СМР типті кір жуу машиналары


Жұмыс түрі: Курстық жұмыс
Тегін: Антиплагиат
Көлемі: 22 бет
Таңдаулыға:
ЖОСПАР
Кіріспе3
ІТАРАУ. 5
1. 1. СМР типті кір жуу машиналары5
1. 2. «Рига-13» СМР-1, 5 кір жуу машинасы8
1. 3. Активтаттар және насосты шешіп алу9
1. 4. Тұрақты ток электр тізбегі11
ІІТАРАУ14
2. Электр қозғаушы күш14
2. 2. Электр кедергі16
2. 3. Еңбекті қорғау18
Техника қауіпсіздік ережелері18
2. 4. Қазақстан Республикасының заңы Қазақстан Республикасының еңбек туралы20
ҚОРЫТЫНДЫ . . . 22
ПАЙДАЛАНЫЛҒАН ӘДЕБИЕТТЕР ТІЗІМІ . . . 23
Кіріспе
Тұрмыстық электр приборлары тұрмыста, күнделікті өмірде үлкен сұранысқа ие болуда, олардың қарапайым құрылысы, бағасының арзандығы оларды электр тогы бар кез-келген жерлерде қолдана беруге болады.
Тұрмыстық электр приборлардың қызметіне мыналар жатады: ыстықтаған дайындау үшін, суларды, сүт тағамдарын қайнату үшін, бөлмені жылыту үшін, бөлмелерді тазалау үшін тұрмыста кір киім-кешектерді жуу үшін т. б. көптеген жұмыстарды орындау үшін адам баласына қызмет етеді. Оларды төрт топа бөлеміз: реттегішсіз, қызу температурасын реттегіші бар, прибор қуатын реттегіші бар, және автоматты түрде алдын-ала берілген нұсқау бойынша, басқаратын тұрмыстық приборлар бөлінеді.
Тұрмыстық электр приборлар газбен, қатты отынмен, сұйық отынмен жұмыс істейтін приборларға қарағанда көп артықшылықтары бар. Мысалыға бөлмені электр прибормен қыздырғанда ешқандай адамға зиян улы газдар бөлінбейді, газ сияқты жарылмайды. Бөлмеде таза яғни санитарлық-гигеналық сұраныстарды толығымен сақтайды. Тұрмыстық электр приборлардың ең бір маңызды артықшылықтарының бірі-бұл жылудың қандай температурасы керек, тазалаудың, жуудың қандай режимі керек бәрі авоматты түрде ұстап немесе беріп тұратын құрылғы. Мысалы, электр үтікте керекті температураға термореттегіштің дискісін бұрап қойып қойсақ, сол температураға жеткенде үтік автоматты түрде өшіп, қайтып қосылады.
Температураның және қуаттың реттегіштері контактілерді тез өшіріп, тез қосуларына байланысты екіге: бірден өшіріп қосатын және жай өшіріп қосатын болып бөлінеді.
Бірден өшіріп қосатын реттегіштер тоңазытқыштарда, кір жуу машиналарында т. б. жерлерде қолданылады. Жәй өшіріп қосатын реттегіштер электр үтіктерінде, электр плиталарда қолданылады.
І ТАРАУ.
1. 1. СМР типті кір жуу машиналары
Біруақытта 1, 5-2 кг кебу кір-киім кешектерді жуа алады. Бұл машиналарда екі режимді кір жуу операциялары орындалады. Кірді сығу, сығу іске асады.
«Рига-13» СМР типті кір жуу машинасын қарастырайық: бұл машинаның багі тотықпайтын болаттан жасалып, цлиндрлік корпуске орнатылған.
Кір жуу операциясы активатордың көмегімен айналатын көбік сұйықтың арқасында орындалады, активаттар бактің түбінде орналасқан.
Активаттар екі жаққада айналады. Бірінші бағытта нормальді режим, екінші бағытта спақтық режим болып саналады, активаттармен центробежді насос бір, валдың бойына орналасқан насостың көмегімен бактің түбіндегі тесік арқылы кір су айдалып отыралды.
Активаттардың айналуы валь арқылы электродвигательден беріледі.
СМР машиналарының техникалық мінездемелері:
салмағы
көлемі
кір жуу сұйығының мөлшері
активатордың ай жиілігі
басқару приборы
электродвигательдің типі
Ал электродвигатель машинаның рамасына қиғаштап орнатылған электродвигательдің вальі мен активаттардың вальі мен бір-бірімен ремен арқылы жалғанған. Сығу қондырғысы цлиндрлі корпустың үстінгі жағына винттердің көмегімен кранштейнге қатырылған. Екі вальиктің бір-біріне қарама-қарсы айналуының арасында жуылған кірді олардың арасында жіберіп суын сығып алабереміз.
