Тоңазытқышты құру циклдары


Тоңазытқышты құру циклдары
Тамақ өнеркәсібінде және тұрмыста тамақ өнімдерін сақтау үшін суықты қолдану жалпыға мәлім және үлкен мағынасы бар. Сонымен қатар, жасанды суықты химиялық өнеркәсіптерде - синтетикалық каучук өндірісінде және көптеген басқа өнімдердің қолданады, металлургияда - металдарды термо өңдеу кезінде, жер асты құрылысын салу кезінде ( топырақты мұздату ), ауаны тазарту кезінде және т. б.
Ең көп таралған және ең жетілгені - компрессионды булы тоңазытқышты құру болып келеді. . Жұмысшы денесі ретінде
(хладоагенттер) жиірек аммиакты NH3 қолданады немесе фреондар ( метан қатарындағы көмірсутектердің хлорфтортуындылары, яғни СmHn сутегі атомдарының хлор және фтор атомдарымен орынын басу кезінде алынатын химиялық қосындылар ) . Бұл жұмысшы денелердің ерекшелігі қайнау температурасының төмен болуы. Хладоагенттердің мінездемесі № 7-1. кестесінде келтірілген.
Кесте 7- 1
Хладоагенттің ең басты физикалық өлшемдері
Қаныққан бу қысымы, ата
+ 25С жоғары
- 10 С төмен кезде
Будың салыстырмалы көлемі, м2/кг
+25С жоғары
- 10С төмен кезде
Сұйықтық энтальпиясы, ккал/кг
+ 25С жоғары
- 10С төмен кезде
Бу түзілудің жылулығы, ккал/кг
+25С жоғары
- 10С төмен кезде
10, 22
2, 97
0, 128
0, 42
28, 09 - 10, 97
278, 7
309, 6
6, 68
2, 24
0, 028
0, 08
5, 7
2, 19
33, 86
38, 09
1 сурет Тоңазытқыш бу компрессорын орнату сызбасы
Тоңазытқыш құруда саналы циклыдың бірі болып, жоғарыда қарастырылған Карноның кері циклы табылады. Мына циклда салқындатылытын денеден жылулық алынады ол жұмысшы денесіне және қоршаған ортаға беріледі . Термодинамиканың екінші заңына сәйкес, тоңазытқышты құру әрекетіне механикалы немесе басқа белгілі энергияі саны шығындалады .
Суретте поршеньді компрессормен булы тоңазытқышты құру схемасы 7-25 көрсетілген. Бұл құру буландырғыштан тұрады
(салқындатқыш ) 1, компрессор 2, конденсатор 3 және редукционды ( -дросельного) клапан 4. Цикл, диаграммаларда көрсетілген v- p және s- T келесі бейнемен жүзеге асады . Қанған аммиакты буды компрессормен буландырғыштан 2 сорады ( немесе фреон булары немесе басқа хладоагенттермен) құрғақтықпен x 1, бірлікке жақын, тұрақты қысым жанында p1 және будың температура қысымы лайықты t h1. . Диаграммада v- p сызықтың сорылу процессі көрсетіледі 0-1. Кейін 1-2 сызығы бойынша компрессорда будың адиабатты қысу кезінде болады. Қысу кезінде жылуға тән жұмыс жұмсалады А1 ккал\кг хлорагент, осының арқасында оның энтальпиясы жоғарылайды I1ден i2, демек,
A1= i2-i1 ккал/кг
Бу, 2, конденсатор арқылы жүріп, өзгермейтін қысым кезінде конденсирлейді (p2= const, 2-3сызық диаграммаларда ) оның сумен салқындауы нәтижесіндегі, қайнардан алынатын, әдеттегі температурасы 10-15 С. Сұйық аммиак одан әрі буландырғыш I бағытталады 4 редукциялық клапан арқылы, p 2 ден p1 карай қысым төмендейді. Дроссирлеу кезінде сұйық аммиак бөлшектеліп буланады және оның температурасы t3 ден tH1 төмендейді. Диаграммаларда 3-0 сызық шартты дроссирлеу процесін суреттейді. Буды ұнтақтаудан кейін булыертінділі қоспа құрылады (x0≈0. 05), ол tH1=- 10 C, кезінде буландырғыш 1 түседі де., булану салдарынан жылулықты салқындатылған денелерден алу есебінен ( тамақтық өнімдердің және т. б. ) .
