Қышқыл сүт өнімдеріне арналған пастеризациялы-суытқыш қондырғылар


Қазақстан Республикасының білім және ғылым министрлігі
Семей қаласының Шәкәрім атындағы мемлекеттік университеті
СӨЖ
Мамандығы: Технологиялық машиналар және жабдықтар 5В072400
Тақырыбы: Қышқыл сүт өнімдеріне арналған пастеризациялы-суытқыш қондырғылар.
Жетекшісі: Джилкишева А. Ғ.
Студент: Оразбаева А. Т.
Тобы: ТО-207
Семей 2015 ж.
Жоспар:
- Кіріспе
- Негізгі бөлім
1. Т1-ОУК құбырлы пастеризаторы
2. Құбырлы пастеризатордағы қыздыру процесiне кеткен
ыстық будың шығынын анықтау
3. Жалпы жылу беру коэффициентiн анықтау
- Қорытынды
- Қолданылған әдебиеттер тізімі
Т1-ОУК құбырлы пастеризаторы
Бұл аппарат сары май өндiрiсiнде кiлегейдi пастеризациялау үшiн арналған. Ол және де сүттi сепараторлау алдында қыздырғыш ретiнде қолданылады. Балқытылған сүттi, қатықты өндiргенде, сүттi жоғарғы температурада пастеризациялауда және сүт өнiмдерiн салқындатуда қолданылады.
Пастеризаторды салқындатқыш ретiнде қолданғанда, құбыр арасында суық тасымалдағыш берiледi.
Құбырлы қондырғы Т1-ОУК екi цилиндрден тұрады. Оның бiреуi жоғары, ал екiншiсi төменгi болып табылады. Олардың әр қайсысына диаметрi 27 мм болатын 24 құбыр енгiзiледi.
Жылу тасымалдағыш болып екi цилиндрге де параллель берiлетiн бу болады. Сұйық өнiм арын арқылы төменгi цилиндрдiң құбырына, содан кейiн жоғарғы цилиндрдiң құбырына берiледi. Жоғарғы цилиндрден шығатын сүттiң температурасы 85-95 0 С.
Құбырдың арасындағы цилиндрдегi конденсат автоматты конденсат өткiзгiш арқылы өткiзiледi.
Негiзгi есептеулерi
Кез келген жылудың есептеуiнде негiзгi мақсат жылу берiлiс бетiнiң ауданын табу. Осы мақсатқа жету үшiн барлық мүмкiндiк есептеулердi жүргiзу керек (6-кесте) .
Жылу есептеулерiн жүргiзгенде, берiлгендер ретiнде: жылу тасымалдағыш түрiнде - бiздiң жағдайда бу, оның температурасы
, оның қысымы
, қыздырғыштың температурасы төменгi цилиндрге келiп түскен сүт немесе сүттiң бастапқы температурасы
, қондырғыдан шығардағы сүттiң қыздырғыш температурасы, немесе жоғарғы цилиндрден шығатын сүттiң соңғы температурасы
, қондырғының өнiмдiлiгi
.
Құбырдың қабырғасының температурасы
Бұл ең маңызды өлшем. Бұл температураны аналитикалық және эксперименталдiк жолмен анықтау өте қиынға соғады. Есептеу практикасында iздестiру әдiсiнде бiрнешеуi таныс, соның iшiнде негiзгi әдiс профессор Кук Г. А. және профессор Стабниковтың әдiсi. Көбiнесе қарапайым ретiнде бiрiншi әдiс болып табылады.
мұндағы:
- қабырғаға дейiнгi жылу беру коэффициенттi (
), және қабырғадан сүтке дейiнгi (
), вт/м
2
град;
,
- пастеризатордан шығардағы және кiрердегi сүттiң температурасы, град.
Қабықша конденсатының температурасы
Құбыр арасына түскен қыздырылған бу құбырдың сыртқы бетiне конденсацияланады. Бу бөлгiшке жылу беру арқылы, конденсат құбырдың сыртқы қабырғасына жұқа қабықша түрiнде жиналады және ауырлық күштiң әсерiнен төмен түседi.
Қызған будың осындай қабықша конденсациясы, ламинарлы режимде құбырдың бетiмен аққанда жылу беру процесiнiң өлшемдерiн анықтаудың бiрнеше есептеулерi көрсетiлген.
Практикада көп тараған есептеудiң 2 әдiсi бар:
бiрiншiсiнде - қабықша конденсатының температурасын анықтау
;
екiншi - будың конденсация температурасы
.
Есептеудi әрi қарай бiрiншi әдiс арқылы жүргiземiз, сондықтан қабықша конденсат температурасын анықтау керек. Ол қабырғамен қызған бу температураларының орташа арифметикалық қосындысымен анықталады:
-
құбырдың қабырғасына бу арқылы жылу беру
коэффициентiн анықтау
Құбырдың қабырғасынан қабықша конденсатты ламинарлы түсуiнде Нуссельт критериiнiң басқа да критерийларымен байланысқанда, классиалық теңдеуi бар. Бұдан
жылу беру коэффициентiнiң орташа теориялық мөлшерiн анықтайды.
