Математикадан тест жинақтарындағы кейбір «стандартты емес» есептер


Математикадан тест жинақтарындағы кейбір «стандартты емес» есептер
Жоспар
Кіріспе орнына . . . 1
Есеп шығару үлгілері . . . 2
Қолданылған әдебиеттер тізімі . . . 11
Кіріспе орнына
Елімізде жыл сайын жалпы орта мектепті бітіруші түлектер Ұлттық бірыңғай тестілеуде математика пәнінен де емтихан тапсыратыны баршаға аян. Талапкерлер үшін ҰБТ-да математикадан қиындықтар туғызатын есептер де кездесіп отыратындығы белгілі. Ол есептерді «қиын есептер», «күрделілігі жоғары есептер», «стандартты емес есептер» деп атайды. Бұл санаттағы есептерді шығару үшін қарапайым, стандартты есептерді шығара білу, формулаларды білу, қарапайым есептерді шешу жолдары мен айла-тәсілдерін білумен қатар, тереңірек математикалық білім мен жоғары деңгейдегі логикалық ойлау қабілеті талап етіледі. Жұмыста аталған тақырыпқа қатысты бірнеше есеп (дәлірек айтқанда, 22 есеп) толық шешу жолдарымен келтіріледі.
Есеп шығару үлгілері
1.
теңдеуінің бір түбірі
,
,
- бүтін сандар.
мен
неге тең?
Шешуі.
санын теңдеуге
-тің орнына қоямыз. Қарапайым түрлендірулерден соң
теңдеуін аламыз.
мен
бүтін сандар болғандықтан,
- рационал (бүтін) сан, ал
- иррационал сан. Рационал сан мен иррационал санның қосындысы нөлге тең бола алмайтындықтан,
және
болуы керек. Сондықтан
,
.
Жауабы.
,
.
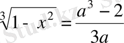
2.
теңдеуін шешіңіз.
Шешуі. Теңдеудің екі жағын да кубтаймыз да, ортаңғы екі қосылғыштың ортақ көбейткіштерін жақша сыртына шығарамыз:
,
.
екенін ескерсек, соңғы теңдеу келесі түрге келеді:
.
Бұдан
,
,
,
.
Жауабы.
.
3
.
,
.
теңдеулер жүйесін шешіңіз.
Шешуі.
2-ші теңдеудің екі жағын да квадраттап, 1-ші теңдеуді оған мүшелеп бөлсек:
.
2-ші теңдеуден
.
Сонда
.
Жауабы.
,
.
4.
теңдеуін шешіңіз.
Шешуі.
екенін байқаймыз. Бұдан
. Сонда берілген теңдеу
түріне келеді.
алмастыруын енгізсек:
;
,
.
Жауабы.
.
5. Сыныптағы оқушылардың әрқайсысы бірдей мөлшерде жинаған ақшалардың қосындысы 172 теңге 73 тиын болды. Сыныпта қанша оқушы болғаны?
А) 23. B) 21. C) 27. D) 24. E) 19.
Шешуі. 21, 27, 24 сандары 3-ке бөлінеді, ал 17273 (тиын) 3-ке бөлінбейді (оны тікелей тексеруге немесе 3-ке бөлінгіштік белгісін қолданып табуға болады), сондықтан 21, 27, 24 сандары есептің жауабы бола алмайды. Тікелей тексеру арқылы есептің жауабы 23 болатынын көреміз.
Жауабы. 23.
6.
-ның қандай мәндерінде
теңсіздігі орындалады?
Шешуі.
, яғни
. Бұдан
,
.
Жауабы.
,
.
7.
-ның қандай мәндерінде
функциясының кризистік нүктелері болмайтынын табыңыз.
Шешуі.
Берілген функцияның анықталу облысы:
. Туындысын табамыз:
. Оны нольге теңестіреміз (кризистік нүкте болуының қажетті шарты) :
. Яғни
,
. Сонымен
болғанда берілген функцияның кризистік нүктелері жоқ.
Жауабы.
.
8.
Егер
және
векторлары арасындағы бұрыш 30º, скаляр көбейтіндісі
болса, онда осы векторлар арқылы салынған үшбұрыштың ауданын табыңыз.
Шешуі. Скаляр көбейтіндінің анықтамасы бойынша
.
Үшбұрыштың ауданының формуласы бойынша
.
Жауабы.
.
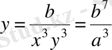
9.
Егер
,
,
болса, онда
табыңыз.
Шешуі.
,
векторлары
және
векторлары арқылы тұрғызылған параллелограмның диагональдары болады. Параллелограмның диагональдарының квадраттарының қосындысы оның барлық қабырғаларының квадраттарының қосындысына тең:
.
.
Жауабы. 18.
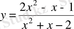
10.
Функцияның мәндерінің облысын табыңыз:
.
Шешуі.
Берілген функцияның анықталу облысы:
,
. Берілген функцияны түрлендірейік:
.
Дискриминанты
. Кез келген
үшін
және келген
үшін
.
1)
- анықталу облысы.
2)
.
Жауабы.
.
11.
теңдеуінің түбірлерінің қосындысын жазыңыз.
Шешуі.
Теңдеудің екі жағынан да ондық логарифм аламыз:
. Логарифмнің қасиеттерін ескерсек:
немесе
. Бұдан
,
, яғни
,
. Сонымен
.