Кір жуу машинасының іске қосылуы уақыт релесінің көмегімен релесінің көмегімен орындалады.
Ал машинаның өшірілуі автоматты түрде уақыт релесіндегі белгіленген, уақыттың бітуіне байланысты орындалады.
Электродвигатель іске қосылуы және шамадан тыс қызып кетіп күйіп кетпеуі қосып-қорғау релесінің көмегімен іске асырылады. Су құя шлангасы арқылы бакке тікелей су кранынан су құйылып отырады.
Қосып-қорғау рельесі жылу және қоу релесінен тұрады. Машинаның ең көп уақыты 6-минут.
1. 2. «Рига-13» СМР-1, 5 кір жуу машинасы
«Рига-13» кір жуу машинасы мынадай бөлшектерден тұрады: 1-айналдыру тұтқасы, 2-бак, 3-корпус, 4-активаттар, 5-насос, 6-электродвигатель 7-рама, 8-роликтер, 9-қосып-қорғау релесі, 10-шланг, 11-валиктер, 12-уақыт релесі, 13-ток көзіне қосу шнуры, 14-реттегіш винт, 15-қақпағы.
«Рига-13» кір жуу машинасын бөлшектерін шешу мынадай ретпен орындалады, біріншіден машинаның қақпағын аламыз, машинаны теріс қаратып төңкеріп ременді босатып аламыз. Машинаны қайтадан орнына қойып төрт винтті шешіп бакті корпустан босатамыз. Корпусты ұстап тұрып бакті шығарып аламыз. Электр двигательдің ток көзін өткізгіш кленаларын шығарып, двигательдің рамаға қатырылған болттарын босатамыз. Осы ретпен қайтадан машинаны жинаймыз.
1. 3. Активтаттар және насосты шешіп алу
Машинаны төңкеріп ременді босатамыз ол үшін рамаға қатырылған электр двигательдегі болаттарды босатамыз.
Винтті босатып активаттардың осіндегі шкивті шығарамыз, жай соққымен активаторды ішке ұрып бактің ішінен активаторды шығарамыз. Хомуттағы болатты насосқа жалғанған шлангіні шығарамыз. Корпусты бекітілген болаттарды шешіп насосты шығарып аламыз.
«Рига-13» кір жуу машинасындағы ахаулар және оларды жөндеу.
- Электр шнурда ахау бар-шнурдың приборға жалғанған жерінде немесе вилканың жалғанған жерінде үзік бар. Ол үшін шнурды кесіп тастап жаңадан жалғаймыз.
- Кір жуу машинасының корпусында тесік бар, корпус тотығып кеткен. Ол үшін тотыққан жерін тазалап, жанаймыз және бояп қоямыз.
- Уақыт релесін бұрап іске қосқанда элтродвигатель іске қосылмайды - уақыт релесінде, немесе шнурда, қосып-қорғау релесінде, двигатель тізбегінде үзік бар. Ол үшін барлық жердегі үзіктерді тексеріп жалғаймыз.
- Машинаны қосқанда двигатель гүрілдеп қосылады бірақ бірнеше секундтан кейін өшіп қалады - Активаттар қысылып қалған, немесе ременді қатты тартып қойған, немесе қосу, жұмысшы орамдарында үзік бар.
- Электродвигатель жұмыс істеп тұр, ал активаттар айналмайды - ремень қажалған, немесе өте бос тартылған, яғни двигательдің валы айналады, ал активаттардың валы айналмайды. Ол үшін ременді қатырамыз немесе ременді ауыстырамыз - бұл жағдайда активаттардың узельдері қатып қалуы да мүмкін.
Ондай кезде активаттарды шешіп алып подшипниктерді ауыстырамыз немесе активаттарды ауыстырамыз.
1. 4. Тұрақты ток электр тізбегі
Металя сымдардағы тұрақты ток дегеніміз, бос электрондардың тұйық тізбектегі бағытталған қозғалысы болып табылады.
Ең қарапайым электр тізбегі (сурет) электр энергиясы көзінен Г энергия қабылдағыштан П және энергия көзін қабылдағышпен қосатын екі линиялық проводтардан Л 1 және Л 2 тұрады.
Линиялық проводтар энергия көзіне оң плюс («+») және теріс плюс («-») деп аталатын екі қосқыш арқылы қосылады.
Қарапайым электр тізбегі:
Г-электр энергиясының көзі.
П-энергия қабылдағыш.
Л 1 және Л 2 линиялық проводтар.
