Физика пәнінен дәріс сабақтарының мән жазбалары


Физика пәнінен дәріс сабақтарының мән жазбалары.
Дәріс№1 Кіріспе
Мақсаты: Электр және магнетизмнің негізін түсіндіру.
Жоспар:
- Электр және магнетизм табиғаты туралы көзқарастардың қалыптасуына қысқаша шолу
Кілттік сөздер: электр, магнетизм, Холл эффектісі, гестерезис.
1. Электр және магнетизм табиғаты туралы көзқарастардың қалыптасуына қысқаша шолу
Электр және магнетизм түралы түсініктердің бастамасы Ежелгі Грециядан таралады. Үйкелген янтарьдың және баска заттардың жеңіл заттарды өзіне тартү құбылысы адамдарға өте ертеден белгілі болатын. Магнит те адамдарға өте ерте заманнан белгілi болатын. Магниттің навигация мақсатында пайдаланылүы оған деген мүқтаждықты арттырды. Магнитті тәжірибе жүзінде алғаш зерттеген француз ғалымы П. Перегринус (1296 жылы) болды. Ол магниттң полюстері болатынын, аттас полюстерінің 6ip-6ipінeн тебілетінін, әр аттас полюстерінің 6ip-6ipінe тартылатынын, ал полюстерді 6ip-6ipiнeн ажыратып бөліп тастауға болмайтынын анықтады.
XV-XVI ғасырларда теңізде жүзү iciнiң қауырт дамуына байланысты компастың қасиеті жан-жақты зерттелді. XVI ғасырдың соңына қарай магнетизм жайлы тәжірибелі едәүір материалдар жинақталды. Электр жайындағы түсініктер бүл кезде өте жүтаң еді.
Электр және магнит құбылыстарын алғаш рет толық, сипаттаған ағылшын ғалымы У. Гильберт болды. Ол өзінің 1600 жылы жарық, көрген «Магнит туралы» кітабында янтарьдан басқа да көптеген заттардың үйкелгенде тартү құбылысына ие болатындығын айтқан. Әлектрлік тебіліс құбылысы оған беймәлім болды. Ол өзінің тәжірибелері мен байқаулары нәтижесінде Жер шары ғаламат үлкен магнит деген ғылыми болжам ұсынды.
Гильберттен кейін де көптеген ғалымдар жер магнитизімін зерттеді. Электр құбылысын зерттеү жұмысы ғасырға жуық, уақыт ұмыт қалды. Электр күштерi түciнiкciз және олардың ic жүзінде пайдаланылуы мүмкіндігі беймәлім болды. Сол себепті мұны жүйелі түрде зерттеүге ынта да болмады.
XVIII ғасырдың басында ашылған жаңалықтар электр құбылыстары жайындағы сол кезге дейін қалыптасқан көзқарасты өзгертуге ықпал жасады. Ceбeбi XVII ғасырдың соңында электр машинасы жасалған болатын. Осы жаңалықтың, нәтижесінде тәжірибе жүргізу ауқымы кеңейді. 1729 жылы ағылшын ғалымы С. Грей заттардың өткізгішке және диэлектрикке (изоляторға) бөлінетіндігін анықтады. Көп ұзамай-ақ 1733 жылы француз ғалымы Ш. Дюфе оң және тepic электр зарядтарының болатынын және аттас электр зарядтардың бip-бipімeн тебілетіндігін, ал әр аттас электр зарядтардың бip-бipінe тартылатындығын ашты.
