Наноқұрылымдардың ерекшеліктері


І тарау
Нанотехнологияға кіріспе
“Нанотехнология “ терминін алғаш рет 1974 жылы япондық ғалым К. Танигучи морт сынғыш материалдарды өңдеу мәселесін талқылауда пайдаланды. Аз өлшемді обьектің мағынасына нобель сыйлығының иегері Р. Фейнманның арқасында 1959 жылдан бастап ерекше көңіл бөлінетін болды. Оның тұспалдық “ Төменде орын лық толы : физиканың жаңа әлеміне шақыру”атты тұспалдау дәрісі кішкене компьютерлердің жасалуы, материал дизайны және биологиялық обьектілердің ерекшеліктерін есепке ала отырып, молекулярлық архитектуралық құру әдісіне байланысты тығыз ақпараттарға деген ерекше назар аудартты.
Физика заңдарының атомдық-молекулярлық деңгейде металдарды құрылымдауға қарсылық көрсетпеуі химиялық синтезге көп үміт арттыруы Э. Дрекслер, Р. Фейнманның кейбір ой-пікірлерін дамытты. 1986 жылы оның “Машина жасау нанотехнология кезеңінің пайда болуы “ атты кітабы жарыққа шықты. Автор биологиялық үлгіге сүйене отырып молекулярлық техника машиналарына түсініктеме жасады. “Жоғарыдан -төменге “деген дәстүрлі техникалық көзқарасқа қарсы (бұл жерде Фейнманның атомдық және ) .
1990 жылы ІВМ компаниясы тунельдік микроскоптың сканерлеуі көмегімен алынған никелдік нанокристалды 35 ксенонды атомдық ІВМ аббревиатурасы атомдық архитектураның шынайы екенін және нанотехнологияның мүмкіндіктерін демонстрациялады.
Наноматериалдың тұжырымдамасы да параллелді түрде дамыды. Алғашында олар Г. Глейтеронның металдық материалдарына сәйкес құрылды; оларға “ нанокристалдық “деген термин қолданылды, кейіннен “наноқұрылым“, “нанофазалық”, “нанокомпозиттік “ және т. б. терминдер қолданылды. Қатты денелердің қасиетін құрылымдық түрлендіру және электрондық құрылымына, сонымен қатар атомының өлшемінежәне химиялық байланыс типіне тәуелді емес қоспалы химиялық элементтерінің есебі ретінде маңызды өзгеруіне мүмкіндік беру тұжырымдамаға сәйкес бөлімнің жоғарғы бөлігінде жеке фактор ретінде беріледі.
Наноматериалдың қасиеті туралы әр түрлі ақпараттар жан-жақты жинақталып Г. Глейтера әдісімен көп ел таныса бастады. Қаттылығы қарапайым кристалды никелдің қаттылығынан 2 есе артық нанокристалды үлгіні В. Н. Лаповка және Л. И. Трусов атты авторлардың жетекшілік етуімен никелдің ульдисперлік ұнтағының біркелкі температурадағы жоғарғы қысымдық шоғырлануын алуға болады.
Кіші өлшемді обьектілер (ұнтақ, коллоид, катализатор, цеолит, пигмент қабыршақ кластер және т. б. ) және кванттық өлшемді құбылыстарды зерттеу “ нанобум “кезеңіне дейін басталып кеткенін ескерсек, одан басқа коллоидтықжүйенің жасалу рецептурасы археологиялық зерттеулерге сүйенсек антикалық дәуірде пайда болған. Мысалы, ” Қытай сиясы “ төрт мың жыл бұрын ерте Египетте пайда болса, ал биологиялық нанообьектіні жер бетінде тіршілік пайда болғаннан бастап бар деп есептесек болады.
Фарадей жоғары дисперсиялы алтынды және оның негізінде жұқа қабықты коллоидтық ерітпе арқылы зерттеп табады, яғни нанообьектіні ғылыми зерттеу ХІХ ғасырдан басталады. Фарадейдің көрсетуі бойынша кішкене бөлшектердің өлшеміне байланысты түстерінің өзгеруі -нанообьектідегі пішінді эффектілерді зерттеуге бірінші мысал болып табылуы мүмкін. Соңғы кездегі қызығушылықтың артуына байланысты ол кем дегенде бөлімнен тұрады.
