Асинхронды электр қозғалтқыш есебі


Мазмұны
Кіріспе . . .
Техникалық берілгендер . . .
1. Қозғалтқыштың тұтынатын қуаты, номинал момент, номинал
және жіберу токтары . . .
2. Номинал және критикалық сырғанау . . .
3. Айналдыру моменті . . .
4. Тұрақты және айнымалы шығындар . . .
5. Қозғалтқышының әртүрлі жүктеме коэффициенттеріндегі ПӘК . . .
6. Қозғалтқыштың бос жүріс тогы . . .
Қорытынды . . .
Пайдаланылған әдебиеттер тізімі . . .
Техникалық берілгендер
Кесте 1
Асинхронды электр қозғалтқышының техникалық берілгендері
Қозғалтқыш
үлгісі
Мmax
Мпуск
Мпуск
Мном
I Ном
I пуск
η н %
Cos
Берілген электр қозғалтқышы үшін анықтау керек: 1) тұтынылатын қуат; 2)
Номинал, максималды және жіберуші момент; 3) номинал және жіберуші токтар; 4) номинал және критикалық сырғанау; 5) жуықты және анықталған механикалылар мінездемелерді М=f(s) және n 2 =f(M) есептеу және салу керек; 6) тұрақты және өзгергіш қуат шығындарын; 7) әртүрлі жүктеме коэффициенттеріндегі ПӘК және η=f(β) тәуелділігін салу; 8) бос жүру тогын.
Шешім:
1. Қозғалтқыштың тұтынатын қуаты, номинал момент, номинал және жіберу токтары.
Қозғалтқыштың тораптан тұтынатын қуатын ПӘК формуласы көмегімен анықтаймыз:
Мұндағы, Р 1 -электр қозғалтқыштың ток көзінен тұтынылған қуат;
Р n - номинал қуат; ηн - ПӘК .
Р1═Рн/ηн═13, 0/0, 855═15, 21кВ
Номинал момент қозғалтқыш білігінде:
Мном═9, 55*Рн/ ηн═9, 55*13*10 3 /730═170 Н*м
1 кестедегі шарттарға сәйкес максималды және жіберу моменттері:
Мmax═ 1, 7*Мн ═1, 7*170 Н*м═289 Н*м
Мпуск═ 1, 1* Мн═1, 1*170 Н*м═ 187 Н*м
Номинал және жіберу токтары:
Iн═Pн /√3*Uн *cosφн ηн ═13*10 3 /1. 73*380*0. 82*0. 855═28, 21 A
Iп═7* Iн═7*28, 21 А═197, 47 А
2. Номинал және критикалық сырғанау.
Sн ═ (n1-n2) /n1═(750-730) /750═0. 03
S ═ Sн(kм+√kм 2 -1) ═0. 03*(1, 7+√1, 7 2 -1) ═ 0, 092
3. Айналдыру моменті.
n 2 =n 1 (1-S) түріндегі сырғанау теңдеуін және Клосс формуласын қолданып
және 0-ден 1-ге дейін шектерде S сырғанауды қойып, айналдыру моментін есептейміз.
n 2 = 750*(1-0, 01) ═742, 5 айн/мин.
n 2 = 750*(1-0, 02) ═735 айн/мин
n 2 = 750*(1-0, 04) ═720 айн/мин
n 2 = 750*(1-0, 00, 06) ═705 айн/мин
n 2 = 750*(1-0, 00, 096) ═678 айн/мин
n 2 = 750*(1-0, 2) ═600 айн/мин
n 2 = 750*(1-0, 3) ═525 айн/мин
n 2 = 750*(1-0, 4) ═450 айн/мин
n 2 = 750*(1-0, 5) ═375 айн/мин
n 2 = 750*(1-0, 6) ═300 айн/мин
n 2 = 750*(1-0, 7) ═225 айн/мин
n 2 = 750*(1-0, 8) ═150 айн/мин
n 2 = 750*(1-0, 9) ═75 айн/мин
n 2 = 750*(1-1) ═0 айн/мин
М═2*289/(0, 092/0, 01+0, 01/0, 092) ═ 62, 09 Н*м
М═2*289/(0, 092/0, 02+0, 02/0, 092) ═119, 99 Н*м
М═2*289/(0, 092/0, 04+0, 04/0, 092) ═211, 34 Н*м
М═2*289/(0, 092/0, 06+0, 06/0, 092) ═264, 89 Н*м
М═2*289/(0, 092/0, 096+0, 096/0, 092) ═288, 71 Н*м
М═2*289/(0, 092/0, 2+0, 2/0, 092) ═219, 44 Н*м
М═2*289/(0, 092/0, 3+0, 3/0, 092) ═162, 04 Н*м
М═2*289/(0, 092/0, 4+0, 4/0, 092) ═126, 28 Н*м
М═2*289/(0, 092/0, 5+0, 5/0, 092) ═102, 86 Н*м
М═2*289/(0, 092/0, 6+0, 6/0, 092) ═86, 59 Н*м
М═2*289/(0, 092/0, 7+0, 7/0, 092) ═74, 67 Н*м
М═2*289/(0, 092/0, 8+0, 8/0, 092) ═65, 59 Н*м
М═2*289/(0, 092/0, 9+0, 9/0, 092) ═58, 47 Н*м
М═2*289/(0, 092/1+1/0, 092) ═52, 73 Н*м
Есеп-қисаптардың нәтижелері 2 кестеде:
Клосс формуласымен берілген қозғалтқыштың механикалық мінездемелерінің есеп-қисаптары нәтижелері
Кесте 4
Кесте 2-ң берілгендері көмегімен А2-71-8 типті электр қозғалтқышының М═f(S) және n 2 ═f(M) механикалық сипаттамасы тұрғызылады
және
формулаларын ескере
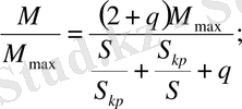
отырып дәлденген формуламен А2-92-8 типті электр қозғалтқышының механикалардың мінездемелерін есептейміз. Дәлденген формула:
1 кестеде келтірілген техникалық берілгендерден:
К м =1, 7; К n =1, 1; К R = Км/К п =1, 7/1, 1=1, 55 S н =0, 03.
Критакалық сырғанауды тауып аламыз:
q - критикалық сырғанаудың статор орама актив кедергісі мен ротор орамалары келтірілген актив кедергінің салыстырмалы тәуелділігін ескеретін параметрді тауып аламыз:
әртүрлі сырғанаулар кезіндегі электр қозғалтқыштың моменттерін анықтап, механикалық мінездемелерді саламыз. Есеп-қисаптардың нәтижелері 3 кестеде мәлімделген.
Кесте 3