XVIII ғасырдың орта шенінде, электр құбылыстарына деген қызығушылық арта түсті. Күшті электр разрядтары электр ұшқыны мен найзағайдың арасындағы ұқсастықтың бар екендігіне түрткі болды. Б. Франклиннің, М. В. Ломоносовтың, Г. В. Рихманның 1752 жылдары жасаған тәжірибелері найзағайдың электрлік табиғаты болатынын дәлелдеді. Жай кайтарғыштың жасалуы электр жайындағы ілімінің ic жүзінде алғаш рет қолданылуы еді. Сол кездің өзінде, электрлену, емдік мақсаттарға пайдаланыла бастады. Осындай жайттар электрге деген ынтаны жандандыра, онымен айналысатын зерттеушілер санын көбейте түcтi. Электрленудің маңызы магнитизмнен кем еместігі белгілі болды. 1759 жылы ағылшынның жаратылыс танушы ғалымы Р. Симмер электрдің табиғаты жайындағы өз болжамын үсынды. Ол Ш. Дюфенің идеясын дамыта отырып әдеттегі жағдайда кез келген затта тең мөлшерде eкi түрлі электр заряды болады, олар бip-бipiнің әсерін бейтараптандырады, ал электрлеу нәтижесінде бip денедегі электр екінші денедегіден арта түседі деген корытынды жасады. Симмер болжамы злектрлік кұбылыстарды жақсы түсіндірді. 1759 жылы орыс ғалымы Ф. Эпинус ашкан электростатикалық индукция құбылысы бұл болжамды растай түcтi.
XVIII ғасырдың орта щеніне дейін электр жайында жүргізіліп келген тәжірибелер таза сапалық тұрғыда болды. 1745 жылы Г. В. Рихманның жасаған электрометрімен жүргізілген тәжірибелер сан сипатындағы тәжірибелердің алғашкы қадамы болды. 1784 жылы француз ғалымы Ш. Кулон ойлап тапқан дәлдігі жоғары иірілмелі таразының жасалуы тәжірибелік техниканың дамуындағы елеулі кезең болды. Бұл құрал магниттер- мен электр зарядтарының өзара әсерлесу заңдылықтарын ашуға жағдай жасады.
Итальян ғалымдары Л. Гальванидің 1789 жылы, ал А. Вольтаның 1792 жылы жасаған тәжірибелері негізінде гальвани элементі табылды және 1800 жылы электр тоғы анықталды. Электр батареяларымен жүргізілген тәжірибелік жұмыстар бірқатар жаңалық ашуға түрткі болды.
Ағылшын зepттeyшiлepi А. Карлейль мен В. Никольсон гальвани тоғы судан өткен кезде, оны сутегі мен оттегіне ыдырататынын анықтады. Физика мен химияның арасында бip-бipiн байытатын байланыстар орнатылды. Электрдің практикалық маңызы арта түсті. 1802 жылы орыс ғалымы В. В. Петров электр доғасын ашты. Бұл жаңалық тоқтың жылулық әcepiн пайдаланудың жаңа саласына бастама болды.
Кезінде У. Гильберт магниттік күштерді электрлік күштерге қарама-қарсы қойған болатын. Бұл көзқарас ғылымда ұзак уақыт үстемдік eттi. 1820 жылы дат ғалымы X. Эрстед электр тоғының магнит стрелкаға әсерін ашты. Бұл жаңалык, электр теориясындағы жаңа тарау - тоқтың магниттік қасиеті жайындағы ілімнің бастамасы болды. Электр тоғын зерттеу жұмыстарының нәтижесінде: егер өткізгіш спираль болып оралатын болса, онда тоқтың магниттік қасиетінің күшейетіні анықталды. Бұл жаңалық тоқ шамасын өлшейтін электромагниттік өлшеуіштер жасау мүмкіншілігін тудырды.
1820 жылы француз ғалымдары Ж. Био және Ф. Савар түзу өткізгіштің электр тоғының магнитке әсерін ашты. Ал бұлардың отандасы П. Лаплас олардың зерттеуін кез келген пішінді өткізгiш үшін жалпылады. Осылайша тоқтың магнит өpiciнің кернеулігін анықтайтын Био - Савар - Лаплас заңы ашылды. Сол кезде А. Ампер маңызды жаңалык ашты. Ол екі токтың өзара әсерлесу күшін анықтайтын заңды ашты. Тоғы бар орамның жазық магнитке ұқсас болатынын анықтады. Осы тәжірибе негізінде А. Ампер магнетизмнің электрлік табиғаты жайында болжам жасады. Сыры тек XX ғасырда ғана анықталған ғылыми болжам - молекулалық токтар жайындағы болжам осылайша дүниеге келді
Электр жөніндегі зерттеулер үшін 1827 жылы неміс ғалымы Г. Ом ашқан әpi оның eciмiмeн аталған заңның манызы зор болды. Сол кезеңде ағылшын ғалымы М. Фарадей екі жаңалық, яғни 1831 жылы электромагниттік индукция құбылысын, ал 1834 жылы электролиз заңдарын ашты. Бұл жаңалықтар электрдің көптеген техникалық қолданыстарының теориялық нeгiзі болды. Орыс ғалымы Ә. X. Ленцтің электромагниттік индукция жөніндегі зерттеулері (Ленц ережесі) мен токтың жылулық әсеріне арналған заңды (Джоуль - Ленц заңы) ашуы электрленуді ic жүзінде пайдалануға жағдай туғызды.