Біріншіден, нанотехнологиялық әдіс қазіргі заманға сай көптеген техника, биотехнология, медицина, қоршаған ортаны қорғау, қорғаныс, т. б . салаларының қарқынды дамуына байланысты жаңа материалдар мен құрылғылар жасауға мүмкіндік береді.
Екіншіден, нанотехнология физика, химия, материалтану, биология, медицина, технология, жер ғылымы, компьютерлік техника, экономика, социология және т. б. мамандықтарын біріктіруші бағыт.
Үшіншіден, нанотехнологиялық мәселенің шешілуі ғылыми-инженерлік қауымдастықтың осы бағытқа деген назарын аударуқа деген себеп болды. Негізгі және техникалық білімде көптеген мәселелер шешімін тапты.
Нанотехнологиялық зерттеулер мен жұмыстардың қарқынды дамуын қарастыруға көптеген елдерде ( АҚШ, Европа бірлестігі, Жапония, Қытай, т. б. ) ұлттық прогроммалар қабылданылған. Кадрлар дайындауға көп назар аударылады. Жаңа болашағы бар әдістер, материалдар мен ұйымдастырулар жасаушы нанотехнологиялық бастапқы бағыттарының кейбір түрлері келтірілген.
қазіргі анологтың өте жақсы қасиеттерініңмағынасы материалдың молекулярлық дизаины және берілген заттектің қасиеті;
маңызы жоғары өнімділік және төмен деңгейдегі энергия қолданушы нанопроцессорлар;
үлкен көлемді жадысы бар құрастырушы;
жаңа дәрілік препораттар және оррганизмге кіріспе әдісі;
наносенсорды пайдаланған адам организмі және қоршаған ортаның мониторингісінің жаңа әдісі.
2002 жылғы нанотехнологиялық өннімдер бағасына қарай әлемдік рынок айналымында 300 млрд. АҚШ долл. құрайды. Жорамал бойынша 10-15 жылдан кейін нанотехнологиялық өнімдердің әр жыл сайынғы рыноктағы бағасы 1 трлн. АҚШ долл. құрайды, оның ішінде дәстүрлі түрде алынбайтын жаңа материалдар сферасын қосқанда 340 млрд. долл. ; жартылайөткізгіш өнеркәсіп аймағында 300 млрд. долл. ; формацептика аймағында180 млрд. долл. ; мұнай-химия өнеркәсіп катализатор аймағында 100 млрд. долл. ; қоршаған ортаны қорғау және энергетикалық ресурстарды қорғау аймағында 70 млрд. долл.
Наноматериалдардың ішінен бірнеше негізгі түрлерін бөліп көрсетуге болады:шоғырланған наноматериалдар, , нанополимерлер, нанобиоматериалдар, фуллерендер және тубулярлық наноқұрылымдар, катализаторлар, наноқуыс материалдар және супрамолекулалы құрылымдар.
Мысалы, будан металлополимерлі немесе биополимерлі нанокомпозиттердің бар болуына байланысты бұл бөлу аса шартты. Оған қоса наноматериалдардың класына жаңа түрімен (мысалы:нанотрубатты материалдарға 20 жыл ғана ) қоса өте ескі обьектілерде (мысалы: католизаторлар және ннаноқуысты материалдар ) кіреді.
Шоғырланған наноматериалдарға метал жалатылған шағын қабыршақтар, ұнтақтау технологиясы арқылы алынған қорытпа және қосылыстар, аморфты жағдайдық және әртүрлі қабылдауға әкеліннген қабыршақ пен жабындылардың бақылаушы үдемелі пластикалық деформациясы жатады.
Нанодән оңашаланған немесе әлсіз байланысқан түрде емес шоғырланған жағдайда болады. Дәннің қабатшасының беріктігі шоғыррланған наноматериалдарда жеткілікті жоғары деңгейде.
Наножартылай өткізгіштер, нанополимерлер және нанобиоматериалдар оңашаланған кейде будандасқан (араласқан) материалдарды түзе отырып шоғырланған түрде де болуы мүмекін.