мұндағы:
С және n - конденсаттар;
- Нуссельт критериi;
- ағындағы молекулярлық үйкелiсiмен ауырлық күштiң арасындағы байланысты түсiндiретiн Галилея критериi;
- Прандтля критериi;
- фазаға айналу критериi.
Констант
пен барлық өлшемдер берiлген критерийлық теңдеудi мына түрде берген:
мұндағы:
- құбырдың сыртқы диаметрi, м;
- еркiн түсу үдеуi, м/с
2
;
- жылу өткiзгiштiк, тығыздық, кинетикалық тұтқырлық және
температурасындағы қабықша конденсатының жылу өткiзгiштiгi;
- бу бөлетiн жылу, дж/кг;
- қабырға мен ыстық будың температуралық айырмашылығы, град.
Сүттiң жылу физикалық сипаттамасын анықтау және оның
құбырдағы қозғалысының орташа жылдамдығын анықтау
Бұл өлшемдер құбыр қабырғасынан, сол құбырдың iшiндегi сүтке жылу беру коэффициентiн есептеу керек.
Тығыздық (
), жылу өткiзгiштiк (
), температура өткiзгiштiк (
) және сүттiң кинематикалық тұтқырлығы (
) бұл өлшемдер кесте бойынша алынады, немесе формула бойынша есептелiнедi. Негiзiнен, бұл өлшемдер сүттiң температурасына байланысты. Сүттiң алғашқы және соңғы температурасын орташа арифметикалық қосындысымен анықтайды:
Осы температурадағы сүттiң жылу өткiзгiштiгi:
Сүттiң температура өткiзгiштiк коэффициентi:
Онда, жылдамдықты келесi формуламен анықтауға болады:
мұндағы:
- пастеризатордың өнiмдiлiгi, кг/с;
- пастеризатор құбырының iшкi диаметрi, м;
- сүттiң тығыздығы, кг/м
3
.
-
құбырдағы сүттен құбырдың қабырғасына
жылу беру коэффициентiн анықтау
Құбырдың iшiнде кiлегей, сүт, судың турбуленттi режимiнiң жылу алмастырғышын есептеу үшiн практикада академик М. А. Михеевтiң формуласы қолданылады:
Жалпы жылу беру коэффициентiн анықтау
Бұл коэффициент жылу берiлiс процесiнде маңызды роль атқарады. Оны пастеризацияға жылу берiлiс бетiнiң ортақ ауданының өлшемдерiн анықтауға қолданылады.
мұндағы:
- қабырғаның қалыңдығы, м;
- болат үшiн, вт/м град.
Q- қыздыру процесiне кеткен жылу шығыны
және F- жылу берiлiс ауданын анықтау
Бұл жылуды есептеудегi ең негiзгi мақсаттың бiрi болып саналады. Жылудың шығынын оңай анықтауға болады, жылу балансының формуласы бойынша (2. 1. -15), немесе жылу берiлiсiнiң ортақ формуласы бойынша (2. 1. -14) :
мұндағы:
- пастеризатордың өнiмдiлiгi, кг/с;
- сүттiң жылу сиымдылығы, дж/кг град;
- сүттiң алғашқы және соңғы температурасының айырмашылығы, град;
- жылу берiлiсiнiң жалпы коэффициентi, вт/м
2
град;
- жылу берiлiс ауданы, м
2
.
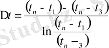
Температураның орташа логарифмдiк айырмашылығын келесi формуламен анықтаймыз:
Бiрақта, жылудың шығынын оңайырақ табу жолы (2. 1. -14) формула арқылы болады. (2. 1. -14) пен (2. 1. -15) формуланы бiрiктiре отырып, жылу берiлiс ауданын табамыз:
Сүттiң жылу сиымдылығын сүттiң орташа температурасы бойынша 10-кестеден алынады.
Құбырлы пастеризатордағы қыздыру процесiне кеткен
ыстық будың шығынын анықтау
Будың шығынын жылу балансының формуласымен (2. 1. -14) анықтауға болады:
бiрақта, бұл уақытта
(2. 1. -18)
мұндағы:
D- ыстық будың шығыны, кг/с;
- ыстық будың энтальпиясы, дж/кг;
- қабықша конденсатының энтальпиясы, дж/кг;
- аппараттың жылу ПӘК-i (0, 85-0, 9) .