Ертеден-ақ электрлік және магниттік күштердің әсерлесуші денелер арасындағы кeңicтiктi алып жаткан орта арқылы әсер ететіндігі тәжірибе жүзiндe белгілі болатын. Ф. Эпинус 1759 жылы магнит өpicінің күш сызықтары туралы ұғым калыптастырса, 1830 жылдары М. Фарадей өpic ұғымын енгізді, 1845 жылы «магнит өpici» терминін ұсынды.
М. Фарадейдің ойынша магниттің немесе электр зарядының айналасындағы заттарға тікелей магнит полюсі не электр заряды емес, бұлармен байланысқан күш сызықтары әсер ететін болды. Бұл жайт М. Фарадейдің жақын аралықтан әсер ету теориясы еді. Осы теория бойынша денелер арасындағы әсер айнала қоршаған орта арқылы белгілі 6ip жылдамдықпен таралатын болды.
XIX ғасырдың 60 жылдары ағылшын ғалымы Д. Максвелл Фарадейдің электр және магнит өpicтepi жайындағы ілімің жалпылап электромагнитік өpicің ортақ теориясын жасады. Д. Максвеллдің теориясы бойынша өзгермелі магнит және электр өpiстepi шекті бip жылдамдықпен таралады. 1887 жылы нeмic ғалымы Г. Герц тәжірибе жүзінде электромагнитік толқын шығарып, Д. Максвеллдің теориясының дұрыстырын дәлелдеді. Осы теорияны тәжірибе жүзінде негіздеуде орыс ғалымы П. Н. Лебедевтің 1901 жылы icкe асырған жарық сәулесінің қысымын анықтау жөніндегі тәжірибесінің маңызы зор болды. Орыс ғалымы А. С. Поповтың 1895 жылы ойлап тапқан радиосы электромагниттік толқындарды пайдалануға негізделді. Электромагнитік өрici зерттеу жөніндегі теориялық және тәжірибелік жұмыстар осы заманғы радио мен телевизияның радиолокацияның және басқа радиотехника салаларының шығыуына негіз болды.
Д. Максвеллдің теориясы электрді заттың ішкі құрылымымен байланыстыра алмады. Сондықтан бұл теория электролиз құбылысын, өpiстің заттармен әсерін және басқа құбылыстарды түсіндіруге жарамады. М. Фарадей ашқан электролиз құбылысы белгілі болғаннан кейін 1881 жылы неміс ғалымы Г. Гельмгольң электр зарядының ең кіші мөлшерінің болуы жайында болжам ұсынды. Осы кезеңнен бастап электрондық теория дамыды. Бұл теория термоэлектронды эмиссияны, вакуумдары электрон ағынын (катодтық сәуленің), фотоэффекттіні, радиоактивтік құбылыстарды түсіндіріп берді. Бұл құбылыстар заттар құрылысынын электрондық теориясының тәжірибелік негіздері болды. Нидерланды ғалымы X. Лоренң 1909 жылы электромагнитік өpic теориясын заттардың электрлік қасиеттерімен байланыстырды. Қaзipгi кезде оң және тepic электр зарядтарының жеке-жеке қарапайым электр бөлшектернен құралғаны анықталған. Қарапайым тepic зарядты тасушы бөлшек электрон, ал карапайым оң электр зарядты тасушы бөлшек позитрон деп аталған. Осы бөлшектердің және заряды жоқ бейтарап бөлшектердің қасиеттepi теориялық және тәжірибелік зерттеулердің объектілері болып табылады. XX ғасырдың алғашқы ширегінде электрондық түciніктep негізінде диэлектриктер мен магнетиктер теориясы дамытылды.