1985 жылдан бастап көміртегінің жаңа аллотропты формасы С 60 кластерінің және С 70 кластерімен теңесуі фуллерендер деп аталды (Нобель сыйлығының иегерлері Н. Крото, Р. Керли және Р. Смолли еңбектері) ; әсіресе 1992 жылы япондық ғалым С. Ишиманың электр иінінің булануы арқылы графитте көміртекті нанотрубаларды тапқаннан бастап фуллерендер және тубулярлы наноқұрылымдар көптеген зерттеулердің негізі бола бастады.
Наноқуысты материалдар ережеге сәйкес, ұсақ тесіктердің өлшемімен сипатталады, кем дегенде 100 нм. Католизаторлар -ертеден зерттеле бастаған және ұзақ уақыттан бері қолданыстағы нанообьектілердің мысалы болып табылыды. Ал, супромолекулярлы құрылымдар -молекулалар мен олардың асамблясының арасындағы әлсіз (ван-дер-ваальстық, суттектік және т. б. ) байланыстың түзілуі негізінде ковалентті емес синтез деп аталатын синтездің нәтижесінде алынған наноқұрылым.
Бұл келтірілген наноматериалдар техникалық жасалуына және функционалдық белгісіне байланысты ажыратылады, олар бөліктерінің кішкене өлшемі, дәні, трубокасы, құрылым мен қасиетінің анықталуы арқылы біріктіріледі. Құрылымды элементтің минималді өлшемі(0, 1-1, 0 ) *10 -9 ннм, мәнісінде жеке атом мен молекуланың өлшемімен жауап беріледі, максималді өлшемі -100нм шартты түрде орнатылған.
Кейде жоғары шек (элементтің максималді өлшемі ) нанокристалді жағдай кезінде қандай да бір физткалық параметрмен байланыста болуы тиіс-тасушының еркін жүрісінің ұзындығы мен сырғанап жылжуға арналған Франк-Рид ілмегінің диаметрімен домнаның өлшемі немесе домнаның қабырғасы және ақырындаде Бройлдың электронды толқын ұзындығымен деген пікірлер айтылады. Электрлік, магниттік, деформациялық және басқа қасиеттері әртүрлі қатты денелердің обьектісін анықтайтын бұл физикалық параметрлердің өзгеру диапазоныбіршама ұзақ және бірыңғай жоғары шек орнату мүмкін деп есептелінбейді.
Кейбір терминологиялық ерекшеліктер жайлы айта кеткен жөн. “Нано “сөзі қосылған терминдер мәселен “нанотехнология“, “наноэлектроника “, “нанохимия “деген сияқты терминдерге баса назар аударылады [2, 13 ] . Американдық әдебиеттерде “нанотехнология “туралы мақсатты түрде жасау және материалды пайдалана білу, ұйымдастыру, құру және жүйе, 1-100нм -ге жуық өлшемі бар құрылымдық элементтер деп түсіндіріледі. Кіші өлшемді обьектілер жайлы ғылым (nanoscience ) -нанометрлі масштабтағы заттар менн құбылыстардың қасиеттеріжайлы білімнің жиынтығы.
Нанобөлшектер( наноұнтақтар) -геометриялық өлшемі 10 долдан 100нм -ге дейін өзгеретін кіші өлшемді заттек. ”Нанобөлшек “ және “ннаноұнтақ “ туралы түсінік көбінесе жасырын қалады, бірақта біріншісінің мүмкін оңашаланған түрін және міндетті түрде соңғысының жиынтық түрін ескерген жөн (ұнтақ-кішкентай өлшемді ( 0, 001-ден 10 3 мкм ) дара қатты бөлшектердің жанасуы кезіндегіжиынтығы ) . 10-нан бірнеше мыңға дейінгі атомдардан тұратын (әртүрлі мәліметтерде, 2000-1 жуық ) кластерлерге өлшемі кішірейе бастаған нанобөлшектер орын ауыстырады деп есептелінеді. Кластерлер үшін кристалды бөлшектерге қарағанда трансляция жасалатын симметрияның адасуы сипатты деу ұсынылады. Қазіргі кезде нанобөлшектерге 2 тарауда қысқаша көрсетілетін жартылай өткізгішті кванттық нүктелер және полимерлі дендримеррлер жатады.