Пластиналы жылу алмастырғыш аппараты қыздыру үшiн, салқындату үшiн, пастерлеуде, сүт және сүт өнiмдерiн стерилдегенде принципиалды түрде бiр жалпы конструктивтi негiзден құралады. Өндiрiсте жылу алмастырғыш иректелген, кедiр-бұдырланған пластиналары қолданылады. Кедiр-бұдырланған пластина - жасанды турбуленттi ағын ортасы үшiн, пластиналы жылу алмасу каналының қозғалуына арналған. Турбуленттiк кезде жылу беру коэффициентi жоғарылайды да жылу өткiзгiштiк өте пайдалы болып саналады, жылу алмасу алаңының кiшiрейiуiне қарай, жылу алмастырғыш өте жинақы болады.
Пластиналы жылу алмастырғыш аппаратты өзi жеке дара қолданбайды. Сүт және сүт тағамдарын жалпы жылу өңдеу үшiн, олар пластиналы пастерлейтiн салқындатқыш қондырғының құрамына енедi. Бұл қондырғылар негiзiнде жалпы бiр сұлбада бiрiктiрiледi, олардың айырмашылықтары тек қана қасындағы конструкциялық ерекшелiктерiнде болады.
Мысалы, қондырғылар ОП1-У1, ОП1-У2, А1ОП4, А1-ОЛО/2 кiлегейдi салқындатуға және пастерлеуге арналған. Олардың құрамына:
- теңестiргiш бак, жылу алмастырғышты кiлегеймен бiр қалыпты қамтамасыз етуге арналған;
- кiлегейдi өткiзу үшiн рационалды шестерналы сорғыш;
- пластиналы жылу алмастырғыш аппаратты 4 бөлiмнен тұрады (регенерация, рекуперация, пастеризация, сулы және тұзды салқындатқыш) ;
- автоматикалық клапан, толық пастерленбеген кiлегейдi қайтарып қайтадан пастерлеуге жiберетiн клапан;
- басқару пульты, автоматикалық бақылау құралдарын қамтиды және барлық техникалық процестердi қалпына келтiредi;
- ыстық су дайындайтын станция: оның құрамына - сорғыш, ол жылу алмасудың пастеризация бөлiмiндегi ыстық судың циркуляциясын қалыпты жұмыс iстеуiне арналған;
- бойлер, ыстық судың артығын жою үшiн арналған және әр жолдағы бөлек температураларды теңестiру үшiн;
- инжекционды араластырғыш, аппараттың пастерлеу бөлiмшесiнен ағатын буды ыстық сумен араластыруға арналған.
А1-ОЛО/2 қондырғысының құрамына, кiлегейдi вакуумдағаннан кейiн бөтен иiстi жою үшiн, дезодорационды қондырғысы енгiзiледi.
ОП1-У1 қондырғысындағы шикiзаттың бастапқы температурасы 5 0 С болатын, пастерленбеген кiлегей сорғышпен немесе өз ағынымен теңестiргiш бакқа берiледi, одан ИРМ-2 сорғышы арқылы пластиналы жылу алмасу регенерация бөлiмшiсiне өтiп 56 0 С-қа дейiн қыздырылады. Бұл бөлiмшеде жылу тасымалдағыш қызмет атқаратын, қыздырылған пастерленген кiлегей, олардың ағу бағыты қарама-қарсы болады.
... жалғасы- Іс жүргізу
- Автоматтандыру, Техника
- Алғашқы әскери дайындық
- Астрономия
- Ауыл шаруашылығы
- Банк ісі
- Бизнесті бағалау
- Биология
- Бухгалтерлік іс
- Валеология
- Ветеринария
- География
- Геология, Геофизика, Геодезия
- Дін
- Ет, сүт, шарап өнімдері
- Жалпы тарих
- Жер кадастрі, Жылжымайтын мүлік
- Журналистика
- Информатика
- Кеден ісі
- Маркетинг
- Математика, Геометрия
- Медицина
- Мемлекеттік басқару
- Менеджмент
- Мұнай, Газ
- Мұрағат ісі
- Мәдениеттану
- ОБЖ (Основы безопасности жизнедеятельности)
- Педагогика
- Полиграфия
- Психология
- Салық
- Саясаттану
- Сақтандыру
- Сертификаттау, стандарттау
- Социология, Демография
- Спорт
- Статистика
- Тілтану, Филология
- Тарихи тұлғалар
- Тау-кен ісі
- Транспорт
- Туризм
- Физика
- Философия
- Халықаралық қатынастар
- Химия
- Экология, Қоршаған ортаны қорғау
- Экономика
- Экономикалық география
- Электротехника
- Қазақстан тарихы
- Қаржы
- Құрылыс
- Құқық, Криминалистика
- Әдебиет
- Өнер, музыка
- Өнеркәсіп, Өндіріс
Қазақ тілінде жазылған рефераттар, курстық жұмыстар, дипломдық жұмыстар бойынша біздің қор #1 болып табылады.

Ақпарат
Қосымша
Email: info@stud.kz