Мұнай химиялық өнеркәсіптің даму тарихы


Кіріспе
Өзектілігі. Мұнай химиясы - мұнайдан және табиғи газдан пайдалы химиялық өнімдерді алудың ғылыми негізін оқытатын химияның саласы. Мұнай химиясының жетістіктері практикада мұнай химиясының өндірісінде іске асырылады. Ол өндіріс - химиялық өндірістің өте қажетті және жылдам дамып жатқан бөлімі. Қазіргі кезеңде мұнай химия өндірісінің дамуы соншалық, көптеген өндірістері дамыған елдерде оның өнімдері жалпы химиялық өндірістің маңызды, ал кей кезде тіпті көп бөлігін құрайды.
Жасанды органикалық өнімдерді өндірудің үш негізгі шикізат көздеріне өсімдік заттары, тас көмір және мұнай жатады. Үшеуінің әрқайсысының ерекше артықшылықтары бар, бірақта тәжірибе (экономикалық тұрғыдан қарағанда) көрсеткендей. Мұнаймен қамтамасыз етілген елдерде (оларға Қазақстан да жатады) соңғысының маңызы химиялық өндірісте шикізат көзі ретінде өте жоғары және ол тоқтаусыз өсуде.
Мұнайхимиялық өндірістің кеңінен дамуына қарамастан шикізатты тұтыну көлемінің тұрғысынан қарағанда мұнай өңдеу өндірісінің көлемімен салыстырғанда әлдеқайда аздау, өкінішке орай тек отындық бағытқа бет бұрған.
Жер қыртысында түрлі тереңдікте (2000м. дейін және одан да көп) геологтар сұйық жанғыш минерал - мұнайды анықтайды. Бұл минерал көзге май тәріздес, қара сұйықтық болып келеді. Түсі әдетте шайыр тәріздес заттардың мөлшері мен құрылымынан тәуелді. Сол себепті түссіз мұнай да кездеседі. Тұтқырлығы орташа есеппен 5⋅10 -6 - 100⋅10 -6 м 2 /сек, ал кейде тіпті одан да жоғары болуы мүмкін. Мұнайдың тұтқырлығы сумен салыстырғанда жүздеген есе көп, ал тығыздығы біршама аз.
Мұнай біртекті сұйықтық емес, керісінше, ол түрлі молекулалық салмақты көмірсутектердің күрделі қоспасы мен күрделі химиялық құрамды, яғни кейде көп мөлшерде күкіртті, азотты, оттекті және шайырлы болып келеді. Мұнай шамамен 40 - 500 0 С температурада қайнап, түрлі фракцияларда айдалады. Айдаудан кейін қалған қалдық - гудрон - аз қозғалатын зат. Мұнай жанғанда күл қалмайды. Мұнай құбырларды бұрғылау жолымен жер бетіне газдар қысымымен немесе сорғыш арқылы алынады.
Мұнай алғашында теңіз тұнбасы ретінде бөлінген өлі өсімдіктер мен жануарлардың қалдықтарының ыдырау және күрделі химиялық ауысуларының өнімі болып табылатын органикалық текті зат ретінде белгілі болды. Мұнай көздерінің барлығы тұзды теңіз суында түзілген тұнбалы жыныстардың туындысы.
Мұнай үшін негізгі органикалық материал ретінде гидросферада өмір сүретін (планктон) өсімдік және жануар микроорганизмдері және өмірлері теңіз түбінде өтетін бенталды организмдер (бентос) үлкен ролін атқарады. Осы жинақталған органикалық тұнба - су қоймасының түбіне тереңдікте жинақталады. Мұндай тұнбаның беткі қабаты - пелоген, ал төменгі бөлігі - сапропел деп аталады. Сонымен теңіз түбінде тұнған тұнба мұнайдың бастапқы негізі болып табылады.
Мұнай өнімдері құрылыс жұмыстарында түрлі маркалы битум сонымен қатар резина өндірісінде кең қолданылады.
Мұнай шикізатінан ацетиленді және диолефиндерді, ароматты көмірсутектерді өндірістік өндіру қалыптасты.
Егер ең алғашқыда мұнайлыхимиялық өндірісінде негізгі алғашқы шикізат ретінде олефиндер болса, ал сол мезгілде сахнада парафиндер, диолефиндер, ацетилен және ароматты көмірсутектер шыға бастады.