Жауабы. 1000, 1
12.
Қосындыны есептеңіз:
.
Шешуі. Қосылғыштарды тұрған ретімен қос-қостан топтап, азайту таңбасын жақшалардың алдына шығарып, екі санның квадраттарының айырмаларының формуласын қолданамыз:
. Бұл бірінші мүшесі -3, айырмасы -4, соңғы мүшесі -199, мүшелерінің саны 50 болатын арифметикалық прогрессия, сондықтан
.
Жауабы.
.
13.
Есептеңіз:
.
Шешуі.
теңдігінен
. Соңғы тең-дікті қолдансақ:
.
Жауабы.
.
14 . Төмендегі сандардың ішінен ең үлкенін табыңыз:
А)
. В)
. С)
. D)
. E)
.
Шешуі.
А)
,
В)
![]()
![]()
,
С)
![]()
![]()
,
D)
![]()
![]()
,
E)
![]()
![]()
.
Бес қосындының бірінші қосылғыштары өзара тең, екінші қосылғыштарының алымдары бірдей, сондықтан қайсысының бөлімі кіші болса сол бөлшек үлкен болады. Сонымен, есептің жауабы:
.
Жауабы.
.
15 . Төмендегі сандардың ішінен ең үлкенін табыңыз:
А)
. В)
. С)
. D)
.
E)
.
Шешуі.
А)
,
В)
,
С)
,
D)
,
E)
.
Жауабы.
.
16
. Төмендегі сандардың ішінен ең үлкенін табыңыз. А)
.
В)
. С)
. D)
. E)
.
Шешуі.
А)
,
В)
,
С)
,
D)
,
E)
.
Жауабы.
.
17
.
пен
жүйесінің шешімі болса,
неге тең?
Шешуі.
(жүйенің екі теңдеуін де түрлендіреміз)
(жүйенің екі теңдеуін мүшелеп қосамыз және 1-ші теңдеуден 5 еселенген 2-ші теңдеуді мүшелеп азайтамыз)
,
.
Онда
.
Жауабы.
.
18
. Егер
болса,
теңдеуінің 0, 99 санына ең жақын орналасқанын табыңыз.
Шешуі.
(
,
) . 1-ші теңдеудің түбірлері
және
, 2-ші теңдеудің түбірлері
және
. Олардың ішінде 0, 99 санына ең жақын орналасқаны
.
Жауабы.
.
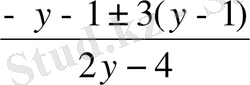
19
. Егер
болса,
интервалында
теңдеуінің неше түбірі болады?
Шешуі.
(
,
,
) . 1-ші теңдеудің түбірі
, 2-ші теңдеудің түбірі
, 3-ші теңдеудің түбірлері
және
. Олардың ішінде
интервалына тиістісі
ғана.
Жауабы. Бір.
20
. Егер
,
теңдеуінің әртүрлі екі түбірі болса,
неге тең?
Шешуі.
Әрине, теңдеудің түбірлерін өзімізге белгілі тәсілмен тауып алып, ізделінді шаманы есептеуге болады. Берілген теңдеуді
түрінде көшіріп жазып, Виет теоремасын қолдансақ есеп оңай шығады:
.
Жауабы.
.
21
. Егер
,
теңдеуінің әртүрлі екі түбірі болса,
неге тең?
Шешуі.
Жоғарыдағыдай, берілген теңдеуді
түрінде көшіріп жазып, Виет теоремасын қолданамыз:
.
Жауабы.
.
22
.
болса,
неге тең?
- Іс жүргізу
- Автоматтандыру, Техника
- Алғашқы әскери дайындық
- Астрономия
- Ауыл шаруашылығы
- Банк ісі
- Бизнесті бағалау
- Биология
- Бухгалтерлік іс
- Валеология
- Ветеринария
- География
- Геология, Геофизика, Геодезия
- Дін
- Ет, сүт, шарап өнімдері
- Жалпы тарих
- Жер кадастрі, Жылжымайтын мүлік
- Журналистика
- Информатика
- Кеден ісі
- Маркетинг
- Математика, Геометрия
- Медицина
- Мемлекеттік басқару
- Менеджмент
- Мұнай, Газ
- Мұрағат ісі
- Мәдениеттану
- ОБЖ (Основы безопасности жизнедеятельности)
- Педагогика
- Полиграфия
- Психология
- Салық
- Саясаттану
- Сақтандыру
- Сертификаттау, стандарттау
- Социология, Демография
- Спорт
- Статистика
- Тілтану, Филология
- Тарихи тұлғалар
- Тау-кен ісі
- Транспорт
- Туризм
- Физика
- Философия
- Халықаралық қатынастар
- Химия
- Экология, Қоршаған ортаны қорғау
- Экономика
- Экономикалық география
- Электротехника
- Қазақстан тарихы
- Қаржы
- Құрылыс
- Құқық, Криминалистика
- Әдебиет
- Өнер, музыка
- Өнеркәсіп, Өндіріс
Қазақ тілінде жазылған рефераттар, курстық жұмыстар, дипломдық жұмыстар бойынша біздің қор #1 болып табылады.

Ақпарат
Қосымша
Email: info@stud.kz