Электр энергиясының көзі, механикалық, химиялық, жылулық және тағы басқалар. Энергия түрлерін электр энергиясына айналдырады, сонымен бірге онда э. қ. күші пайда болады.
Қабылдағышта электр энергиясы, энергия басқа түрлеріне - механикалық жылулық, химиялық жарық және т. б. энергия түрлеріне айналады.
Электр энергиясы көздері ролін генераторлар (а-сурет) аккумуляторлар, гальвани элементтері (б-сурет) және т. б. атқарады. Электр энергиясының қабылдағыш ретінде жарықтандырғыш лампалар, электр двигательдер, электр қыздырғыш приборлар қолданылады.
Гальвани элементтері сияқты аккумуляторларды да алғашқы жағдайда гальвани элементтерінің батареясын, ал кейінгі жағдайда аккумуляторлар батареясын құрастыру үшін өз-ара қосады. (в-сурет) .
а) сурет. б) сурет. в) сурет.
а) тұрақты ток генераторының
б) аккумуляторлар мен гальвани элементтерінің
в) аккумуляторлар мен гальвани элементтерінің батареялары.
Бір-бірінен белгілі бір қашықтықта тұрған екі сым арқылы өтетін электр токтары, сол сымдарға әсер ететін механикалық күштер тудырады. Ток күшінің өлшеу бірлігі ампер (а) болып табылады. Бірліктердің халықаралық системасында (СИ) ампер деп аталады. Көлденең қимасы мейлінше кіші, ұзындығы шексіз, ваккумдағы аралығы 1 м, паралель екі өткізгіштен ток жүргенде сол өткізгіштер арасында 1 метр ұзындықта
ньютонға (Н) тең күш туғызатын, өзгермейтін ток күшін айтады. Халықаралық системасындағы (СИ) бірлігі ньютон (Н) электр тогы өткізгіштің көлденең қимасынан уақыт бірлігіне өтетін электр мөлшерін анықтайды.
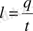
Егер өткізгіш арқылы күші 1 а ток өтетін болса, онда бұл өткізгіштің көлденең қимасынан 1 секунд ішінде 1к электр өтетін болады.
Өткізгіштегі ток күші 1 болған жағдайда бұл өткізгіштің көлденең қимасынан t сек уақыттың ішінде мынаған тең электр мөлшері өтетін болады: q = lt, осыдан
. Бұл тәуелділік t уақыттың ішінде ток күші өзгермейтін жағдайда дұрыс. Мысалы: өткізгіштің көлденең қимасынан 5 сек ішінде 40к электр өтеді. Тізбектегі ток күшін анықтаңдар:
шешуі
жоғары потенциалға сәйкес нүктеден (оң қысқыштан) төменгі потенциалға сәйкес нүктеге (теріс қысқышқа) қарай бағытталған энергия көзінің қысқыштарындағы потенциал айырманың әсерінен, ток жүретін линиялық проводтар мен энергия қабылдағыш тізбектің сыртқы бөлігін құрайды.
Энергия көзінің ішінде, яғни тізбектің ішкі бөлігінде ток электр қозғаушы күшке байланысты болады және ол энергия көзінің теріс қысқыштан оңына қарай бағытталған болады.
ІІ ТАРАУ
2. Электр қозғаушы күш
Жоғарыда айтылғандай тұйық тізбектегі электр тогы энергия көзінің электр қозғаушы күшінің (э. қ. күш) әсерінен пайда болады. Электр энергиясының көзіне электр қозғаушы күш тізбекте ток болмаған жағдайда да, яғни тізбек ажыратылып тұрғанда да байқалады. Тізбек салт тұрған жағдайда, яғни тізбекте ток жоқ жағдайда, яғни тізбекте ток жоқ э. қ. күш энергия көзінің қысқыштарының арасындағы потенциялдар айырмасында (кернеуге) тең. Потенциялдар айырымы сияқты э. қ. күште вольттер (в) арқылы өлшенеді.
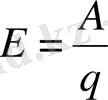
Электр тізбегінің тұйықталған жағдайда да ағытулы жағдайында да э. қ күш r үнемі энергия көзінің қысқыштарының арасындағы потенциялдар айырымын қамтамасыз етіп тұрады. Тұйық тізбектегі токтың пайда болуы үшін энергия көзінің ішінде оң зарядтар өріс күшінің оларға әсер ету бағытына қарсы келіп тұруы қажет, сөйтіп энергия көзіндегі э. қ. күш энергияның басқа түрлерін электр энергиясына айналдырудың нәтижесінде пайда болады. Сан жағынан алғанда э. қ. күш энергияның көзінің электр зарядына беретін энергиясына тең болады.