Қырықыншы жылдары мұнайлы шикізаттан бензолды, толуолды және ксилолдарды өндірістік өндіру игерілді, себебі, осы ароматты көмірсутектердің кәдімгі көзі - тас көмір шайыры - химиялық өндірістің өсіп жатқан сұранысын қанағаттандырмады.
Мұнайдан алынып жатқан және әрі қарай химиялық өңдеуге қосылып жатқан көмірсутектердің ассортиментінің көбеюімен қатар жаңадан химиялық өндірістер құрыла бастады, оларға мұнай алғашқы өнімдердің көпшілігінің нақты көзі болды. Осы жаңа өндірістердің ішінен жасанды каучук, жасанды талшықтарды, пластмассаны және жуғыш заттар өндірісін атап кеткен дұрыс.
Мұнай мен табиғи газ барлық халық шаруашылығының дамуында маңызды мағынаға ие. Мұнайдан:
- іштен жану қозғалтқыштары үшін: отын ретінде бензин, керосин, дизельді отын;
- газды турбиналар мен қазандықты қондырғылар үшін: отын, реактивті отын, майлау және арнаулы майлар, парафиндер;
- жол құрылысы: үшін түрлі маркалы битум, синтетикалық май қышқылдары;
- резина өндірісі үшін: күйе;
- электродтар үшін кокс және т. б. алынады.
Өлі өсімдік және жануарлар ағзаларының теңіз суларында оттегі мен бактериялардың әсерінен ыдырауы бір жағынан, суда еритін сұйық және газ тәрізді өнімдердің, ал екінші жағынан химиялық және бактериялық әсерлерге тұрақты тұнбалардың түзілуіне әкеледі. Бұл тұнбалар ақырындап тұнбалық қабаттарда жинақтала бастайды. Табиғи газ ынғайлы және арзан энергетикалық тұрмыстық отын. Қазіргі уақытта табиғи газ, мұнайға серіктес газдар, мұнай өндеу газдары, мұнайдың жекелеген фракциялары, ароматты көмірсутектер, сұйық және қатты парафиндер толтырылмайтын химиялық шикізат болып табылады.
Ароматты көмірсутектер газдық фазада молекулалық оттекпен (катализаторсыз) парафиндерден және олефиндерден нашар тотығады. Ол олардың жоғарғы туындыларына байланысты. Молекулалық салмақ, сонымен қатар ароматтық ядромен байланысты алкилды тізбектердің саны және ұзындығы өскен сайын тотығу жылдамдылығы артады. Парафиндерді тотықтыру жағдайындай алдымен бүйір тізбектер тотығады. Қатаң жағдайда ароматтық ядроның альфа-орындағы көміртек атомында тізбек үзіледі және ароматық қышқылдар түзіледі. Ароматтық ядродағы көміртек атомдары алкилді тізбектер тотыққаннан кейін тотығады.
Табиғи газды және мұнайлы шикізаттың негізінде мұнайхимиясы синтезінің түрлі процестері ірі химиялық өндіріс саласын құрайды. Бұл саланың өнімдеріне полимерлі материалдар мен пластикалық массалар, синтетикалық талшықтар, синтетикалық каучук, синтетикалық жұғыш заттар, спирттер, альдегидтер, кетондар, ақуыздар және т. б. бағалы материалдар мен тауарлар жатады. Сол себепті қазіргі уақытта мұнай өндіруші, мұнайөндеуші және мұнай химиясы өндірісіне көп көңіл аударылады
Жұмыстың мақсаты : Мұнайдың химиялық құрамын зеттеу . Жұмыстың ғылыми жаңалығы мұнайдың құрамындағы жаңа әдістердің көмегімен алу.
Зерттеудің негізгі мақсаты: Ароматты көмірсутектерді алу жолдарын талдау.
Дипломдық жұмыс кіріспе, үш бөлімнен, қорытынды, қолданылған әдебиет тізімі, қосымша, қысқартылған сөздер түсініктемесінен тұрады, көлемі 63 бет. Оның ішінде суреттер, кестелер берілген.
1 Әдебиеттік шолу
1. 1 Мұнайхимиялық өнеркәсіптің даму тарихы
Мұнайды химиялық өңдеу өндірісі 1919 - 1920 ж. ж. АҚШ-та басталды. Жиырмасыншы - отызыншы жылдары бұл елде қарапайым олефиндерді - (этилен, пропилен және бутилен) өңдеудің және қолданудың өндірістік әдістері жасалды. Соңғылары сұйық мұнайлы фракцияларын крекинглеу арқылы алынатын.