Шоғырланған наноматериалдарға келешекте басты назар аударылады. Қазіргі таңда осы обьект үшін көлемді де жүйеленген ақпарат алынған. Әртүрлі наноматериалдар туралы мәліметтер нанобөлшектер мен наноұнтақтарды қосқанда, синтез жайлы берілген мәліметтер көбінесе жеткілікті түрде химиялық және физикалық сипаттарына байланыстыолар шектелген көлемде болады (см. ., мысалы, [6, 13, 16 ] ) . “Наноұнтақ “және “ультрадисперсті ұнтақ ‘деген терминдер алдағы уақытта синоним ретінде қолданылады.
2 тарау
Наноқұрылымдардың ерекшеліктері
2. 1. Жалпы сипаттама
Наноматериалдардың қасиеті ретінде оның ішінде болып олардың құрылымдары анықталады; оларды үйрену соңғы наноқұрылымды материалға кіріспеге ең маңызды тапсырма болып табылады. Полимерсіз наноматериалдардың құрылымының ерекше типтерінсипаттау үшін Г. Глейтераның классификациясын пайдаланамыз(2. 1 кесте ) [2, 15]
2. 1 кесте
Химиялық құрамына және фазалық бөлінуіне байланысты құрылымның төрт типін бөліп көрсетуге болады:бір фазалы, статикалық жоғарыбөліктің бірдей және бірдей емес көп фазалы және матрицалық көп фазалы. Пішініне қарай құрылымдар 3 типке бөлінеді: пластинка тәрізді, бағана тәріздес және тең осьті қосылысты болу. Бұл классификация кезінде кристалл аралық шекарадағы (бірдей және бірдей емес жоғары бөліктің ) бөлектенудің мүмкіндіктері ескеріледі. Бірақта әртүрлі құрылымды типтер аралас варианттар бар қуыста трубалық және буылтық құрылымдар, полимер құраушылар және т. б. есебінен көп болады. Көп таралғаны бір және көп фазалы матрицалық жәәне статистикалық обьектілер, бағаналық жәнее көп қабатты құрылымдар болып табылады; кейінгі сипаттамалар көп жағдайда қабықша жайлы.
2. 1 сурет
2. 1, 2. 2 суретте шоғырланған наноматериалдардың типтік құрылымдары көрсетілген. Бұл түсірмелер жоғары дәрежелі мүмкіндігі бар және қарапайым жарық түсіретін электрондық микроскоптар көмегімен алынған (ПЭМ ) (2. 1, а, д-з -сурет; 2. 2 сурет ), 2-35 есе үлкейтілген жоғары дәрежелі сканерлеуші электронды микроскоп (2. 1, б, в-сурет ) және атомдық микроскоп (2. 1, г-сурет) . Бағана және пластина тәрізді құрылымның қабықшасы 2. 1 в-д-суретте көрсетілген; бір фазалы құрылымдар-2. 1, а-г, ж-суретте; 2. 1, д, е, з және 2. 2-суретте көп фазалы құрылымдар.
Негізінде наноматериалдардың құрылымы жоғары бөліктің көп болуымен (дән аралық шекара және үш дәннің сызықтық кездесуінің түйіскен жері ) сипатталады.
2. 2 сурет
2. 3 сурет
2. 3, а-суретте тетраэдриялықдодекэдр түрінде дәннен құралған үштіктің түйіскен сызбасы көрсетілген; 2. 3, б-дажоғары бөліктегі жалпы үлесі, сонымен қатар жеке даралық шекара және дәннің өлшемі мен үштік түйісудің өлшемі. 2. 3, б-суреттегі график қарапайым геометриялық түсінік негізінде тұрғызылған. Жоғары бөліктің жалпы үлесі мынаны құрайды
жеке дән аралық шекара үлесі
және жеке үштік түйісудің үлесі
Мұндағы L - дәннің өлшемі; s - шекара ені (шекаралық зонада ) .
2. 3, б-суретте берілгендерге сүйенсек жоғары бөліктің үлесі (бірнеше процентті ) дәннің өлшеміне сәйкес келеді L <100 нм; ал бұл интервалда үштік түйісудің үлесі L мәні қоса өсетіндіктен L
10 нм болғанда V
ж. б.
үлесі бірнеше ондаған процентті құрайды. s
1 нм болған кездегі V
ж. б.