Егер энергия көзі q кулон электр мөлшеріне А джоуль энергия берген болса, онда бұл энергия көзінің э. қ. күші
электр қуатының күш шамасын, егер ол энергия көзінің полюстеріне жалғанған болса, вольтметр деп аталатын прибордың көрсетуіне қарап айруға болады. Сонда вольтметр стрелкасы бір бұрышқа ауытқитын болды. Энергия көзінің э. қ күші неғұрлым үлкен болса, соқұрлым стрелканың ауытқуы да үлкен болады. Алайда вольтметр төменде айтатын боламыз, э. қ. күш сияқты вольттер арқылы өлшенетін ток көзінің қысқыштарындағы кернеуді көрсететін болады. Жоғары кернеулер мен э. қ күш киловольттерге (кв) арқылы есептейді. 1 кв = 1000в кернеу мен э. қ. күштің азғана мөлшеріне өлшеу үшін милливольт (мв) қолданылады: 1мв = 0, 001в.
2. 2. Электр кедергі
Кез келген өткізгіштегі электр зарядтарының бір бағыттағы қозғалысына сол өткізгіштегі атомдар мен молекулалар бөгет жасайды. Сондықтан тізбектің сыртқы участогындағы сияқты тізбектің ішкі энергия көзінің өз ішіндегі участогына да токтың өтуіне бөгет жасайды.
Электр тізбегінің электр тогының өтуіне қарсы әсерін сипаттайтын шама электрлік кедергі деп аталады. Тұйықталған электр тізбегіндегі электр энергиясының көзі энергиясының тізбектің сыртқы және ікі участогындағы кедергіні жеңуге жұмсайды. Электрлік кедергі r әріпімен белгіленеді де схемаларда көрсетілгендей белгіленеді. Кедергіні өлшеу бірлігі Ом деп өзгермейтін бір вольт потенциалдар айырымы әсерінен бойында бір ампер ток күші өтетін линиялық өткізгіштің кедергісін айтады, яғни
Ірі кедергідегі өлшеген кезде ОМнан мың есе және миллион есе үлкен бірліктер қолданылады. Олар килоом (ком) және лигоом (мом) деп аталады. 1ком = 1ом 1мом = 1ом. Түрліше заттардағы бос электрондардың саны түрліше болады. Ол сол электрондар ара-арасы мен қозғалатын атомдар түрліше орналасқан болып келеді.
Сондықтан өткізгіштегі электр тогына кедергі, олардың материалына ұзындығына және өткізгіштің көлденең қимасының ауданына байланысты. Егер бір материалдың жасалған және көлденең қималарды бірдей екі, екі өткізгіштің кедергілерін салыстырсақ, онда қайсысы ұзын болса сонысының ұзындығы бірдей болған жағдайда кедергісі үлкен болады, көлденең қимасы үлкен өткізгіштің кедергісі кіші болады. Өткізгіш материалының электрлік қасиетін салыстырмалы бағалау үшін меншікті кедергі дейтін шама қолданылады.
... жалғасы- Іс жүргізу
- Автоматтандыру, Техника
- Алғашқы әскери дайындық
- Астрономия
- Ауыл шаруашылығы
- Банк ісі
- Бизнесті бағалау
- Биология
- Бухгалтерлік іс
- Валеология
- Ветеринария
- География
- Геология, Геофизика, Геодезия
- Дін
- Ет, сүт, шарап өнімдері
- Жалпы тарих
- Жер кадастрі, Жылжымайтын мүлік
- Журналистика
- Информатика
- Кеден ісі
- Маркетинг
- Математика, Геометрия
- Медицина
- Мемлекеттік басқару
- Менеджмент
- Мұнай, Газ
- Мұрағат ісі
- Мәдениеттану
- ОБЖ (Основы безопасности жизнедеятельности)
- Педагогика
- Полиграфия
- Психология
- Салық
- Саясаттану
- Сақтандыру
- Сертификаттау, стандарттау
- Социология, Демография
- Спорт
- Статистика
- Тілтану, Филология
- Тарихи тұлғалар
- Тау-кен ісі
- Транспорт
- Туризм
- Физика
- Философия
- Халықаралық қатынастар
- Химия
- Экология, Қоршаған ортаны қорғау
- Экономика
- Экономикалық география
- Электротехника
- Қазақстан тарихы
- Қаржы
- Құрылыс
- Құқық, Криминалистика
- Әдебиет
- Өнер, музыка
- Өнеркәсіп, Өндіріс
Қазақ тілінде жазылған рефераттар, курстық жұмыстар, дипломдық жұмыстар бойынша біздің қор #1 болып табылады.

Ақпарат
Қосымша
Email: info@stud.kz