Жасалған өндірістік процестердің олефиндерді хииялық өңдеудің сол кезеңде спирттерді алуға әкелетін күкіртқышқылдық гидрадтау (кейбіреулері альдегидтерге және кетондарға дегидрленген) және гипохлорлау реакциясы арқылы олифендерден олардың оксидтерін алу болатын. Өндірістік көлемде этилен оксидіне және пропилен оксидіне қол жету олардың негізінде алынатын мынадай: гликольдер, алканоламиндердің және гликольдердің жай және күрделі эфирлері сияқты құнды химиялық өнімдерді алуға әкелді. Барлық осы қосылыстар автомобиль өндірісінде (антифприздер, лак бояу қаптауларды жақтыруда және тағы басқа) кеңінен орын тапты [1] .
Сол мезгілде осы бағытта қарқынды зерттеулер жүрді, олар кейінен көптеген жаңа технологиялық процестердің негізіне енді.
Екінші дүниежүзілік соғысынан кейін қырқыншы және елуінші жылдары мұнайды химиялық өңдеу өндірісі тек қана АҚШ емес, олар Еуропа елдерінде де әрі қарай кеңінен дамыды. Көмірсутектерді алу және бөлу технологиясы жақсарды. Жаңа конструкциялық материалдардың пайда болуы мынаған әкелді, крекингпроцестерді қатал жағдайларда өткізіле басталды, ол олефинтуындылардың мөлшері мен ассортиментін арттырды.
Мұнайдың түзілуі - бұл өте баяу жүретін процесс. Процесс жүру үшін көптеген миллиардтаған жылдар мен сыртқы ортаның түрлі факторларының әсері қажет [2] .
Мұндай факторларға келесілері жатады:
- Тау жыныстарының (негізінен балшықтың каталитикалық әсері.
- Радиоактивті элементтердің энергиясының әсері.
- Жоғары температура (250ºС-дан жоғары) .
- Жоғары қысым (50 - 200атм) .
- Микроорганиздердің биохимиялық әрекеті.
Жер қабатында мұнайдың түзілуі, жерде органикалық өмірдің қызу, даму сәтінен шамамен 350 - 400 млн. жыл бұрын басталды.
Жасанды каучуктың сұранысы (н - бутаннан және н - бутиленнен) девинилді және (бензолдан және этиоленнен) стиролды өндірудің мұнайхимиялық өңдеу процесін жасауға әкеп соқты.
Нейлонның сұранысы мұнайдан циклогександы бөліп алуды әкелді. Целлюлоза ацетатының сұранысы сірке ангидридін өндіруді ұйымдастыруға әкелді. Оған қажетті жасанды этил спирті этиленнен және ацето пропиленнен алынып, шикізат рөлін атқарды [3] .
Өсіп жатқан жасанды шайырға сұранысты қанағаттандыру үшін стиролды, хлорлы винилді, формальдегидті мұнайхимиялық жолмен алынған жасанды метанолдан және несепнәрді (мочевинаны) аммиактан өндірілуі игерілді. Соңғысының синтезінде мұнай газдарын су буымен конверсиялау арқылы алынатын сутек қолданылады (сәйкесінше сурет 1) .
1 cурет Көмір, мұнай, табиғи газ шикізаты
Қазіргі уақытта майлы сабынның сұранысына қарағанда сұранысының басымдылығы артып жатқан жасанды жуғыш заттар мұнайдан алына бастады. Оларды өндіру үшін қызықты бірқатар мұнайхимиялық синтездеу игерілді:
- бензолды немесе керосинді хлорлау арқылы немесе пропиленді полимерлендіру арқылы өте тармақталған тізбекті олефиндермен алкилдеу арқылы алу;
2) қатты парафиннен екіншілікті спирттердің сульфадтарын өндіруге қажетті ұзын тізбекті олефиндерді алу.
Мұнайдың барлық компоненттерін құрайтын басты элементтері көміртек пен сутек. Олардың мөлшері әр мұнайда әр түрлі (C) 83, 5 - 87% және (Н) 11, 5 - 14% аралығында. Сутегі мөлшерінің жоғары болуы мұнай күйінің - сұйықтығын сипаттайды. Көміртегі мен сутекпен қатар мұнайларда күкірт, оттек және азот кездеседі [4] .
