Санитарлы - қорғаныс аймақты анықтап және зиянды қоспалардың атмосферада сейілуін есептеу туралы ақпарат


Жұмыс түрі: Реферат
Тегін: Антиплагиат
Көлемі: 16 бет
Таңдаулыға:
ҚАЗАҚСТАН РЕСПУБЛИКАСЫНЫҢ БІЛІМ ЖӘНЕ ҒЫЛЫМ МИНИСТРЛІГІ
КОММЕРЦИЯЛЫҚ ЕМЕС АКЦИОНЕРЛІК ҚОҒАМ
АЛМАТЫ ЭНЕРГЕТИКА ЖӘНЕ БАЙЛАНЫС УНИВЕРСИТЕТІ
Радиотехника және байланыс факультеті
Экологиялық тұрақтылық және өмір тіршілік қауіпсіздігі
№ 1 есептік - сызба жұмысы
Тақырыбы: Санитарлы - қорғаныс аймақты анықтап және зиянды қоспалардың атмосферада сейілуін есептеу
Орындаған: Әли А. Қ
Топ: СИБ-16-1
Нұсқа:3
Тексерген: Торғаев Ә. Ә
Алматы, 2016
Мазмұны
- Кіріспе. . …. . 3-бет
- Тапсырмалар . . . 4-бет
- Жұмыстың орындалуы. 5-бет
- Берілгені5-бет
- Атмосферадағы максималды қоспа концентрациясын және заттардың суммация эффектісімен анықтау6-бет
- Максималды концентрацияның таралу аралығын анықтау. 8-бет
- Әр түрлі аралықтағы жердік концентрацияны анықтау және L0. . . 9-бет
- Станцияның санитарлы қорғаныс зонасын анықтау . . . 11-бет
- «Роза желдері» және санитарлы-қорғаныс зонасын тұрғызу керек…. . 12-бет
- Қорытынды. . 15-бет
- Қолданылған әдебиеттер16-бет
Кіріспе
Қазақстанның ірі қалалары мен аймақтары үшін атмосферада химиялық зиянды қоспалардың ішінен ең көп тарағаны - күкірт қос тотығы. Зерттеулердің көрсетулері қалалардағы атмосфераның ластануы өкпе ауруының таралуымен байланыстылығын айтады.
Ауадағы ластаушы заттардың концентрациясын жақсартуына қоршаған ортаның жалпы жағдайын да қарастыру қиындық туғызады. Ауаның температурасы да маңызды рөл атқарады. Ыстық климатты аймақтарда ауадағы химиялық қоспалар адамға үлкен зиян келтіреді.
Алматы, Қарағанды, Өскемен және т. б. қатты ластанған Қазақстанның қалаларында ауа ластануының сипаты мен сатысына үлкен көңіл бөлуі керек. Қатты ластанған аймақтарда үнемі құрамында көміртек оксиді, күкірттісутек, шаң көп мөлшерде болатыны анықталған. Ол химиялық қоспалар белгілі мөлшерінен асып түссе адам денсаулығына айтарлықтай зиян тигізеді.
Тапсырмалар.
- Оқытушы берген тапсырма бойынша нұсқаның нөмерін алу.
- Атмосферадағы максималды қоспа концентрациясын және заттардың суммация эффектісімен анықтау.
- Максималды концентрацияның таралу аралығын анықтау.
- Әр түрлі аралықтағы жердік концентрацияны анықтап және L0-ді табу керек.
- Станцияның санитарлы қорғаныс зонасын анықтау.
- «Роза желдері» және санитарлы-қорғаныс зонасын тұрғызу керек.
- Жұмысқа қорытынды және талдау жасау керек.
Жұмыстың орындалуы.
- Берілгені
1-кесте. Жел бағытының орташа қайталанулық Р мәні, %
Солт-
шығыс
Оңтүстік-
Батыс
- Атмосферадағы максималды қоспа концентрациясын және заттардың суммация эффектісімен анықтау.
Зиянды заттардың жердегі концентрациясының максималды мәні мына формуламен анықталады:
Мұндағы, А - стратификациялық температураның коэфициенті, Қазақстан үшін А=200;
М- уақыт бірлігінде шығарылатын зиянды заттардың массасы, г/с;
Ғ - заттарға сіңудің жылдамдығын анықтайтын коэфициент.
Ғ=1 газ тәріздес заттарға тазартылған шығарылымдардың орташа эксплуатациялық коэфициенті 90% -2, 75-90% -2, 5, 75% және тазарту болмағанда 3-ке тең. Сонда: Ғ=2.
η- аймақтық рельеф коэфициенті, η=1 - түзу жазықтық үшін.
Н- көздің биіктігі, м.
