Супергидрофобты беттің ұшақ қанатындағы мұздануға қарсы әсері

Жұмыс түрі: Дипломдық жұмыс
Тегін: Антиплагиат
Көлемі: 54 бет
Таңдаулыға:
ДИПЛОМДЫҚ ЖҰМЫСЫ
Тақырыбы:«СУПЕРГИДРОФОБТЫ БЕТТІҢ МҰЗДАНУҒА ҚАРСЫ ЖҮЙЕГЕ ӘСЕРІ»
РЕФЕРАТ
Бітіру жұмысы кіріспе, әдеби шолу, негізгі бөлім, тәжірибелік бөлім, қорытынды және қолданылған әдебиеттер тізімінен тұрады. Жұмыс 53 беттен, 57 суреттен, 1 кестеден, 37 қолданылған әдебиеттер тізімінен тұрады.
Түйін сөздер: МҰЗ, ҰШАҚ, СУПЕРГИДРОФОБ, ТЕФЛОН, ПОЛИФЕНИЛЕНСУЛЬФИД, АЛЮМИНИЙ, АЭРОДИНАМИКА
Зерттеу нысандары: супергидрофобты беттегі судың жұғу бұрышы және сырғу бұрышы, аэродинамикалық трубадағы ауаның жылдамдығы және бағыты, -18 температурада әдеттегі және супергидрофобты қанат бетіне мұздың жиналу механизмі және жылдамдығы.
Жұмыстың мақсаты: қазіргі кезде өзекті мәселелердің бірі болған мұздану мәселесі, яғни, ұшақ қанатының бетіне жиналатын мұзды біржақты ету шараларын зерттеу, оған супергидрофобты беттің көмегінің шамасын зерттеу.
Зерттеудің маңызы: анемометр қондырғысы арқылы аэродинамикалық трубаның ішіндегі ауа жылдамдығын зерттеу, су тамшысын супергидрофобты бетке тамызып жұғу бұрышын зерттеу, түтін арқылы ауаның труба ішіндегі қозғалу бағытын зерттеу, -18 температурада аэродинамикалық труба ішіндегі қанат бетіне жиналған мұздың салмағын өлшеу әрі екі түрлі қанат бетіндегі мұздың жиналу уақытын салыстыру.
ҚЫСҚАРТЫЛҒАН СӨЗДЕР ТІЗІМІ
ПФС - полифениленсульфиді
ПТФЭ- политетрафторэтилен ( тефлон)
МАЗМҰНЫ
КІРІСПЕ
Қазіргі кезде мұздану мәселесі дүниедегі өзекті мәселелердің бірі болып отыр. Мұздану мәселесі тасымалдау трубаларында, антенналарда және авиацияда болады. Авиацияда, яғни ұшақтың ұшуы кезінде атмосферадағы ауа тұтқырлығының жоғары болу себебінен, ауа ылғалдығынан, температураның төмен болу факторларынан мұздану жоғары болады. Ұшақ аспан кеңістігінде ұшу барысында ұшақ сыртқы бетінде мұз жиналу процесі болады. Ұшақ сыртына мұз жиналу негізінен екі түрлі болады: біріншісі, кеңістіктегі су буының ұшақ беткі қабатымен тікелей жанасу арқылы мұз түзу. Екіншісі, ауа құрамындағы су тамшыларының жартылай кристалдары (тұман, бұлт) біршама тұрақсыз келеді, олар қатты денеге тигенде адгезиясы біршама жоғары болады да, толық кристалға айналады. Ұшақ қанатына жиналған мұз ұшақтың ұшуы кезінде көптеген кедергілерді туғызады. Мысалы, ұшақтың өзін-өзі көтеріп ұшу күшін азайтып, ұшақ тепе-теңдігін бұзады. Сондықтан, қазіргі кезде көптеген әдістер мұзды жоюға қолданылуда. Қолданылатын әдістердің ішінде қанат ішіндегі қыздыру жүйесі жатады. Ұшақ бетіне жиналған мұзды қыздыру энергиясы арқылы ерітіп, қанат бетін тазартып отырады. Бірақ энергия шығымы көп жұмсалады. Осы себептерге негізделіп энергиялық шығымды азайту мақсатында мұзбен адгезиясы төмен, яғни супергидрофобты бетті қанат бетіне қаптау арқылы мұздан арылу жолын қарастырамыз. Жұмыс барысында әдеттегі және супергидрофобты қанат беттерінің моделін жасап, оларды ұшақтың ұшу моделі, яғни аэродинамикалық трубада тәжірибеден өткіземіз және оларды салыстыра отырып, супергидрофобты беттің мұздануға қарсы жүйеге тигізетін көмегін бақылаймыз. Бұл жағдайда аэродинамикалық труба ішіндегі ауа ағысын ламинарлы ағыс ретінде жағдай жасап, труба ішіне қанатты қойып, эксперимент жүргіземіз. Қанат бетіне қатқан мұздың қандай параметрлерге тәуелді екенін зеттейміз.