Мұнай компоненттерінің негізгі салмағы - көмірсутектерден тұрады. Құрылымы бойынша 250 - 300ºС және 300 - 350ºС температура аралығындағы фракцияларында қарапайым қосылыстар кездеседі.
Олар келесі гомологтық қатарларға жатады.
C n H 2n+2 - метан немесе парафинды қосылыстар (алкандар), яғни қаныққан көмірсутектер.
C n H 2n - циклопарафиндер, нафтендер (циклогексан, циклопентан) .
C n H 2n-2 - дициклопарафиндер (бесмүшелік, алтымүшелік және аралас) .
C n H 2n-4 - үшциклопарафиндер.
C n H 2n-6 - ароматты, бензолды қосылыстар, арендер.
C n H 2n-8 - нафтенді ароматикалық қосылыстар.
C n H 2n-12 - бициклды ароматикалық қосылыстар.
Мұнай құрамындағы көмірсутектеріне қарай 6 топқа бөлінеді:
- парафинді;
- парафинді-нафтенді;
- нафтенді;
- нафтенді-ароматты;
- парафинді-нафтенді-ароматты;
- ароматты.
Ал мұнай құрамында қатты парафиндер 1, 5%-ға дейін болса, оны аз парафинді, 1, 5 - 6% - парафинді, 6%-дан жоғары болса - жоғары парафинді деп бөледі.
Мұнайдың тығыздығы 0, 72 - 1 г/см 3 , қату температурасы - 20 ÷+ 20ºС, қайнау температурасы 100ºС-дан кем, түсі сарыдан қоңырға дейін [5] .
Бензинді фракцияда қосылыстардың тек үш класы кездеседі: алкандар, циклоалкандар және бензолдың ароматты қатары.
350ºС температурадан жоғары қайнайтын мұнайдың жоғары молекулалық бөлігінің химиялық құрамы күрделі және аз зерттелген. Бұл фракция - мазут, май фракциялары және гудроннан тұрады. Майдың бұл бөлігі әртүрлі құрамды және құрылымды заттардың қоспасынан тұрады.
C n H 2n+2 қатарындағы көмірсутектер барлық мұнай түрлерінде кездесіп, оның негізгі құрам бөлігінің бірі болып табылады. Олар фракциялар бойынша негізінен мұнай газдары мен бензинді-керосинді фракцияларда көп мөлшерде кездесіп, ал май фракцияларында мөлшері қүрт төмендейді. Кейбір мұнайлар үшін жоғары температурада қайнаған фракцияларында парафиндер мүлдем болмауы да мүмкін.
С 1 -С 4 көмірсутектер мұнайда: метан, этан, пропан, бутан, изобутан, 2, 2-диметилпропан қалыпты жағдайда газ тәрізді күйінде кездеседі. Олардың барлығы табиғи және мұнай газдарының құрамына кіреді.
Газды кен орындары үш түрлі болады:
1) табиғи газдар негізінен метаннан тұрады. Қоспа ретінде этан, пропан, бутан, пентан, СО 2 , N 2 , кейде C 2 S кездеседі;
2) газды - конденсатты газдарда метанға пентан және одан жоғары гомологтар серіктес болады;
3) мұнай газдары мұнайға серіктес газдар деп аталады. Бұл газдар мұнайда еріп, мұнай жер бетіне шыққанда бөлінеді. Мұндай газдардың құрамы - этан, пропан, бутан және жоғары молекулалы көмірсутектерден тұрады. Сондықтан, «майлы» және «бай» газдар деп аталады [6] .
Сұйық парафинды көмірсутектер - С 5 -С 15 көмірсутектер. өздерінің қайнау температурасы бойынша пентан, гексан, гептан октан және басқа да көптеген изомерлер. Мұнайды айдау бойынша олар бензинды дистилятта болады.
Қатты парафинды көмірсутектер - гексадекан С 16 Н 34 18, 1ºС температурада балқиды. Көмірсутектердің молекулалық салмағының өсуімен C n H 2n+2 гомологтық қатарының көмірсутектерінің қайнау температурасы ұлғаяды.