V1 - газды ауа қоспаның шығыны, м³/с. Сондa
ΔΤ=T г −Τ в .
f мәнін келесі формула арқылы анықтаймыз:
;
Қыздырылған көздерге арналған газды ауа қоспасының жылдамдығы:
м 3 /с;
;
м/с;
![]()
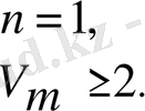
m - коэфициенті f тәуелділік формуласымен анықталады (m - трубадан шыққан газды ауа қоспасының ескеру коэфициенті. ) . f <100 болғандықтан
.
f - жылу көзінің температурасын анықтайды, f<100 болса, бұл көз қыздырылған көз деп саналады.
f<100 болса, n коэфициенті Vm тәуелділігі арқылы формуласымен анықталады.
Сөйтіп осы есептеулер арқылы келесі мәндерді аламыз:
Күл үшін
мг/м
3
Күкірт қос тотығы үшін
Азот тотығы үшін
- Максималды концентрацияның таралу аралығын анықтау.
Көздерден шығарылған заттардың аралығы Xm жердегі концентрациясы С жағымсыз жағдай кезеңінде метрологиялық шарттағы мәні Сm, формуламен анықталады:
Мұнда өлшемсіз коэфициент d, егер f<100 және
болғанда, келесі формула анықталады:
![]()
Газдар және күл үшін:
(м) ;
- Әр түрлі аралықтағы жердік концентрацияны анықтау және L0
Флюгер деңгейінде қауіпті жылдамдық мәні Um (м/с) (жер деңгейінен 10м биіктікте) болғанда Cm зиянды заттардың жердегі концентрациясына жеткенде және f<100 болса:
м/с.
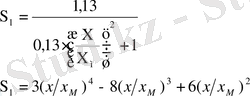
Желдің қауіпті жылдамдығында Um зиянды қоспаларының жердегі концентрациясы C(мг/м³), атмосферада факел осі бойынша шығарылым көздерінен әр түрлі аралықтағы қоспасы мына формулалар арқылы анықтайды:
Мұндағы Si-өлшемсіз коэфициент. Ол Х/Xm қатынасы және F коэфициенті бойынша анықталады.
1< Х/Х м ≤8 болғанда;
1-кесте. Күкірт үшін
2-кесте. Азот үшін
3-кесте. Күл үшін
4-кесте. Берілген есептеулер
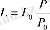
Кәсіпорындағы санитарлы қорғаныс зона (СҚЗ) шекарасын мына формуламен анықталады:
Мұндағы L(м) - СҚЗ есептік өлшемі.
L0(м) - белгілі жердегі жергілікті аймақты есептейтін өлшем, мұнда заттардың концентрациясы (басқа көздердің фонды концентрациясының есептегенде) ШРК-дан асады.
P(%) - бұл қарастырылған румбтағы орташа жылдағы жел бағытының қайталануы;
P0(%) - Роза желдерінің шеңберіндегі бір румбтағы жел бағытының қайталануы, яғни
P 0 =100/8=12, 5%.
- Станцияның санитарлы қорғаныс зонасын анықтау.
Күл үшін:
(м) ;
(м) ;
(м) ;
(м) ;
(м) ;
(м) ;
(м) ;
(м) .
Азот үшін:
(м) ;
(м) ;
(м) ;
(м) ;
(м) ;
(м) ;
(м) ;
(м) .
Күкірт үшін:
(м) ;
(м) ;
(м) ;
(м) ;
(м) ;
(м) ;
(м) ;
(м) .
6) «Роза желдері» және санитарлы-қорғаныс зонасын тұрғызу керек.
1-сурет. Күл үшін
2-сурет. Азот үшін
... жалғасы- Іс жүргізу
- Автоматтандыру, Техника
- Алғашқы әскери дайындық
- Астрономия
- Ауыл шаруашылығы
- Банк ісі
- Бизнесті бағалау
- Биология
- Бухгалтерлік іс
- Валеология
- Ветеринария
- География
- Геология, Геофизика, Геодезия
- Дін
- Ет, сүт, шарап өнімдері
- Жалпы тарих
- Жер кадастрі, Жылжымайтын мүлік
- Журналистика
- Информатика
- Кеден ісі
- Маркетинг
- Математика, Геометрия
- Медицина
- Мемлекеттік басқару
- Менеджмент
- Мұнай, Газ
- Мұрағат ісі
- Мәдениеттану
- ОБЖ (Основы безопасности жизнедеятельности)
- Педагогика
- Полиграфия
- Психология
- Салық
- Саясаттану
- Сақтандыру
- Сертификаттау, стандарттау
- Социология, Демография
- Спорт
- Статистика
- Тілтану, Филология
- Тарихи тұлғалар
- Тау-кен ісі
- Транспорт
- Туризм
- Физика
- Философия
- Халықаралық қатынастар
- Химия
- Экология, Қоршаған ортаны қорғау
- Экономика
- Экономикалық география
- Электротехника
- Қазақстан тарихы
- Қаржы
- Құрылыс
- Құқық, Криминалистика
- Әдебиет
- Өнер, музыка
- Өнеркәсіп, Өндіріс
Қазақ тілінде жазылған рефераттар, курстық жұмыстар, дипломдық жұмыстар бойынша біздің қор #1 болып табылады.

Ақпарат
Қосымша
Email: info@stud.kz