1. ӘДЕБИ ШОЛУ
1. 1 Ұшақ қанатындағы мұздану мәселесі, мұзданудың ұшақ ұшуы кезіндегі туғызатын кедергілері
Ұшақ жер бетінен көтерілу кезінде температура (OAT) ≤5℃ немесе ұшу барысындағы ауа температурасы (TAT) ≤7℃ болғанда, сонымен қатар судың қандай да бір фазасының әсерінен (мысалы, қар, жаңбыр, тұман) мұз қату шарты толықтанады. Бірақ ұшақтың сыртқы бетіндегі мұз қату жағдайы ауа ағысының жанасу орнының ұқсамауына байланысты ол да басқаша болады. Кей жерлерге мұз дұрыс қатпайды (мысалы, ұшақ қанатының артқы бөлігіне және ұшақ құйрығына) . Ұшу барысында мұздану әдетте ұшақ қанатының алдыңғы бөлігінде, ұшақ басында, айналғыш парақта біршама ауыр болады. Әр жерде түзілген мұз кристаллдарының құрамында үлкен өзгешеліктер болады, қатты кристал және бос күйдегі қыраулар да болуы мүмкін. 1-суретте көрсетілгендей қанат алдыңғы бөлігінде де екі түрлі мұз қату жағдайы болады. [1, 2]
Cурет 1. Қанаттың алдыңғы бетіндегі мұз қату жағдайлары
Ұшақ сыртына жиналған мұз қабаты ұшақтың механикалық қозғалысына үлкен әсер етеді, . ұшақ жылдамдығына қарама-қарсы бағыттағы ауа ағысының жүру бағытын өзгертеді, сонымен қатар ұшақ жылдамдығын азайтады және тепе-теңдігіне әсер етеді (2-суретте көрсетілгендей) .
A:ауа ағысының қалыпты қозғалысы B: ауа ағысының трублентті қозғалыс жасауы
Cурет 2. Мұз қатудан бұрынғы (A) және мұз қатқаннан кейінгі (B) ауа ағысының ұшақ қанаты бетімен қозғалу бағыты (жанынан қарағанда) .
Қанаттың мұздануының қозғалысқа әсері. Әдеттегі жағдайда қанаттың мұздануы ұшақтың аэродинамикалық қасиетіне үлкен әсерін тигізеді, ұшу үдеуін азайтып, жылдамдық азаю үдеуін жоғарылатады. Сандық коэффициентінің дәрежесіне, бірнеше қозғалыс параметрлеріне әсер етіп, ұшу барысындағы математикалық модель функциясын бұзады, ұшқыштың басқаруы қиынға соғады.
1. 1. 1 Мұзданудың ұшақ аэродинамикасына әсері
Бұл әсерді бірнеше жақтан қорытындылауға болады: (3-сурет) .
1) түзілген мұз сыртының α бұрышына байланысты аэродинамикалық жылдамдықтың азаюы болады.
2) максималды аэродинамикалық үдеудің азаюы болады
3) жылдамдық азаю бұрышы азаяды.