Бұдан кейінгі кезеңде жартылай өткізгіштер теориясы өрістерді, қорытып айтқанда, электрлік құбылыстарды зерттеу нәтижесінде заттардың осы заманғы атомдық құрылымы жайындағы теория қалыптасты. Физиканың осы саладағы табыстары ядролық энергияны босату тәсілдерін ашуға, оптикалық кванттық генераторларды (немесе лазерлерді) жасауға мүмкіндік берді. Электр энергиясының адамзат қоғамындағы маңызы баршаға аян. Орыс ғалымдарының электрді техникалық мақсатта пайдалану жөніндегі еңбектері зор болды. Мысалы, гальванопластика, электрмен дәнекерлеу, электр шамы, электр двигателдер, радио және басқаларды орыс ғалымдары мен инженерлері ойлап тапты әpi оларды ic жүзінде пайдаланды. Ядролық энергетика саласы мен кванттық генераторлар жөніндегі ғалымдардың табыстары дүние жүзіне белгілі болып отыр.
Бақылау сұрақтары:
1. Электр және магнетизм түралы түсініктердің бастамасы қайдан басталды?
2. XV-XVI ғасырларда қандай жаңалықтар ашылды?
3. XIХ ғасырларда қандай зерттеулер жүргізілді?
Әдебиеттер:
- Волькенштейн А. С. Сборник задач по общему курсу физики, Санкт-Петербург, «Книжный мит», 2005.
- Калашников С. Г. Электричество, М. : Наука, 1970.
- Парселл Э. Берклеевский курс физики, т. 2-Электричество и магнетизм. М. : Наука, 1983-1986.
- Детлаф А. А. және басқалар. Физика куросы., т. 1. М. : ВШ. 2000.
- Зисман Р. А. және басқалар. Физика курсы, т. 1. М. : наука, 1984.
- Путилов К. А. Физика курсы, т. 1. М: Просвещение, 1992.
Дәріс № 2
Тақырыбы: ЭлектростатикаМақсаты: Электростатика негізін түсіндіру
Жоспар:
- Электр заряды
- Кулон заңы
- Нүктелік зарядтың өріс кернеулігі, суперпозиция принципі
- Кернеулік векторының ағыны
- Остроградский - Гаусс теоремасы
Кілттік сөздер: электр заряд, протон, атом, электрондар, өріс кернеулігі, суперпозиция
1. Электр заряды
Кейбір денелер (шыны, янтарь, эбонит т. с. с. ) жібекпен, жүнмен т. б. үйкелетін (ысқыланатын) болса, жеңіл заттарды өзіне тартатыны тәжірибеден белгілі. Бүл жайт үйкеліс нәтижесінде денелерде артық әлектр зарядының пайда болуымен - дененің зарядталуымен немесе электрленуімен түсіндіріледі. Тәжірибе аттас зарядтардың 6ip-6ipiнeн тебілетінін, ал әр аттас зарядтардың 6ip-6ipiнe тартылатынын көрсетеді. Электр зарядтарының табиғатта қарапайым немесе элементар зарядталған бөлшектер түрінде кездесетіндігі қaзipгi кезде анықталган. Tepic зарядталған элементар бөлшек - электрон. Электронның заряды е (е= -1 , 6 • 10 -19 Кл) табиғатта белгілі ең кіші тepic заряд. Ең кiшi оң заряд - протонның заряды {\р 1 = = 1, 6• 10 -19 Кл) .
Зат атомдардан тұрады. Атомда оң зарядты ядро және мұны айналып козғалатын электрондар бар. Атом қосымша электрондар қосып алатын болса, онда тepic ион түзіледі. Қандай да 6ip денені зарядтаү npoцeci (денені электрлеу) белгілі 6ip мөлшер-дегі электрондарды немесе иондарды әлгі денеге беру (аүыстыру) не одан тасымалдау болып табылады.