=50% үлесі
L
6 нм жеткен кезде жоғары бөліктің жалпы материал көлеміндегі үлесі 3s / L-ге жуық.
Олай болса, егер қатты дене бірнеше өлшемді ( <10 нм ) кристалиттерден тұратын болса, оннда жоғары бөліктің үлесі немесе реттелген құрылымды аймақтың үлесі жоғары болады.
Бірақта берілген 2. 3, б-суретте өрескел үлгіні пайдалану арқылы алынғандықтан тек жуық бағалауды береді, бірақ негізінде олар жоғары бөліктің үлесін дұрыс сипаттайды. Бұл үлесті дән мөлшерінің кішіреюіне байланысты бойы наноматериалдардың тепе-теңдік емес жағдайын көптеген бос энергияның өсуі есебінде анықтайтын фактордың бірі. Наноматериалдардың фаза аралық және жоғары шектелген энергиясының мәні тек қарапайым ірі кристалды материалдарда ерекшеленетінін атап кеткен жөн. Наноматериалдардың жоғары бөлігінің энергетикалық сипаттамалары туралы сенімді тәжірибелі мәліметтер практика жүзінде жоқ.
Қабыршақ үшін (бағаналық және көп қабатты ) олардың жалпы көлемін ғана емес бағананың диаметрін және жеке қабаттың жуандығын, сонымен қатар нано дәннің қабыршақтарының бағана және қабат ішінде бар болуын ескерген жөн.
2. 4 сурет
2. 4 суретте 75 0 температурадағы қабыршақ жуандығы және дәннің мөлшерінің ацетат кадмий, тиомочевин және триэтоксиамин құрайтын аммиатты ерітіндіден жасалған CdS қабыршағының тұну ұзақтығына ықпалы көрсетілген. 2. 4 суретте берілген мәліметтерге сүйенсек барлық қабыршақтар (жуандығы 100 нм -де) наноқұрылым болып табылады. AlN және TiN қабыршақтар сәйкесінше электрондық сәуле және иіндік әдіс арқылы алынған, ал мөлшері 100 нм жуық кристалиттер жуандығы 700 нм дейінгі қабыыршақтарда бақыланды.
Наноматериалдардың түрлерінің ішінде көбінесе шоғырланған обьектілердің наноматериалдық құрылымына көп назар аударылады.
2. 2 кестеде шоғырланған наноматериалдары алудың негізгі технологиялық әдістері көрсетілген. Кестеде сонымен қатар бұл әдістің жиі қолданылатын варианттары да келтірілген. Қарқынды пластикалық деформацияға келтірілген кезде немесе жабынды жабылған кезде негізгі шикізат ретінде ұнтақ пайдаланылады, бұл әдістер ұнтақты технологияға да қатысты болуы мүмкін. Наноқұрылымды бұлай алудың әдісі нейтрондар мен иондардың үлкендоза арқылы сәулеленуі, үйкеліс кезіндегі қарқынды деформация т. б . сияқты екенін ескере кеткен жөн.
Кез келгенәдістің өзіндік ерекшеліктерімен кемшіліктері бар екені түсінікті. Мысалы, ұнтақты технологияның қабылдауы қуысты емес наноматериалдарды алуды кез келген уақытта қамтамасыз ете алмайды, бішрақта олар әртүрлі өлшемді және құрамды жасап шығару үшін жан-жақты байланысқан. Аморфты жағдайдағы бақыланған кристалданудың қолданылуы аморфталуға негізгі құрамды ұсақ тесіктерді емес үлгілерді алуды қамтамасыз етеді. 2. 2 кестеде көрсетілген әдістер бәсекелеспейді, керісінше негізгі құрылымдық спектрін үлкейту арқылы олардың қасиетін және тәжірбиелік қосымшаларын бір-бірімен толықтырып отырады.
2. 2 кесте
Шоғырланған наноматериалдарды алудың негізгі әдістеері
2. 2. Шоғырланған материалдардағы дән, қабат, қосылулар және ұсақ тесіктер
Шоғырланған наноматериалдардың негізгі құрылымдық элементі- дән немесе кристалит. Негізінде бұлар рентгенсәулелерінің немесе нейтрондардың когеренттішашырау аймағы. Рентгенограммада интенсивті пластикалық жоғары ширатылған қысымда және қысымдалуда ширатылған мыс шыңдарының арасының кеңейе түскені айқын байқалады (2. 5сурет) .