Cурет 3. Аэродинамика жылдамдығының C L ұшақ қозғалыс бағыт бұрышына α тәуелділігі
Максимальды аэродинамикалық коэффициент мұздың қалыңдығына және құрылысына тәуелді (4-суретте көрсетілгендей) . Ең маңыздысы мұз қалыңдығы бірнеше милиметрге артса жылдамдық үдеуін жартысындай дәрежеде азайтады, яғни мұздың аз мөлшері ұшақ тепе-теңдігіне зор әсер етеді.
Cурет 4. Мұз құрылысының максимальды аэродинамикалық жылдамдыққа әсері
Жоғарыдағы график арқылы мұз қатқаннан кейінгі ұшақ аэродинамикасы 25-40%-ға азаятынын түсінуге болады. Жылдамдық азайту бұрышы 5°~7°- ға азаяды. Бұл арқылы жылдамдық қосу үдеуі 25%-ға азайса, жылдамдық азайту үдеуі 75%-ға жоғарылайды. Яғни, Vs2/VsO2 = 1/0. 75, жылдамдық азаю үдеуі
Vs =1. 1547VsO . Жылдамдық азайту үдеуі 15%-ға артады, ал жылдамдық үдеуі 40%-ға жоғарылайды. [3]
1. 1. 2 Мұздану процесінің полярлы қисыққа әсері
1) α бұрышына байланысты кедергі күш C D артады;
- аэродинамикалық коэффициентке CLбайланысты кедергі күш CDте артады;
- жоғары аэродинамикалық үдеу жылдамдық төмендеу үдеуінің минимальды мәнінде байқалады.
Cурет 5. Мұзданудың полярлы қисыққа әсер етуі
1. 1. 3 Мұзданудың ұшақ ұшу бағытына әсері.
Қазіргі кезде кең қолданылатын турбореактивті ұшақтың ұшу биіктігі шамамен 9000m айналасында болады. Төмен биіктікте ұшақтың мұздану мүмкіншілігі біршама төмен, бірақ көтерілу барысындағы жиналған мұз ұшақтың көтерілу энергия шығымын жоғарылатады. W = ρV2CLS/2 формуласы бойынша және D =ρV2CDS/2 бойынша кедергі күш ұшақтың ұшу барысындағы ауа ағысына түсірген қысым күшке байланысты өседі. Яғни D = W/K . Мұндағы K- аэродинамикалық константа. Егер максимальды аэродинамикалық жылдамдық азайса, минимальды кедергі күш жоғарылайды (6-суретте көрсетілгендей) . Жылдамдық азайту үдеуі мұздың жиналу шамасына байланысты өседі, максимальды бірқалыпты қозғалу жылдамдығы азаяды [4] .
Cурет 6. Мұздану жағдайының қажетті сүйреу күшіне әсері
1. 2 Ұшақ қанатын супергидрофобты материалмен қаптаудың маңызы
Ұшақ кеңістікте ұшу барысында Маха критерийі бойынша мұздану метеорологиялық шартынан кіші болғанда ұшақтың кейбір сыртқы бетінде ауа ағысы құрамындағы сумен соқтығысады, осылайша мұз бірте-бірте жинала бастайды. Көптеген зерттеу жұмыстары бойынша ұшақтың негізгі бөліктерінде жиналған мұз кристаллы аз мөлшерде болса да, бірақ ұшақтың ауырлық күші арта түскендіктен ұшақтың тепе-теңдігі нашарлай бастайды. Ең ауыр жағдай кеңістіктегі төмен температура әсерінен ұшақтың ауа кіру аузында және қанаттың алдыңғы жағында мұздың қатуы. Негізінен ұшақтың бірнеше бөлігінде мұз қату біршама ауыр болады: ұшақ қанаты, горизонталь стабилизатор, вертикальді сабилизатор алдыңғы жағы, температура датчигі, айналу парағы сияқтылар (7-суретте көрсетілгендей) . [18] [20]
Сурет 7. Ұшақтың мұз қататын негізгі бөліктері.