7-26сурет; v-p және s-T тоңазытқышты компрессорлы құру циклының диаграммасы
Салқындатылытын денелерде алынған жылулық саны, сұйық аммиактың булануындағы жылулыққа тең, булануға түскенде:
q2 = r (x1-x0) ккал/кг;
ондағы r -хлорагенттің блану жылулығы ккал/кг,
x1-x0 -құрғақтықтың қоспалар, лайықты жағдаймен, 0 және 1 нүктелермен сипаттанылған.
Булану процессі жүреді . . p1= const және tH1= const және 0-1диаграмада сызықпен белгіленеді. Одан әрі цикл қайталанады. сызықпен диаграммаларда суреттеледі . Әдеттегі цикл -10 +25 температуралардың шектерінде іске асырады.
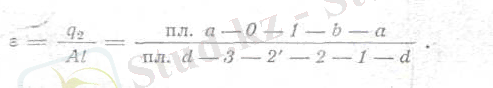
Диаграммада s-T; жылу сан, салқындатылытын денелерде тартып алынған, q2= аудан a-0-1-b-a ауданымен бейнеленеді. Тоңазытқыш ісінде салыстырмалы тоңазытқышөндірісінде жылу санын q2 ескереді, 1 кг хладоагентке келетін, яғни q2= i2-i1 ккал/кг, бұндағы i2 және i1 - энтальпин хладоагент нүктелерде 0 және 1. Жылулықтың саны, салқындатылатын судың конденсаторға берілетін, ауданмен өлшенеді q1 аудан. с-3-2́-2-б-с.
Циклді іске асыру үшін жұмсалатын жұмыс, келесі түрде бейнеленеді :
A1= q2 -q1 аудан с-3-2́-2-1-0-а-с=
= аудан d -3-2-2-1-d
Бұлардың теңдігі аудандарды, хладоагенттің энтальпиясын ықшамдауға дейін ( нүктеде 3) оның бірдей энтальпияға ықшамдаудан кейінгі ( нүктеде 0) яғни i2-i0 немесе e-d-3-c-e= аудан e-d-0-a-e және демек аудан d-3-m-d тең. аудан с-m-0-a-c.
Тоңазытқышты құру нәтижелілігі тоңазытқыш коэффициентімен сипатталады €, қандай сан көрсетушімен жылуды алушы жұмсалған жұмыс бірлігіне суытылған денелерден ( жылы өлшеуде ) :
Бұл коэффициент жоғары болған сайын, құру нәтижелі болады.
... жалғасы- Іс жүргізу
- Автоматтандыру, Техника
- Алғашқы әскери дайындық
- Астрономия
- Ауыл шаруашылығы
- Банк ісі
- Бизнесті бағалау
- Биология
- Бухгалтерлік іс
- Валеология
- Ветеринария
- География
- Геология, Геофизика, Геодезия
- Дін
- Ет, сүт, шарап өнімдері
- Жалпы тарих
- Жер кадастрі, Жылжымайтын мүлік
- Журналистика
- Информатика
- Кеден ісі
- Маркетинг
- Математика, Геометрия
- Медицина
- Мемлекеттік басқару
- Менеджмент
- Мұнай, Газ
- Мұрағат ісі
- Мәдениеттану
- ОБЖ (Основы безопасности жизнедеятельности)
- Педагогика
- Полиграфия
- Психология
- Салық
- Саясаттану
- Сақтандыру
- Сертификаттау, стандарттау
- Социология, Демография
- Спорт
- Статистика
- Тілтану, Филология
- Тарихи тұлғалар
- Тау-кен ісі
- Транспорт
- Туризм
- Физика
- Философия
- Халықаралық қатынастар
- Химия
- Экология, Қоршаған ортаны қорғау
- Экономика
- Экономикалық география
- Электротехника
- Қазақстан тарихы
- Қаржы
- Құрылыс
- Құқық, Криминалистика
- Әдебиет
- Өнер, музыка
- Өнеркәсіп, Өндіріс
Қазақ тілінде жазылған рефераттар, курстық жұмыстар, дипломдық жұмыстар бойынша біздің қор #1 болып табылады.

Ақпарат
Қосымша
Email: info@stud.kz