Барлық денені өткізгіштерге және диэлектриктерге (изоляторларға) бөлуге болады. Қатты денеде атомдар 6ip-6ipiнe өте жақын (тығыз) орналасқан.
Изоляторларда еркін электрондар жоқ. Денелерді өткізгіштерге және изоляторларға бөлу шартты түрде алынған. Барлык 6eлгiлі заттар азды-көпті дәрежеде электр өткізеді. Мұның бәрі денеге әсер ететін жағдайларға (температураға, жарықталуға және т. с. с. ) тәүелді болады.
Денені
а) үйкеліс арқылы;
б) ықпал (әсер) арқылы (электростатикалық индукция) электрлеуге болады.
Электростатикалық индукция құбылысын былайша түсіндіруге болады. Егер бейтарап өткiзгiшкe мысалы, оң зарядталған дене жақындатылса, онда өткізiштiк электрондар оған тартылады да, өткізгіштің оған жақын (таяу) ұшында тepic заряд пайда болады (1-сурет) .
Электр зарядын кейде э лектр мөлшері деп те атайды. Электр мөлшерінің сақталу заңы физиканың нeгiзгi заңдарының 6ipi болып табылады. Сонымен:
1. Оң және тepic зарядтар бар. Аттас зарядтардың арасында 6ip-6ipiнeн тебілу күшi, ал әр аттас зарядтардың арасында өзара тартылыс күші пайда болады. Бұл күштер гравитациялық тартылыс күшiнeн әлдеқайда артық болады.
2. Зарядтың бөлінгіштік қacиетi бар, 6ipaқ та ол шексіз бөліне бермейді. Зарядтың элементар заряд деп аталатын ең аз мөлшepi (e) бар. Протон заряды 1 р 1 немесе позитрон заряды е + оң зарядтың, ал электрон заряды е - теріс зарядтың ең аз мөлшері болып табылады.
Бipлiктepдiң халықаралық жүйeciндe
Бөлінгіштік белгілі болған жағдайда элементар зарядтар санын (Nb q ) немесе зарядтың (q) өзін мына формүла бойынша табуға болады:
3. Түйық жүйеде зарядтардың алгебралық қосындысы түрақты шама болады:
Электр бейтарап жүйе үшiн const = 0 болса, оң заряд тepic зарядқа тең деген сөз.
2. Кулон заңы
1785 жылы Күлон иірмелі таразының жәрдемімен нүктелік заряд ұғымын, зарядтардың бөлінгіштiк қасиеттерін және тұйық жүйегі электр зарядының сақталу заңын пайдалана отырып мына заңды ашты:
Вакуумдағы нүктелік eкi зарядтың өзара әсерлесу күші заряд шамаларының көбейтіндісіне тура пропорционал, ал олардың арақашыктығының квадратына кepi пропорционал және де осы зарядтардың аралырын қосатын түзу сызықтың бойымен бағытталған болады. Бұл анықтама 2-суретте бейнеленіп мына формуламен өрнектеледі:
(1. 3)
(
Бірліктердің халықаралық жүйесінде (БХЖ)
мүндагы
абсолюттік диэлектрлік өтімділік
деп аталады.
Тұйық жүйедегі оқшауланып алынған зарядқа әсер ететін корытқы күш әp6ip жеке зарядтың әcepi ескерілген күштердің геометриялық (векторлық) қосындысына тең.
3. Нүктелік зарядтың өріс кернеулігі, суперпозиция принципі
Эдектромагниттік өріс электр зарядымен байланысты болады. Тек осы өрістің нәтижесінде ғана зарядтар аралығындағы өзара әсер күші пайда болады. Бұған қоса бір зарядтың екінші зарядқа әсері шекті жылдамдықпен беріледі. Электромагниттік өріс - материяның ерекше түрі. Зарядталған денелер арасындағы өзара әсер күші осы өріс арқылы іске асырылады. Қозғалмайтын электр зарядтары электростатикалық өріс тудырады.