1. Температуралық датчиктегі мұз қату 2. Көру әйнегіндегі мұз қату 3. Қанат алдындағы мұз қату 4. Артқы тепе-теңдік құйрығындағы мұз қату 5. Айналу парағына жабысқан мұз 6. Жел өткізгіш труба ернеуіндегі мұз
1. 2. 1 Қазіргі кездегі ұшақтағы мұздануға қарсы жүргізілетін іс-шаралар:
1) Двигатель компрессормен үрленетін ыстық жел арқылы мұз еріту: бұл көбінесе қанатта, ұшақ құйрық бөлігінің алдынғы жағына, двигательге ауа кіргізу аузына қолданылады. Бұл әдіс ыстық ауа көмегімен жартылай кристалл немесе толық кристаллданған мұзды буға айналдырып, сыртқы қабатты тазалап отырады. Сонымен қатар төмен температуралы ауа ағысын жылытып, ұшақтың сыртқы бетімен адгезиясының алдын алады.
2) Шар цикл әдісімен мұздан ажырату әдісі: двигательден шыққан ытық ауа әсерімен пневматикалық каналға ыстық жел жіберіп, шар циклын ұлғайтып және қысу арқылы механикалық күш туғызу, күштің әсерінен мұздың адгезиясы жойылады. Бұл әдіс қанат бөлікте және құйрық бөлікте қолданылады. Бұл әдісте қажетті ыстық ауа энергиясы бірінші әдіске қарағанда біршама аз болады. жылу энергиясы жеткіліксіз жағдайда көлем өзгерту әдісімен мұздан ажыратылуға мүкіндік береді.
3) Электр жылуы арқылы мұзданудың алдын алу: бұл әдіс тұрақты электр жылуының әсерінен мұз кристаллдарын еріту болып табылады. Көбінесе спиральді айналу парағына орнатылады және қанат ішіне орнатылады. Электрлік жылу әдісінен басқа электрді үнемдейтін яғни уақытша қыздыру жүйесі де кеңінен қолданылады, электрлік импульс әдістері қатарлылар, кейде ульлтрадыбыс толқынын да қолдануға болады [7] .
Жоғарыдағы әдістерден басқа қазіргі заманға сай энергия шығымының алдын алу мақсатында ұшақтың мұз қататын бөліктерін супергидрофобты материалмен жасау жолға қойылуда. Бұл әдістің артықшылықтары өте көп, энергия шығымын үнемдеп қана қоймай мұз қату уақытын ұзартуға болады және ұшақтың сыртқы металл материалдарының коррозиясынан сақтануға болады. Ұшақтағы жылыту жүйесі ток энергиясын пайдаланып жұмыс жасайды, құрылғысының негізгі бөлігі :жылу қыбылдау қанат беті, қыздыру пластинкасы, электродтардан тұрады. Төменгі қабатқа, яғни қанат бетіне жақын жиналған мұз кристаллдары қыздыру әсерінен суға айналып, адгезиясын азайтады (8-сурет) .
Сурет 8. Қыздыру жүйесі 1. Қанат беті 2. Қыздыру пластинкасы 3. Электродтар
Қыздыру құрылғысынан басқа мұздануға қарсы жүйеде қанат бетіне шашатын мұздануға қарсы сұйықтықтар болады. Ұшақтардың ұшуы алдында сұйықтықтарды ұшақ сыртына шашады, беттік активті сұйықтық әсерінен мұз қанат бетіне жанаспайды (9-сурет), бірақ сұйықтықтың қолданылу уақыты біршама аз болады.