2. 5 сурет
Шыңның интегралдық ені В
мына формуламен есептелінеді
Мұндағы
-толқын ұзындығы;
-Вульфа-Брэгга бұрышы; -кристалдық тордың оррташа квадраттық деформациясы (микроқателік ) .
Құрал-саймандық факторларды және микроқателіктердің ықпал етуін шығару, шыңдардың енін өлшеу арқылы наноматериалдардағы кристалиттеррдің өлшемі жайлы мәліметтер алады. Көбінесе мұндай әдіс бір фазалы жүйе үшін 2-3 нм дейінгі кристалиттердің өлшемі жайлы ақпараттар береді.
Әртүрлі кристаллографикалық бағытта текстура ролін бейнелейтін дән өлшемі бірекелкі болмауы мүмкін, т. с. с. көбінесе дәннің орналасуынан хабардар болу керек. Бұл көбінесе қарқынды пластикалық деформация кезінде және (мысалы, 2. 5, б суретте <111> текстура көрсетілген) қабыршақ алу кезінде бақыланылады.
2. 6 сурет
2. 6 суретте реакция негізінде химиялық тұндыру әдісі арқылы алынған ТіN қабыршағының рентгенограммасы келтірілген.
Никелдің электр тұндыррудан алынған нанноқұрылымды үлгісі < 111> және < 200>текстурасы арқылы сипатталады.
Дәннің пішіні мен өлшемі туралы маңызды ақпарраттарды рентген құрылымды талдаулармен қатар электро- микроскопиялық зерттеулер де береді[5 ] .
Жеке үлестердің су жырып кеткен кездегі бейнесін және қиық тілмелердің бұзылуын аморфты аймаққа жатқызсақ, кристалды жағдайды сипаттайтын типтік тілмелердің құрылымын ( атомдық жазықтықтағы “муарлы өрнек “ деп аталатын ) жоғары рұқсат етілген ПЭМ айқындайды (2. 1, а сурет ) . 2. 3, а суреттегі беррілген мәліметтерге сүйене отырып жәнеосы қабыршақтағы дәннің кіші өлшемін ескере отырып атомдардың реттелген жағдайдағы (аморфқа жақын ) жоғары бөліктің үлесі мағыналы әрі аморфты құраушылардың бар болуы әбден заңды екнін айтуға болады. 1-2 нм кем өлшемді дәндер аморфты матрица да бөлек орналасуы тиіс. Мысалы, нитрид титаны 0, 42 нм құрайды да, сегіз (2 3 ) ғана элементар торт сияды, т. с. с. кристалиттің параметр торыныңөлшемі 1 нм болады, онда бұл жағдайда өзгеше шоғырланған материалдар жайлы айтуға болады.
Кристалды торлардың ( 2. 1, д сурет) параметрлерінің жақсы байланысуы кезінде көп қабатты наноқұрылымды қабықшақта (жеке қабаттардың жуандық суммасын
қадамымен сипаттай отыррып оларды жоғары торлар деп те атайды) монокристалды қабатты да бақылауға болады. Бұл Франк-Ван дер Мервенің механизміне байланысты қабаттың бетіндегі қабықшаның бойына мысал болады. Электро микроскоппенн сканерлегесін және жоғарғы жағынан атомдық-күшті микроскоп пайдаланғандықтан сыннықтар зерттеу кезінде (Фольмер-Вебер қабыршақ бойының механизмі ) аралық когеренттің қатысуы арқылы қабыршақтың бойы механизмінің морфологиялық ерекшелігі айқын байқалады. Ақырында, индий-галлий арсенид негізіндегі жартылай өткізгіштік гетероқұрылым мысалында көрсетілгендей, Странск-Крастанов бойынша қабыршақ бойының құрама механизмі жоғары шешуші ПЭМ-ді пайдалану арқылы айқындалады. Төртбұрышты қосылыс -бұл (ақырында табиғат жасаушылар тұрақты болатын атомды аралдық) арсеннид галлий қабатының арасында орналасқан “кванттық нүкте “ .
