Бейсик тілінде берілген есепке программа құру туралы ақпарат


Жұмыс түрі: Курстық жұмыс
Тегін: Антиплагиат
Көлемі: 21 бет
Таңдаулыға:
КУРСТЫҚ ЖҰМЫС
Тақырыбы: Бейсик тілінде берілген есепке программа құру
Мазмұны
Кіріспе
Қазіргі кезде кеңінен қолданылатын программалау жүйесінің бірі - Basic. Бастапқыда Basic тілі программалауды алғаш үйренушілір үшін өте тиімді құрал болып табылады. Бил Гейтс көмегімен Basic тілі қазіргі заман талабына сай, қуатты программалау жүйесіне айналды. Basic - жоғарғы денгейлі программалау жүйесі. Оның логикалық құрылымы әр түрлі есептерді дәл шешуге комегін тигізеді. Сондықтан, оқушылар мен студенттерге программалаудың негізін Basic тілін оқытып-үйретуден бастап, программалаудың қыр-сырын меңгертудің маңызы зор.
- Есесптің математикалық түрінде жазылуы
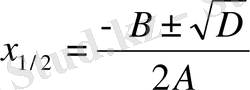
Ax 2 +Bx+C=0 квадраттық теңдеу болып келеді. Оны шешудің негізгі формуласы:
D=B 2 -4AC - дискриминантты анықтаймыз
Егер D 0-ден үлкен болса онда екі түбірі болады
- бірінші түбір
- екінші түбір
Егер D 0-ге тең болса онда бір түбірі болады
Егер D 0-ден кіші болса онда теңдеудің шешімі жоқ
- Есесптің шығарылуы
А) A=4, B=2, C=-5 мәндері берілсін
Дискриминант
0-ден үлкен онда екі түбірі болады
В) A=2, B=4, C=2 мәндері берілсін
Дискриминант
0-ге тең онда бір түбірі болады
С) A=6, B=3, C=1 мәндері берілсін
Дискриминант
0-ден кіші онда түбірі жоқ болады
- Алгоритм
- Программаның басы
- А, В, С айнымалыларға пернетақтадан мән береміз
- Дискрименантты есептейміз және баспаға шығарамыз
- Егер дискрименант 0-ден үлкен болса онда екі түбірін есептеп баспаға шығарамыз
- Егер дискрименант 0-ге гең болса онда бір түбірін есептеп баспаға шығарамыз
- Егер дискрименант 0-ден кіші болса онда экран бетіне “Нет решения” деген хабарламаны шығарамыз
- Программаның соңыАлгоритмнің графикалық кескіні (блок-схема)
ё
- Программаның тексті (листинг)
10 REM
15 CLS
20 PRINT "A=";
30 INPUT A
40 PRINT "B=";
50 INPUT B
60 PRINT "C=";
70 INPUT C
90 D = B ^ 2 - 4 * A * C
95 PRINT "Дискрименант D="; D
100 IF D > 0 THEN
105 PRINT “Решение имеет два корня“
110 X1 = (-B + SQR(D) ) / (2 * A)
120 X2 = (-B - SQR(D) ) / (2 * A)
130 PRINT "X1="; X1
140 PRINT "X2="; X2
150 END IF
160 IF D = 0 THEN
165 PRINT "Решение имеет один корень"
170 X12 = -B / (2 * A)
180 PRINT "X12="; X12
190 END IF
200 IF D < 0 THEN PRINT "”Нет решения
210 END
- Прграмманың алғашқы берілгендері
А) A=? 4 B=? 2 C=? -5
В) A=? 2 B=? 4 C=? 2
С) С=? 6 B=? 3 C=? 1
- Программаның шығарылған нәтижесі
А)
Дискриминант D= 84
Дискрименант больше 0 - два корня
X1= . 8956439
X2=-1. 395644
В)
Дискриминант D= 0
Дискрименант равен 0 - один корень
X12=-1
С)
Дискриминант D=-15
Дискриминант меньше 0 - нет решения
2. 1. Есесптің математикалық түрінде жазылуы
Массивтің бас диагональдың жоғарғы жағында орналасқан элементтерді қарастыру үшін “Егер бағана нөмірі жол нөмірінен үлкен болса” деген шарт арқылы жүзеге асырамыз.
Массивтің бас диагональдың төменгі жағында орналасқан элементтерді қарастыру үшін “Егер бағана нөмірі жол нөмірінен кіші болса” деген шарт арқылы жүзеге асырамыз.
Массивтің ең үлкен элементін анықтау үшін бірінші элементті МАХ айнымалысына теңестіріп “Егер элемент МАХ-тан үлкен болса онда МАХ-қа сол элементтің мәнің меншіктейміз” деген алгоритмді пайдаланамыз.