Cурет 9. Мұздануға қарсы беттік активті сұйқытық
- Мұз 2. Беттік активті зат 3. Қанат беті
Мұздануға қарсы қазіргі кезде қолданылатын сұйықтықтар пропиленгликоль (C 3 H 8 O 2 ) және этиленгликоль (C 2 H 6 O 2 ) . Қазіргі кезде қолданылу уақыты жағынан ұзақ беттік активті сұйықтар түрлері шықты. Мысалы, құрамында төмендегідей радикалдары бар заттар :
1. 2. 2 Ұшаққа қолданылатын гидрофобты материалдар
1) Гидрофобты материалдардың теориялық моделі: сұйықтықтың қатты бетке жұғу жағдайын Юнг теңдеуімен қарастырсақ, егер қатты бет пен сұйық арасындағы жұғу бұрышы үлкен болса адгезия жұмысының аз болғаны, яғни гидрофобты қасиетінің жоғары болғаны. Қатты дененің гидрофобты қасиеті мен беттік энергиясы өте тығыз байланыста болады. Қатты беттің беттік энергиясы төмен болса тыныш күйдегі су тамшысының жұғу бұрышы үлкен болады. Жұғу бұрышы 90° тан үлкен болғанда гидрофобты қасиет болғаны. Материалдардың ішінде органикалық кремний қосылыстары мен органикалық фтор қосылыстарында беттік энергия төмен болады. Құрамында фтор болатын топшалардың беттік энергиясы :
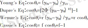
-CH2->-CH3>-CF2->-CF2H>-CF3 бойынша солдан оңға қарай төмендейді. -CF3 -тің беттік энергиясы шамамен 6. 7mJ/m2. Қатты тегіс күйдегі материалында жұғу бұрышы ең үлкен болады. Дюпре формуласымен есептегенде жұғу бұрышы 115. 2 0 болған. Ұзын тізбекті көмірсутектердің сумен жанасу бұрышы шамамен 112 0 болады. Ретсіз орналасқан органикалық кремний және фтор полимерлерінің сумен жанасу бұрышы 101-110 0 болған. Қатты дененің сумен жанасу бұрышы беттік қабаттағы құрылысқа байланысты, топшалардың диаметріне және сұйықтықтың беттік керілуіне тәуелді. Негізінен екі әдіс арқылы гидрофобты қасиетті жоғарлатуға болады, біріншісі - химиялық әдіс арқылы қатты беттің құрамын гидрофобты құрамға өзгерту, екіншісі - бетті дөрекі құрлымға келтіру, механикалық әдісті қолданамыз. Химиялық топшаларға байланысты тегіс беттің жұғу бұрышы шекті болады, 120 0 -тан аспайды. Табиғатта көптеген өсімдік жапырақтарында супергидрофобты қасиет болады. Гидрофобты қасиеті ең жоғары болатын - ол лотус жапырағы, Германияның Бон университетінде Wbarthlot және Cneinhuis жүйесінде лотус құрамындағы өздігінен тазарту құбылысын зерттеген, зерттеу барысында беттік қабаттағы талшық өсінділерін байқаған, бұлардың гидрофобты қасиет беретінін түсінді. Cонымен қатар дөрекілік құрлымын байқаған, бұл құбылысты (Lotus-effect)деп атады. Қытай орталық зерттеу институтында Жян лей қатарлылар лотус жапырағында дөрекілік өсінділердің ара қашықтығы шамамен 5~9μm ал наноталшықтарының диаметрі 124. 3±3. 2nm екенін байқаған (10-сурет) . Бұл микроөлшемді және наноөлшемді құрылымның супергидрофобты қасиетке негізгі фактор екенін байқады. Беттегі дөрекілік құрылымның гидрофобты қасиетке маңыздылығы зор. Wenzel жұғу бұрышының формуласын ұсынды. Дөрекілік фактор r -ді енгізді (дөрекілік құрлымның реалды жағдайдағы ауданы мен геомертиялық проекция ауданының қатынасы, r≥1) .
Сурет 10. Лотус бетінің микроқұрлымы
Қатты дененің дөрекілік құрлымын арттырсақ, гидрофобты қасиетті
(θ>90°болғанда cosθ теріс мәнге, θ<90°болғанда cosθ оң мәнге ие болады. сондықтан дөрекілік құрлымдымды арттыру қажет) арттыруға болады, судың бетпен жұғу бұрышы 150 0 -тан жоғарылатып супергидрофобты қасиетке жеткіземіз. Wenzel принципіне негізделсек, қатты беттегі химиялық құрам мен физикалық құрылысты өзгертіп дөрекілік құрлымды өзгертсек, тек қана тыныш күйдегі су тамшысының жұғу бұрышы ғана емес судың домалау бұрышын өзгертуге болады, яғни судың қозғалыс бұрышын білуге болады. [8, 9] .
Cassie қатты дене мен сұйықтық арасындағы газ көпіршігінің негізін талқылап, Cassie's моделін және формуласын ортаға қойды. Мұнда f сұйықтықтың қатты беттегі жанасу үлесі. Супергидрофобты беттің негізі лотус жапырағына негізделген. Сұйықтың қатты бетпен жанасуы бірнеше түрлі болады (11-суретте көрсетілгендей) .
