Қатарлар туралы ақпарат


ҚАТАРЛАР
Бұл курста біз сандық және функционалдық қатарларды қарастырамыз.
Сандық қатарлар
Анықтама 1.
Берілген шектеусіз сандар тізбегі
үшін:
(1)
өрнегі сандық қатар деп аталады, мұндағы
сандары - қатардың мүшелері.
саны қатардың бөлік қосындысы деп аталады.
Анықтама 2
.
Егер
шегі табылатын болса, онда
(1) қатарының қосындысы деп аталады.
Анықтама 3.
Қатар жинақты деп аталады, егер
тұрақты санға тең болса, кері жағдайда, яғни,
шегі шексіздікке тең болса немесе табылмаса, онда қатар жинақсыз деп аталады.
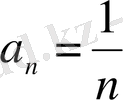
Мысал 1.
Қатардың қосындысын тап
.
Шешуі. Қатардың жалпы мүшесі:
=
.
Алынған формуланы қолданып, қатардың
-ші бөлік қосындысын табайық :
=
=
.
Сонымен,
.
Ендеше, берілген қатар жинақты және оның қосындысы
.
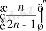
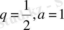
Мысал 2.
түріндегі қатарды (геометриялық прогрессия) қарастырайық. Онда бөлік қосынды:
- Егер
- Егер- табылмайды.
- Егер, онда
а)
(
болса)
б)
, егер
-жұп болса және
, егер
-тақ болса,
- табылмайды.
Сонымен, қатар
болғанда ғана жинақты.
Қатардың соңғы мүшелерін лақтырып тастағаннан оның жинақтылығы өзгермейді. Жинақты қатар:
.
үшін келесі теңдіктер орынды:
а)
б)
Теорема 1. Қатардың жинақтылығының қажетті шарты.
(1) қатары жинақты болуы үшін
болуы қажетті.
Мысал 3.
қатары жинақсыз, себебі қатардың жинақтылығының қажетті шарты орындалмайды:
.
болу шартынан қатардың жинақты екені шықпайды.
Таңбасы оң қатарлар
2-мысалда көрсетілгендей
бөлік қосындысының ақырлы формуласын анықтау кей жағдайларда қиындық туғызуы мүмкін. Сондықтан, қатардың жалпы мүшесін білу ғана жеткілікті болатын қатардың жинақтылығының жеткілікті белгілерін білген жөн. Тек қана таңбалары оң қатарлар үшін ғана ақиқат болатын белгілерге тоқталайық.
Мүшелері оң сандар болатын қатарларды қарастырамыз:
(2)
(3)
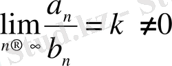
Теорема 2. Салыстыру белгілері :
1. Егер қандай да бір
нөмірінен бастап,
теңсіздігі орынды болса, онда
а) (3) қатарының жинақтылығынан (2) қатарының жинақты екені шығады,
б) (2) қатарының жинақсыздығынан (3) қатарының жинақсыз екені шығады.
2. Егер
ақырлы шегі табылса, онда (1) және (2) қатарлары не екеуі де бірдей жинақты, не екеуі де бірдей жинақсыз.
Мысал 4. Қатарды жинақтылыққа зертте:
(4)
Жинақты (мысал 1,
) болатын
қатарын қарастыралық,
үшін:
болғандықтан,
ендеше (4) қатары жинақты.
Теорема 3-4. Даламбер белгісі (Коши)
. Егер
, мұндағы
-ақырлы сан болса, онда:
а) егер
болса, онда (1) қатары жинақты,
б) егер
болса, (1) қатары жинақсыз,
в)
қатардың жинақтылығы туралы сұрақ ашық қалады.
Мысал 5. Қатарды жинақтылыққа зертте:
а)
, яғни, жинақтылықтың қажетті шарты орындалады. Коши белгісін қолданамыз:
- қатар жинақты.
б) гармониялық қатар үшін:
Жинақтылықтың қажетті шарты :
орындалады. Даламбер белгісін қолданамыз:
-жинақтылық туралы сұрақ ашық қалады.
Мысал 6.
.
Шешуі.
=
болады. Коши белгісін қолдансақ:
=
=
=
.
Яғни, берілген қатар жинақты.
Теорема 5. Кошидің интегралдық белгісі
. Қандай да бір
нөмірінен бастап
теңсіздігі орындалсын және
функциясы мынадай үзіліссіз өспелі емес функция болсын:
. Онда, егер
жинақты (жинақсыз) болса, онда (1) қатары жинақты (жинақсыз) .
Мысал 7. Берілген қатарды жинақтылыққа зертте:
,
. (5)
- қатардың жинақтылығының қажетті шарты орындалады.
болғандықтан,
деп алып, Кошидің интегралдық белгісін қолдансақ;
а)
болса, онда
, яғни, интеграл жинақсыз. б)
.
Бұл интеграл
болғанда жинақты, ал
жинақсыз.
Ендеше, (5) қатары
болғанда ғана жинақты, ал қалған жағдайларда жинақсыз.
Егер р=1 болса, (5) қатары біз жоғарыда 5-мысалда қарастырған гармониялық қатар болады және ол жинақсыз. Ал
болса, онда (5) Дирихле қатары деп аталады.
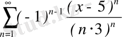
Мысал 8.