4. Тұрақты және айнымалы шығындар.
Асинхронды қозғалтқыштың қуаттың тұрақты және өзгергіш шығындарын анықтау үшін келесі теңдеулерді және кестені пайдаланамыз.
Кесте 4
Біріңғай сериялы асинхронды қозғалтқыштарына арналған қуаттың тұрақты шығындарының мәндері
... жалғасы- Іс жүргізу
- Автоматтандыру, Техника
- Алғашқы әскери дайындық
- Астрономия
- Ауыл шаруашылығы
- Банк ісі
- Бизнесті бағалау
- Биология
- Бухгалтерлік іс
- Валеология
- Ветеринария
- География
- Геология, Геофизика, Геодезия
- Дін
- Ет, сүт, шарап өнімдері
- Жалпы тарих
- Жер кадастрі, Жылжымайтын мүлік
- Журналистика
- Информатика
- Кеден ісі
- Маркетинг
- Математика, Геометрия
- Медицина
- Мемлекеттік басқару
- Менеджмент
- Мұнай, Газ
- Мұрағат ісі
- Мәдениеттану
- ОБЖ (Основы безопасности жизнедеятельности)
- Педагогика
- Полиграфия
- Психология
- Салық
- Саясаттану
- Сақтандыру
- Сертификаттау, стандарттау
- Социология, Демография
- Спорт
- Статистика
- Тілтану, Филология
- Тарихи тұлғалар
- Тау-кен ісі
- Транспорт
- Туризм
- Физика
- Философия
- Халықаралық қатынастар
- Химия
- Экология, Қоршаған ортаны қорғау
- Экономика
- Экономикалық география
- Электротехника
- Қазақстан тарихы
- Қаржы
- Құрылыс
- Құқық, Криминалистика
- Әдебиет
- Өнер, музыка
- Өнеркәсіп, Өндіріс
Қазақ тілінде жазылған рефераттар, курстық жұмыстар, дипломдық жұмыстар бойынша біздің қор #1 болып табылады.

Ақпарат
Қосымша
Email: info@stud.kz