Cурет 11. Cұйықтықтың қатты бетпен жанасу түрлері
- Жазық беттегі 2. Wenzel моделі 3. Cassie's моделі
Сұйықтың қатты бетпен жанасу формуласы төмендегідей болады:
Бұл жерде: γSL、γSV, γLV - қатты-сұйық, қатты-газ, сұйық-газ беттік керілулері. Φ-тұрақты коэффициент, θS-жазық беттегі жанасу бұрышы, θr-дөрекі беттегі жанасу бұрышы, r-дөрекілік факторы, f-сұйықтың қатты беттегі аудандық үлесі.
Лотус эффектісінің қабықшасы үш түрлі жақтан сипатталады:
1) құрамында супергидрофобты қасиет болады;
2) үйлесімді дөрекілік дәрежесі болады;
3) төмен домалау бұрышы болады.
Екі түрлі әдістен лотус эффектісін алуға болады: Бірінші-жоғары гидрофобты материалдарды қосу, мысалы фтор, кремний қоспаларын қосу арқылы беттік энергияны азайту, адгезия жұмысын болдырмау. Екінші-. лотус беті сияқты дөңес, ойыс бетті әдеттегі бетте орнату, бетке бөгде заттардың жанасу ауданын азайту.
1. 2. 3 Құрамында фторы бар полимерлердің гидрофобты материал ретінде қолданылуы
1938 жылы АҚШ Дупонт химиялық компаниясы фтор қоспасындағы полимерін жетпіс жыл зерттеген, ертеректе зерттелген фтор қоспасындағы полимерлердің ішінде PTFE, PVDF сияқты бірінші дәрежелі фтор қоспалы жоғары молекулалы қосылыстарды бақылаған. Бұл заттардың құрылысы жағынан басқа полимерлерден ерекше, яғни, балқуға төзімді, химиялық тұрақты, жоғары температураға төзімді, бірақ өндіру біршама қиын, заттарды қаптау кезінде жоғары температураны қажет етеді. Екінші дәрежелі фтор құрамды полимерге фторолефин жатады, полимер құрамына фторсыз сомономер енгізілсе кристаллдану температурасы төмендейді. Жоғарыдағы PTFE, PVDF полимерлері кристаллды полимерлерге жатады, ерітілген күйде сыр ретінде қолданылады. Құрғақ жерде 230 температурада кристаллданады. Тефлон әдетте температураға төзімділігі үшін металл беттерін қаптап, коррозияға төзімді материалдар ретінде және ас пісіру қазанының ішкі қабырғасына отырғызып, лиофобты материал ретінде де қолданылады.
Құрылыс жұмыстары үшін 1982 жылы Жапонияда lumiflon деп аталатын фторолефин және винил эфирінің сополимерін қолданып фторлы мономерді ароматты көмірсутек және кетон еріткіштерінде ерітіп, фторлы полимерді жасап шығарды. Оны темпетатураға төзімді материал ретінде ластанбайтын қасиетіне қарап қолданды.
1. 2. 4 Фторлы полимерлердің ұшақтың мұздануға қарсы материалы ретінде қолданылуы және дамуы
FEVE түріндегі мономер, фторлы акрилат шайыры және тізбектелген цианаттар мен изоцианаттардың ортақ ерігіштілігі бар, әдетте қыздыру барысында кристаллданады. Құрылыс материалы ретінде қолдануға тиімді. Ұлыбритания Desoto компаниясы ХХ ғасырдың 90 жылдарынан бастап фторлы шайырды ұшақтың сыртқы бояғышы ретінде қолданған, 20 жылдан кейін қазіргі полиуретанды сырлар бір есеге артты. Жапония авиациялық сырды зерттей келе, полиуретанды жүйелердің 150 температураға дейін шыдамдылығын ашты. Жапония жоғары дәрежелі сыр өндіру компаниясы және Жапония Fuji Heavy компаниясы бірлесіп, жаңа зат ойлап тапты. Силикатты шайырды полиуретанға қосып, жоғары температуралы радиоактивті сыр өндірді. Жапония Asahi Glas компаниясы LUMIFLON түріндегі бояғыш сырды жасады (12-сурет) .