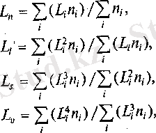
Құрылымды құраушы наноматериалдардың мөлшерінің өлшемі тура бейнелеу көмегіменалынғанн электро-микроскопиялық әдіспен және кем дегенде 1000-2000 кристалиттен құралатын массивте алынған қараңғылықтың компьютерлік өңделуде бейнеленуі негізінде жүзеге асады. Дәннің, сонымен қатар бөліктің, қосылған қуыстың пішінін өлшегенде мына параметрлер бағаланылады: санына байланысты бұл обьектіннің орташа диаметрі L n , орташа сызықтық диаметрL l , биіктігіне байланысты орташа диаметрі L s (немесе эквивалентті ортаның диаметрі ) және көлемі бойынша орташа диаметрі (немесе эквиваленннтті сфераның диаметрі ) L v :
2. 7 сурет
n- дәннің саны немесе і өлшемді басқа кластық обьекті.
Методикалық өлшеу ерекшеліктеріне байланысты электроннды микроскопиялық анализ (мысалы, қараңғылық көрініс 2. 7 сурет) санына L n және биіктігіне байланысты диаметрі L s жайлы ақпарат береді, ал РСА -эквиваленттісфера диаметрі L v жайлы анықтама береді.
Бұл параметрлердің арасында анықталған арақатынас бар және оған көз жеткізуге болады L v >L s >L l >L n .
Көп жағдайда дәндердің өлшемі бойынша бөлінуі қалыпты немесе қалыпты-логарифмді сипат алады және белгілі арақатынасқа бағынады:
F
H
(L), F
ЛН
( L) - бөлінудің сәйкес қалыпты және қалыпты - логарифмді функциясы;
а
,
r
- орташа квадратқа сәйкес арифметикалық және геометриялық қателік (ауытқу ) ; - сәйкесінше орташа арифметикалық және геометриялық мәні.
F H -де берілген біркелкі бөлінуге қарағанда, қалыпты - логарифмді бөліну шұғыл басылу аймағында L<L r мәніне және көлбеулік L> L r өзгеру мәніне ие.
2. 8 сурет
2. 8 сурет . Палладийдің өлшемі бойынша дәннің тығыздығының бөлінуінің наноқұрылымды үлгісі.
1-ПЭМ көмегімен алынған мән; 2- ПЭМ арқылы алынған қалыпты -логарифмді бөліну мәні; 3- рентген құрылымды анализ нәтижесі кезіндегі қалыпты -логарифмді бөліну.
... жалғасы- Іс жүргізу
- Автоматтандыру, Техника
- Алғашқы әскери дайындық
- Астрономия
- Ауыл шаруашылығы
- Банк ісі
- Бизнесті бағалау
- Биология
- Бухгалтерлік іс
- Валеология
- Ветеринария
- География
- Геология, Геофизика, Геодезия
- Дін
- Ет, сүт, шарап өнімдері
- Жалпы тарих
- Жер кадастрі, Жылжымайтын мүлік
- Журналистика
- Информатика
- Кеден ісі
- Маркетинг
- Математика, Геометрия
- Медицина
- Мемлекеттік басқару
- Менеджмент
- Мұнай, Газ
- Мұрағат ісі
- Мәдениеттану
- ОБЖ (Основы безопасности жизнедеятельности)
- Педагогика
- Полиграфия
- Психология
- Салық
- Саясаттану
- Сақтандыру
- Сертификаттау, стандарттау
- Социология, Демография
- Спорт
- Статистика
- Тілтану, Филология
- Тарихи тұлғалар
- Тау-кен ісі
- Транспорт
- Туризм
- Физика
- Философия
- Халықаралық қатынастар
- Химия
- Экология, Қоршаған ортаны қорғау
- Экономика
- Экономикалық география
- Электротехника
- Қазақстан тарихы
- Қаржы
- Құрылыс
- Құқық, Криминалистика
- Әдебиет
- Өнер, музыка
- Өнеркәсіп, Өндіріс
Қазақ тілінде жазылған рефераттар, курстық жұмыстар, дипломдық жұмыстар бойынша біздің қор #1 болып табылады.

Ақпарат
Қосымша
Email: info@stud.kz