Сонымен,
кернеулігі дегеніміз сан жүзінде q
0
сыншы зарядына әсер етуші күштің осы зарядтың шамасына қатынасына тең болатын электр өрісінің сипаттамасы болады:
Е=
(3. 1)
Векторлық формасы F=q
(3. 2)
Бірліктердің халықаралық жүйесінде өріс кернеулігі
өлшенеді.
Кулон заңын қолдануға болғандықтан ізделіп отырған Е=
(3. 3) формуласын аламыз. (3. 3) өрнегі r нүктесіндегі өріс кернеулігінің шамасын анықтауға мүмкіндік береді.
Кез келген нүктедегі өpicтiң қорытқы кернеүлігі жеке-жеке зарядтың әрқайсысының түдыратын кернеуліктерінің геометриялық қосындысына тең болады:
->
Е кернеүлігшщ сан мәнi векторларды скаляр көбейту ережесін пайдалана отырып анықталады:
мұндағы
3- суретте сан мәнін табуға арналған векторлық диаграмма көрсетілген.
3- сурет
Фарадей өpicтi көрнекі турде көрсету ушін оны күш сызықтары арқылы кескіндеуді ұсынды. Бул сызық өpicтiң әрбір нүктeciндегі кернеулік векторы оған жанама болатын сызық болып табылады (4-сурет) . Егер өзгедей зарядтар болмайтын болса, күш сызығы он зарядтан басталып шексіздікке кетеді. Егер өзгедей зарядтар болмайтын болса, күш сызығы шексіздіктен басталып тepic зарядқа келіп бітеді. (аяқталады. ) . Әр аттас зарядтар пары болатын жагдайда күш сызығы зарядтан басталып тepic зарядқа келіп аяқталатын болады.
Күш сызықтары 6ipтeктi және 6ipтeктi емес өрістің қасиетеpiн көрнекі түрде көрсетуге мүмкіндік жасайды. Егер кеңстіктiң кез келген нүктелеріндегі өpic кернеулігі Е бірдей болса, өpic бipтeктi болып табылады. Әр аттас зарядпен зарядталған екі параллель жазық пластинкалар аралығындағы өpic 6ipтeктi өpicкe мысал болады. Бул жағдайда өpic аралығы 6ipтeктi болатын параллель күш сызықтарымен кескінделіп көрсетіледі. Күш сызықтарының орналасуында осы айтылған тәсілден қандай да 6ip ауытқу болатын өpic біртекті емес ө picтi бейнелейді. Егер кeңicтiктiң кез келген нуктелеріндегі кернеулік бірдей болмаса, өpic 6ipтeкciз болып табылады.
4. Кернеулік векторының ағыны
Ауданды нормаль бағытында тесіп өтетін күш сызықтарының санын немесе
және
векторларының скаляр көбейтіндісін
кернеулік векторының агыны
деп атайды.
Бipтeктi өpicтe
нормалі өpic векторы
-мен
бүрыш жасайтын жазық бет орналаскан дейік (4-сүрет) . Сонда, ағынның анықтамасы бойынша
Ф
Е
мынаған тең болады:
4-сурет
Ф
Е
=
=
Е
S cos
=E
n
S (4. 1) Мұндағы E
n
=Е cos
-E-нің
нормалі бағытына проекциясы.
Егер
бүрышы сүір (cos
>0) болса, онда ағын оң болады, егер
бүрышы доғал (cos
<0) болса, онда ағын тepic болады. Егер бет тұйық болса, онда нормальдің оң бағыты ретінде сыртқы нормальдің бағыты таңдалып алынады.
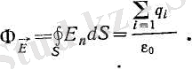
5. Остроградский - Гаусс теоремасы
Өpicтi
+q
нүктелік заряды тудырады дейік. Мұның айналасынан кез келген r радиүсты S
1
сферасын сызайық. Осы сфералық беттен өтетін
векторы ағынын есептейік.
Ф
Е
=
(5. 1)
Егер де бет зарядты камтымайтын болса (5-cypeттeгi S В - 6eтi), онда бетке eнeтiн (кipeтiн) және одан шығатын күш сызықтарының саны бірдей болады, ал тұйық беттен өтетін толық ағын Ф Е =0.