Cурет 12. LUMIFLON түріндегі гидрофобты бояғыш сыр
Негізінен фтор қоспалы полимерлер ертеректен бастап авиация жұмыстарына қолданылған. Ұшақта гидрофобты материалдар қолданылса, ұшақтың мұздануға қарсы жүйеге көмегін тигізіп қана қоймай, комплексті коррозияға қарсы қасиет көрсетеді. Мұздануға қарсы жүйеге супергидрофобты материалдардың әсерін зерттеуді АҚШ профессоры Amirfazli ұсынған. Оның идеясы ұшақтың мұздануға қарсы жүйесіндегі энергия шығымына гидрофобты материалдардың әсерін зерттеу.
Бұл зерттеу жұмыстары қазірге дейін аэродинамикалық трубада ұшақтың ұшу моделін қолданып, дүние жүзінде 10-ға жуық рет тәжірибеден өткізілген, жұмыстың мақсаты, әдеттегі қанат беті мен супергидрофобты қанат бетінің мұздану жағдайын салыстыру.
2. ТӘЖІРИБЕЛІК БӨЛІМ
2. 1 Судың физикалық қасиеті
Ұшақтағы мұздану процессі судың қасиеттеріне тығыз байланысты болады. Таза су -түссіз, иіссіз, дәмсіз сұйықтық. Қалыпты қысымда 100°С-та қайнайды да, 0°С-да мұзға (р=0, 92 г/см 3 ) айналады. Жылу сиымдылық жағынан ең жоғары сұйықтық болып есептеледі. Оның құрамы сутек және оттек атомдарынан тұрады, бір оттек атомына екі сутек атомы шамамен 105 0 арқылы қосылған (13-сурет ), сондықтан су өте бейтарап зат [10] .
Cурет 13. Cудың геометриялық құрылымы
Судың электрондық құрлымы: оттек:
сутек:
Сурет 14. Cудың геометриялық кеңістіктегі формасы
Судың агрегадттық күйі, қайнау температурасы, қату температурасы қысымға байланысты әртүрлі болады. Ал тығыздығы температураға байланысты өзгеріп отырады (15-сурет) .
Сурет 15. Cудың тығыздығының температураға тәуелділігі
... жалғасы- Іс жүргізу
- Автоматтандыру, Техника
- Алғашқы әскери дайындық
- Астрономия
- Ауыл шаруашылығы
- Банк ісі
- Бизнесті бағалау
- Биология
- Бухгалтерлік іс
- Валеология
- Ветеринария
- География
- Геология, Геофизика, Геодезия
- Дін
- Ет, сүт, шарап өнімдері
- Жалпы тарих
- Жер кадастрі, Жылжымайтын мүлік
- Журналистика
- Информатика
- Кеден ісі
- Маркетинг
- Математика, Геометрия
- Медицина
- Мемлекеттік басқару
- Менеджмент
- Мұнай, Газ
- Мұрағат ісі
- Мәдениеттану
- ОБЖ (Основы безопасности жизнедеятельности)
- Педагогика
- Полиграфия
- Психология
- Салық
- Саясаттану
- Сақтандыру
- Сертификаттау, стандарттау
- Социология, Демография
- Спорт
- Статистика
- Тілтану, Филология
- Тарихи тұлғалар
- Тау-кен ісі
- Транспорт
- Туризм
- Физика
- Философия
- Халықаралық қатынастар
- Химия
- Экология, Қоршаған ортаны қорғау
- Экономика
- Экономикалық география
- Электротехника
- Қазақстан тарихы
- Қаржы
- Құрылыс
- Құқық, Криминалистика
- Әдебиет
- Өнер, музыка
- Өнеркәсіп, Өндіріс
Қазақ тілінде жазылған рефераттар, курстық жұмыстар, дипломдық жұмыстар бойынша біздің қор #1 болып табылады.
Ақпарат
Қосымша
Email: info@stud.kz