Массивтің ең кіші элементін анықтау үшін бірінші элементті МIN айнымалысына теңестіріп “Егер элемент МIN -нан кіші болса онда МIN -ға сол элементтің мәнің меншіктеу” деген алгоритмді пайдаланамыз.
2. 2. Есесптің шығарылуы
X( 9, 12 )
8 6 6 3 4 8 1 8 9
8 1 5 9 8 4 10 9 1
10 4 6 8 1 6 5 3 7
7 3 3 9 9 6 10 10 3
7 10 3 6 2 10 7 1 6
2 2 8 3 1 3 4 4 10
10 5 3 2 2 7 5 5 8
4 7 3 2 6 1 5 10 3
8 4 3 10 7 7 5 1 6
y( 9, 12 )
7 10 9 1 6 10 5 7 6
6 5 4 5 3 1 3 10 1
4 4 5 2 5 3 7 6 2
10 7 6 4 2 8 5 8 6
9 1 3 1 2 4 2 1 6
7 6 9 1 2 7 5 4 2
8 10 6 1 8 5 5 5 3
4 1 6 2 10 1 5 3 9
8 3 7 3 1 1 4 8 3
Х массивінің ең үлкен элементі 10
Ү массивінің ең кіші элементі 0
Бас диагональдан төмен орналасқан элементтердің саны 36
Х массивінің элементтер қосындысы 179
Ү массивінің элементтер қосындысы 354
Бас диагональдан жоғары орналасқан элементтер саны 63
Х массивінің элементтер қосындысы 217
Ү массивінің элементтер қосындысы 0
2. 3. Алгоритм
- Программаның басы
- Массивті кездейсоқ сандар генераторы көмегімен еңгіземіз
- Массивтің бас диагональдың астында және үстінде орналасқан элементтердің саның қосындысын және Х массивінің ең үлкен, ал Ү массивінің ең кіші мәндерін тауып баспаға шығарамыз
- Бағдарламаның соңы2. 4. Алгоритмнің графикалық кескіні (блок-схема)
2. 5. Программаның тексті (листинг)
10 REM
20 CLS
30 n = 9: m = 12
40 DIM x(n, m), y(n, m)
50 PRINT "X("; n; ", "; m; ") "
60 FOR i = 1 TO n
70 FOR j = 1 TO n
80 x(i, j) = INT(RND * 10) + 1
90 PRINT x(i, j) ;
100 NEXT j
110 PRINT
120 NEXT i
130 PRINT "y("; n; ", "; m; ") "
140 FOR i = 1 TO n
150 FOR j = 1 TO n
160 y(i, j) = INT(RND * 10) + 1
170 PRINT y(i, j) ;
180 NEXT j
190 PRINT
200 NEXT i
210 k1 = 0: k2 = 0
215 ky1 = 0: ky2 = 0
220 sx1 = 0: sx2 = 0
225 sy1 = 0: sy2 = 0
230 xmax = x(1, 1) :
235 ymin = y(1, 1)
240 FOR i = 1 TO n
250 FOR j = 1 TO m
260 IF j < i THEN
270 k1 = k1 + 1
... жалғасы- Іс жүргізу
- Автоматтандыру, Техника
- Алғашқы әскери дайындық
- Астрономия
- Ауыл шаруашылығы
- Банк ісі
- Бизнесті бағалау
- Биология
- Бухгалтерлік іс
- Валеология
- Ветеринария
- География
- Геология, Геофизика, Геодезия
- Дін
- Ет, сүт, шарап өнімдері
- Жалпы тарих
- Жер кадастрі, Жылжымайтын мүлік
- Журналистика
- Информатика
- Кеден ісі
- Маркетинг
- Математика, Геометрия
- Медицина
- Мемлекеттік басқару
- Менеджмент
- Мұнай, Газ
- Мұрағат ісі
- Мәдениеттану
- ОБЖ (Основы безопасности жизнедеятельности)
- Педагогика
- Полиграфия
- Психология
- Салық
- Саясаттану
- Сақтандыру
- Сертификаттау, стандарттау
- Социология, Демография
- Спорт
- Статистика
- Тілтану, Филология
- Тарихи тұлғалар
- Тау-кен ісі
- Транспорт
- Туризм
- Физика
- Философия
- Халықаралық қатынастар
- Химия
- Экология, Қоршаған ортаны қорғау
- Экономика
- Экономикалық география
- Электротехника
- Қазақстан тарихы
- Қаржы
- Құрылыс
- Құқық, Криминалистика
- Әдебиет
- Өнер, музыка
- Өнеркәсіп, Өндіріс
Қазақ тілінде жазылған рефераттар, курстық жұмыстар, дипломдық жұмыстар бойынша біздің қор #1 болып табылады.

Ақпарат
Қосымша
Email: info@stud.kz