Парафиндер мұнайда еріген немесе кристалды күйде кездеседі. Мазутты айдау барысында майлы фракцияға С 17 ден С 15 -ке дейінгі құрамды парафиндер түседі. Ал гудронда жоғары балқымалы С 36 -С 53 көмірсутектері жинақталады.
Қазіргі уақытта парафиндермен қатар мұнай да кристаллизацияға қабілетті циклды құрылымды органикалық заттар - церезиндер кездеседі [7] .
Церезиндер - жоғары молекулалы және жоғары температурада балқитын көмірсутектердің қоспасы. Олар мұнай өнімдерінің қалдықтарының минералы.
Парафиндер мен церезиндер өндірістің көптеген салаларында өз қолданыстарын табуда, мысалы, электро- және радиотехникада, қағаз, сіріңке, химия, парфюмерия және т. б. өндірістерінде. Көміртек атомдарда тетраэдр құрып орналасады. Алкандардағы көміртек атомының орталығы 0, 154 нм ара қашықтығында. Ал көміртек атомының орталығынан сутек атомының орталығы арасында 0, 11 нм. Бірақ С-С байланысы арқылы көміртек тізбегі әр түрлі конформацияларға ие. Балқу температурасы тек молекулалық салмағынан ғана емес, сонымен қатар алкандардың құрылысына тәуелді.
ХІХ ғасырдың соңында мұнайлардың құрамында циклді құрылымды C n H 2n қатарындағы көмірсутектер кездесетіндігі анықталған. Сол кезде циклопентан, циклогексан, метилциклопентан және т. б. С 15 -ке дейінгі гомологтар ашылған. Бұл циклопарафиндер, цикландар немесе нафтендер деп аталды. Нафтендер басқа көмірсутектермен салыстырғанда мұнай құрамында басымырақ болады. Тек жоғары қайнау температуралы май фракцияларында ароматты құрылымдардың басымдылығымен азаяды [8] .
Қарапайым цикландар - циклопропан, циклобутан және олардың гомологтары әр түрлі мұнайларда кездеседі.
Химиялық қасиеттері бойынша нафтендер алкандарға ұқсас. Олар үшін азот қышқылы және галоидтермен реакциялар тән. Соның нәтижесінде екіншілік және үшіншілік нитро-және галоид туындылары түзіледі. Жоғары температурада және түрлі катализаторлар қатысында нафтендер ыдырап, сақинадағы көміртегі атомдарының санын өзгерте отырып изомерленеді.
ХІХ ғасырда Морковников мен Оглобин ғалымдары мұнайды зерттеу барысында оның құрамынан бензол, толуол, этилбензол, ксилолдар, 1, 2, 4-үшметилбензолдар және т. б. көмірсутектердің осы класының басқа өкілдерін анықтаған.
Құрамында ароматты көмірсутектердің болуы бензин үшін тиімді, себебі олар жоғары октандық санға ие, керісінше, дизельды отындарда олардың мөлшерінің көп болуы отынның жану процесін нашарлатады [9] .
Бензол, толуол, этилбензол, изопропилбензол, ксилол, нафталин сияқты ароматты қосылыстар - синтетикалық каучук, пластикалық масса, синтетикалық талшықтар, қопартқыштар, анилинді бояулар және фармацевтикалық заттар өндірістері сияқты химия өнеркәсібінің салалары үшін өте бағалы шикізат болып табылады.
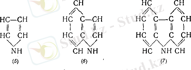
Мұнайдың құрамында гетероатомды азотты, күкіртті және оттекті қосылыстар да кездеседі. Мұнай құрамындағы оттектің мөлшері 0, 1 - 1%-ға дейін. Көп мөлшерде оттек 2%-ға дейін жоғары шайырлы мұнайларда болуы мүмкін. Азоттың да үлкен үлесі ауыр фракцияларда және қалдықты өнімдерде жинақталады. Көбінесе олар пиридин (1), хинолин (2), изохинолин (3), және аз мөлшерде акридиннің гомологтары болып табылады (4)
Нейтралды қосылыстар (80%-на дейін) азотты қосылыстарынан құрылады және мұнайдың жоғары молекулалы бөлігінде жинақталады. Олардың құрылысы аз зерттелген. Кейбір мұнай құрамында пиррол (5), индол (6), карбазол (7) гомологтары кездеседі:
Мұнайдағы көптеген күкіртті қосылыстары термиялық тұрақсыз. Сондықтан крекинг және басқа да өндеу барысында мұнай дистиляттарда күкіртті қосылыстардың ыдырау нәтижесіндегі қосылыстар күкірті сутек және меркаптандар жинақталады [10] .
