қышқылдану, гидратациялану және гидролиздану процестерімен байланысты. Бұл процестер ауа райы жағдайына, сонымен қатар жыныстардың құрамы мен қасиетіне, жайылған тереңдігіне және жасалу ортасына байланысты түрліше болып өзгереді.
Ауа райы салқын және ылғалды болған жағдайда иллит және каолинитин типтес, ал ыстық ылғал аймақтарда монтмориллонт типтес саз-балшықтар минералдары пайда болады.
Саз - балшықтар түйіршіктеріне сонымен қатар екінші минералдарға /вторичный минерал/ жатпайтын үлкен түйіршект де / d<0, 005мм / жатады, олардың коллоидтық қасиеттері болады.
Тастар, құмдар, тозаңдар түйіршіктерніе және олардың мүжілген - мүжілмеген түрлеріне қарағанда саз - балшықтар минералдары жұқа болып ұштары ине немесе жапырақтар тәрізді өткір келеді.
Топырақ қаңқасындағы т. йіршектер арасындағы саңылаулар сумен әсіресе ауамен бірге толған. Егер мұндағы су топырақ түйіршіктерін жауып тұрса, ал ауа үлкенді - кішілі көбік тәрізді орын алады. Су ішінде әртүрлі қоспалар ерітілген. Қатты жә»не сұйық фазалар аралығындағы шеткі қабатта беттік физико - химиялық процестер ұлғая түседі, олар біртіндеп ұнтақ дисперсті топырақтар қасиетіне, сығылғыштығы мен орнықтылығына /сжимаемость и устоичивость/, топырақ өздерінің әсерін зор күшейте түседі. Беттік процестердің қарқындылығы /интенсивность поверхностных процессов/ топырақ түрлеріне қарай әртүрлі және ол топырақ саңылауындағы шектелген беттің ауданына, топырақ түйіршіктерінің минерлдық құрамына, су ерітінділерінің химиялық құрамына байланысты.
Барлық түйіршіктер беттерінің топырақ бірлік көлеміне келтірілген ауданның қосындысын оның қаңқа бетінің меншікті ауданы ауданы деп атайды. Қарастырылған топырақтың түйіршіктері неғұрлым кіші болса, оның бетінің бетінің меншікті ауданы соғұрлым көбейеді және топырақтың физико - химиялық активтілігі жоғарылай береді.
Табиғаттағы саздар түйіршіктерінің шекті беттерінің ауданы түрлі инеге, жапырақтарға ұқсас болғандықтан анағұрлым көп болады.
Құмды топырақтар қасиетіне беттік процестер көп әсер етпейді. Ал саз топырақтар үшін олардың түйіршіктерінің беттік ауданы көп болғандықтан бұл процестер өте маңызды орын алды. Саз топырақтар беттік - активті /поверхностно - активное/ денеге, яғни коллоидті денеге жатады.
Топырақтарда пайда болатын физик - химиялық жайлардың табиғатын білмей тұрып, одан ертеректе, олардың ұсақдисперсті /мелкодисперстный/ түйіршіктерінің мөлшері бойынша активті болатындығын болжап білген және әртүрлі тобының негізін жасаған. Бұған мысал ретінде практикада қолдануға өте ыңғайлы құрылысқа керекті топырақтардың ықшамдалған тобын келтіруге болады. /1. 4 таблица/.
Егер саз топырақта тозаңдар құмдарға қарағанда көп болса, онда оларды «тозағды» деп атайды: тозаңды саздақ /пылеватый суглинок/, тозаңды қумайт /пылеватая супесь/.
Саз топырақтар аты ГОСТ - та пластикалық санға байланысты.
Тозаңды топырақтар суда жұмсарып, шайылып кетуіне қарай сумен
1. 4 - кесте.
Топырақтардың құрылысқа керекті ықшамдалған тобы.
өзара әректтенуге сезімтал болады, ал олар суға қанығып тоңған кезде ісіну /пучение/ пайда болады. Тозаңды топырақтардың кейбір түрлері /лестар, лесті топырақтар/ суға шайылғанда сусып шөгеді /просадка/ .
Тастар мен құмды топырақтар түйіршіктер құрамы бойынша бірқатар топқа бөлінеді /1. 5 - таблица, ГОСТ 25100 - 82/.
Топырақтар құрамын толық көрсету үшін түйіршіктерді талдап жасаған мәліметтерді жартылографимдік торға түсіреді. Оның тік осіне
1. 5 - таблица.
Тастар мен құмды топырақтар тобы.
... жалғасы- Іс жүргізу
- Автоматтандыру, Техника
- Алғашқы әскери дайындық
- Астрономия
- Ауыл шаруашылығы
- Банк ісі
- Бизнесті бағалау
- Биология
- Бухгалтерлік іс
- Валеология
- Ветеринария
- География
- Геология, Геофизика, Геодезия
- Дін
- Ет, сүт, шарап өнімдері
- Жалпы тарих
- Жер кадастрі, Жылжымайтын мүлік
- Журналистика
- Информатика
- Кеден ісі
- Маркетинг
- Математика, Геометрия
- Медицина
- Мемлекеттік басқару
- Менеджмент
- Мұнай, Газ
- Мұрағат ісі
- Мәдениеттану
- ОБЖ (Основы безопасности жизнедеятельности)
- Педагогика
- Полиграфия
- Психология
- Салық
- Саясаттану
- Сақтандыру
- Сертификаттау, стандарттау
- Социология, Демография
- Спорт
- Статистика
- Тілтану, Филология
- Тарихи тұлғалар
- Тау-кен ісі
- Транспорт
- Туризм
- Физика
- Философия
- Халықаралық қатынастар
- Химия
- Экология, Қоршаған ортаны қорғау
- Экономика
- Экономикалық география
- Электротехника
- Қазақстан тарихы
- Қаржы
- Құрылыс
- Құқық, Криминалистика
- Әдебиет
- Өнер, музыка
- Өнеркәсіп, Өндіріс
Қазақ тілінде жазылған рефераттар, курстық жұмыстар, дипломдық жұмыстар бойынша біздің қор #1 болып табылады.

Ақпарат
Қосымша
Email: info@stud.kz