S 6eтi q 1, q 2 , . . . , q N зарядтарының жиынтығын қ амтитын болсын. Өpiстiң сүперпозициясы бойынша
S 6eTi q u q 2 , . . . , ^лгзарядта-рыньщ жиынтырын камтитын болсын. ©piCTin сүперпозиңия-сы бойынша
және
N
5- сурет
Тұйық бет арқылы өтетін кернеүлік векторының ағыны осы беттің iшiндe болатын зарядтардың алгебралық қосындысына пропорционал болады. Бұл тұжырым Остроградский - Гаүсс теоремасы деп аталады.
Остроградский - Гаүсс теоремасы арқылы кейбір дербес жағдайлардағы электр өpiciн есептеп табайық.
а) Бipкeлкi зарядталған шексіз беттің электр өpici.
(5. 3)
б) Әр аттас зарядталган (
+
және -
; шексіз параллель екі жазықтықтың өpici. Бұл жағдайда зарядтар пластинкалардың ішкі беттерінде болады.
Е=
(5. 4)
Кез келген формалы зарядты есептеуге F=Eq формүласы пайдаланылады. Сонда (5. 4) -өрнегін ескерсек,
F= -
(5. 5)
Бұдан қысымға арналған мына өрнек шығады
P=
(5. 6)
Бақылау сұрақтары:
1. Электрдің атомистік тұрғыдағы табиғаты дегеніміз не?
2. Кулон заңы, Электр өрісі, Өріс кернеулігін түсіндір.
3. Остроградский - Гаусс теоремасы нені анықтайды?
Әдебиеттер:
- Калашников С. Г. Электричество, М. : Наука, 1970.
- Парселл Э. Берклеевский курс физики, т. 2-Электричество и магнетизм. М. : Наука, 1983-1986.
- Фейнман Р. И др. Фейнмановские лекции по физике, вып. 5- Электричество и магнетизм. М. : Наука, 1983-1986
- Иродов И. Е. Задачи по общей физике, М. : Наука, 1988.
- Фриш С. Э. және басқалар. Жалпы физика курсы, т. 1. Алматы.
Дәріс № 3
Тақырыбы: Электр өрісінің потенциалы
Мақсаты: Эквипотенциал беттер ұғымын түсіндіру
- Электр өрісінің потенциалы
2. Нүктелік заряд тудыратын өрістің потенциалы
3. Потенциалға арналған өрістің суперпозиция принципі
4. Эквипотенциал беттер. Потенциал градиенті және өрістің кернеулігі
... жалғасы- Іс жүргізу
- Автоматтандыру, Техника
- Алғашқы әскери дайындық
- Астрономия
- Ауыл шаруашылығы
- Банк ісі
- Бизнесті бағалау
- Биология
- Бухгалтерлік іс
- Валеология
- Ветеринария
- География
- Геология, Геофизика, Геодезия
- Дін
- Ет, сүт, шарап өнімдері
- Жалпы тарих
- Жер кадастрі, Жылжымайтын мүлік
- Журналистика
- Информатика
- Кеден ісі
- Маркетинг
- Математика, Геометрия
- Медицина
- Мемлекеттік басқару
- Менеджмент
- Мұнай, Газ
- Мұрағат ісі
- Мәдениеттану
- ОБЖ (Основы безопасности жизнедеятельности)
- Педагогика
- Полиграфия
- Психология
- Салық
- Саясаттану
- Сақтандыру
- Сертификаттау, стандарттау
- Социология, Демография
- Спорт
- Статистика
- Тілтану, Филология
- Тарихи тұлғалар
- Тау-кен ісі
- Транспорт
- Туризм
- Физика
- Философия
- Халықаралық қатынастар
- Химия
- Экология, Қоршаған ортаны қорғау
- Экономика
- Экономикалық география
- Электротехника
- Қазақстан тарихы
- Қаржы
- Құрылыс
- Құқық, Криминалистика
- Әдебиет
- Өнер, музыка
- Өнеркәсіп, Өндіріс
Қазақ тілінде жазылған рефераттар, курстық жұмыстар, дипломдық жұмыстар бойынша біздің қор #1 болып табылады.

Ақпарат
Қосымша
Email: info@stud.kz