Ондай мұнайларда күкірт келесі түрлерінде болады:
- меркаптандар (этилмеркаптан - C2H5SH, бутилмеркаптан - C4H9SH),
- тиофендер,
- алифатикалық сульфидтер немесе тиоэфирлер (R-S-R’), диметилсульфид, этилсульфид әртүрлі құрылымды полициклды күкіртті қосылыстар тиофен немесе циклды сульфидтер және т. б.
Мұнайдағы ең жоғары молекулалы гетероорганикалық қосылыстар құрамына күкірт, оттек, азот, сонымен қатар металдар кіретін заттар шайырлы-асфальтенды заттар деп аталады.
Мысалы, молекулярлық салмағы 930 тең шайыр фракциясына элементарлық сараптама нәтижесінде келесі эмпирикалық формуласы ұсынылған С 65 Н 105 SО:
Химиялық сипаттамалары бойынша шайырлардан аздаған заттар жиынтығының қышқылды сипаттамалары бар, асфальтенды қышқылдар деп аталатын заттарды бөлуге болады.
Нейтралды шайырлардың жіктелуінің негізіне олардың әр түрлі еріткіштерде еруі алынады:
- Нейтралды шайырлар - бензинде, петролей эфирінде, пентан, гекссанда еритін қосылыстар.
- Петролей эфирінде ерімейтің, бірақ ыстық бензолда еритін асфальтендер.
- Карбендер - пиридинда, көміртекті күкіртте (CS2) еритін заттар.
- Карбоидтар - ешбір еріткіште ерімейтін қосылыстары.
Сондай-ақ мұнайда аз мөлшерде V, Ni, Fe, Mg, Cr, Ti, Co, K, Na, P, Si т. б. металдар кездеседі [11] .
1. 2 Мұнай және оның дистиляттарының физикалық және химиялық қасиеттері
Мұнай және мұнай өнімдерінің салыстырмалы тығыздығы оларды анықтау температурадағы массасының сол көлемдегі 4ºС температурадағы таза судың салмағына қатынасы. 4ºС температурадағы судың тығыздығы үлкен шамаға ие және бірлік ретінде алынған. Тығыздық - көлем бірлігіндегі салмағының мөлшері. СИ жүйесі бойынша тығыздық кг/м
3
, г/см
3
, кг/л. Ал тәжірибе жүзінде өлшемсіз шама - салыстырмалы тығыздық қолданады. Тығыздықпен салыстырғанда меншікті салмақ көлем бірлігінің салмағы, яғни көлем бірлігінің жерге тартылу күші, өлшем бірлігі - н/м
3
. Тәжірибе жүзінде салыстырмалы меншікті салмақ дегеніміз 20ºС температурадағы мұнай және мұнай өнімінің салмағының сол көлемдегі 4ºС температурадағы таза су салмағына қатынасы (
) қолданылады. Зат салмағы оның салмағына пропорционалды болғандықтан, салыстырмалы тығыздық пен меншікті салмақ сан жүзінде бір біріне тең [12] .
Судың +4ºС температурадағы тығыздығы 1г/см 3 болса, онда мұнай және мұнай өнімдерінің салыстырмалы тығыздығы олардың 20ºС температурадағы г/см 3 -пен сипатталатын тығыздығына сәйкес келеді. Тығыздық пен меншікті салмақ температурадан тәуелді. Әдетте температураның жоғарлауымен мұнай және мұнай өнімдерінің тығыздығы азаяды. Көптеген мұнай және мұнай фракциялары үшін, әсіресе температураның аз аралығында (0 - 50ºС) меншікті салмақ пен тығыздықтың температурадан тәуелдігі сызықты сипатталады:
(1)
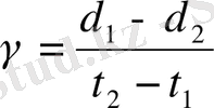
Мұнда γ - (t 2 -t 1 ) =1 болғандағы меншікті салмақтың (тығыздықтың) 1ºС температура өзгергендегі өзгерісті немесе температуралық қателікті бейнелейді (сәйкесінше сурет 2) .
Бұл теңдеумен белгілі t 2 температурадағы тығыздықты, меншікті салмақты d 1 t 1 -температурадағы белгілі болса есептеуге болады.
Тығыздық пен меншікті салмақты анықтауды ареометр (мұнай денсиметрлермен) және Мора-Вестфаль таразымен немесе пикнометрлік әдіс көмегімен анықтайды.
2 сурет Тығыздықты анықтауға қоланылатын пикнометрлердің түрлері
Егер анықтауды белглі температурада жүргізіліп отырса, онда
формуламен есептеуге болады:
=
+γ(t-20) (2)
Мұнайдың тығыздығына көптеген факторлар әсер етеді. Негізгілері - құрамында еріген газдардың және шайырлардың мөлшері, ал дистилаттар үшін оның химиялық құрылысы [13] .
Мұнай фракцияларының тығыздығы химиялық құрамынан тәуелді. Мысалы, ароматты көмірсутектер ең жоғары тығыздығымен, парафинды - ең төмен, ал нафтенды орташа тығыздықтармен сипатталады. Сонымен, тығыздығы бойынша фракцияларының химиялық құрылымы туралы алдын - ала қорытындыларды жасауға болады. Тығыздықсыз мұнайдың қайнау температурасы жоғары фракцияларының құрылымдық - топтық анализін жасауға мүмкін емес.
Бір гомологтық қатардағы көмірсутектер үшін Смиттенберг ғалым ұсынған әр бір көмірсутектің тығыздығы көміртек атомдарының санынан немесе молекулалық салмағынан эмпирикалық тәуелдікте болады:
(3)
Мұндағы х - көмірсутектің физикалық константалары, соның ішінде тығыздығы; х ∞ - көміртек атомының шексіз үлкен шамадағы физикалық константаның шегі; k мен Z белгілі гомологтық қатарды сипаттайтын тұрақты шамалар.
Мысалы, н-алкандар (C
n
H
2n+2
) үшін
н-α алкендер (α-C
n
H
2n
) үшін
Көптеген мұнайлардың орташа молекулалық салмағы 250 - 300-ге тең. Мұнай құрамындағы сұйық көмірсутекті бірінші өкілі пентанның салмағы 72-ге тең. Ал мұнайдың жоғары молекулалы гетероатомды құрылысты шайырлардың және асфальтендердің молекулалық салмағы 1200-2000-ге тең. Мұнай және мұнай өнімдерінің молекулалық салмақты білу май фракцияларының құрылымды - топтық анализ жүргізгенде, йодты және бромды сандар арқылы қаныққан көмірсутектерінің мөлшерін анықтағанда, әр түрлі технологиялық есептерді жүргізгенде қажет [14] .
... жалғасы- Іс жүргізу
- Автоматтандыру, Техника
- Алғашқы әскери дайындық
- Астрономия
- Ауыл шаруашылығы
- Банк ісі
- Бизнесті бағалау
- Биология
- Бухгалтерлік іс
- Валеология
- Ветеринария
- География
- Геология, Геофизика, Геодезия
- Дін
- Ет, сүт, шарап өнімдері
- Жалпы тарих
- Жер кадастрі, Жылжымайтын мүлік
- Журналистика
- Информатика
- Кеден ісі
- Маркетинг
- Математика, Геометрия
- Медицина
- Мемлекеттік басқару
- Менеджмент
- Мұнай, Газ
- Мұрағат ісі
- Мәдениеттану
- ОБЖ (Основы безопасности жизнедеятельности)
- Педагогика
- Полиграфия
- Психология
- Салық
- Саясаттану
- Сақтандыру
- Сертификаттау, стандарттау
- Социология, Демография
- Спорт
- Статистика
- Тілтану, Филология
- Тарихи тұлғалар
- Тау-кен ісі
- Транспорт
- Туризм
- Физика
- Философия
- Халықаралық қатынастар
- Химия
- Экология, Қоршаған ортаны қорғау
- Экономика
- Экономикалық география
- Электротехника
- Қазақстан тарихы
- Қаржы
- Құрылыс
- Құқық, Криминалистика
- Әдебиет
- Өнер, музыка
- Өнеркәсіп, Өндіріс
Қазақ тілінде жазылған рефераттар, курстық жұмыстар, дипломдық жұмыстар бойынша біздің қор #1 болып табылады.

Ақпарат
Қосымша
Email: info@stud.kz