Қатарды жинақтылыққа зертте:
.
Шешуі.
қатарымен салыстыралық, бұл қатар көрсеткіші
болатын Дирихле қатары және ол жинақсыз.
. Ендеше, салыстырудың бірінші белгісі бойынша берілген қатар жинақсыз.
20. 3 Таңбалары ауыспалы қатарлар
, (6)
, (7)
қатарларын қарастырамыз.
Анықтама 4.
(6) сандық қатарының мүшелері деп аталатын
… оң да, теріс те болатын болса, онда бұл қатар таңбалары ауыспалы қатар деп аталады.
Таңбалары алма-кезек ауыспалы қатар (6) қатарының дербес жағдайы:
(8)
Лейбниц белгісі
. Егер (8) қатарының мүшелері үшін қандай да бір
нөмірінен бастап
теңсіздігі орындалып және
болса, онда (8) қатары жинақты және оның қосындысы оң сан.
Теорема 6. Егер (7) қатары жинақты болса, онда (6) қатары да жинақты.
Егер (6) қатары жинақты болып, ал (7) қатары жинақсыз болса, онда (6) қатары шартты жинақты деп аталады. Егер (7) қатары жинақты болып және сонымен қатар, (6) қатары да жинақты болса, онда (6) қатары абсолютті жинақты деп аталады. (6) таңбалары ауыспалы қатардың жинақтылығы туралы сұрақ, жалпы жағдайда, таңбалары оң қатар (7) -нің жинақтылығымен шешіледі. Ал таңбалары оң қатардың жинақтылық белгілерін жоғарыда қарастырдық.
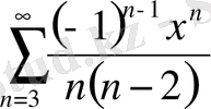
Мысал 9.
(9)
қатары Лейбниц белгісі бойынша жинақты, ал оның абсолют шамаларынан құрылған қатар (гармониялық қатар) жинақсыз. Ендеше, (9) қатары шартты жинақты.
Мысал 10.
.
Шешуі.
Берілген қатардың абсолют шамаларынан құралған қатарды қарастырамыз:
.
Бұл қатар Коши белгісі бойынша жинақты:
.
Сонымен, берілген қатар абсолютті жинақты.
Мысал 11.
.
Шешуі.
Берілген қатардың абсолют шамаларынан құралған қатарды қарастырамыз:
, бұл қатар көрсеткіші
болатын Дирихле қатары.
Берілген қатар таңбасы алма-кезек ауыспалы қатар болғандықтан, Лейбниц белгісін қолдансақ:
- >, яғни, қатардың мүшелерінің тізбегі кемімелі;
- ==0.
Ендеше, берілген қатар шартты жинақты.
- Өз бетімен шығаруға арналған есептер
Келесі есептерді өз беттеріңмен шығарыңдар:
- Қатардың қосындысын тап:.
- Қатардың- ші мүшесінің формуласын жаз:
а)
; б)
.
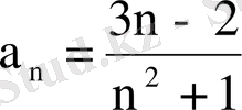
- Белгіліжалпы мүшесі бойынша қатардың алғашқы төрт мүшесін жаз.
а)
; б)
; в)
.
Таңбасы оң қатарларды жинақтылыққа зертте:
4.
; 5.
; 6.
;
7.
; 8.
; 9.
;
10.
; 11.
; 12.
;
13.
; 14.
; 15.
;
16.
; 17.
;
18.
; 19.
; 20.
.
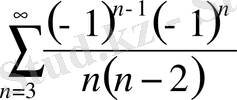
21. Келесі қатарларды абсолютті және шартты жинақтылыққа зертте.
1.
; 2.
; 3.
;
4.
; 5.
;
6.
21. 5 Сұрақтар
1. Сандық қатардың анықтамасы.
2. Қатардың бөлік қосындысы.
3. Қатардың қосындысының анықтамасы.
4. Сандық қатардың жинақтылығы мен жинақсыздығы.
5. Жинақтылықтың қажетті шарты.
6. Таңбалары оң қатарды салыстырудың бірінші белгісі.
7. Таңбалары оң қатарды салыстырудың екінші белгісі.
8. Даламбер белгісі.
9. Коши белгілері.
10. Таңбалары ауыспалы қатарлар. Абсолютті және шартты жинақтылық.
11. Таңбалары алма-кезек ауыспалы қатарлар. Лейбниц белгісі.
21 ФУНКЦИОНАЛДЫҚ ҚАТАРЛАР
21. 1 Функционалдық қатарлар
Анықтама 1. Функционалдық қатар деп:
, (1)
мұндағы
қатардың мүшелері функциялар болатын қатарды айтамыз.
қандай да бір тұрақты мән берсек, (1) қатары сандық қатарға айналады. Сонымен,
-тің қандай да бір мәндерінде (1) қатары жинақты, қандай да бір мәндерінде жинақсыз.
Анықтама 2.
(1) қатары жинақты болатын
мәндер жиыны функционалдық қатардың жинақтылық облысы деп аталады.
Қатардың жинақтылық облысында қатардың қосындысы
-ке байланысты функция болатындықтан, қатардың қосындысын
деп белгілейміз.
Мысал 1
.
болған жағдайда,
қатары жинақты. Себебі, бұл қатар кемімелі геометриялық прогрессия (
) және оның қосындысы
Сонымен, (-1, 1) интервалында берілген қатар жинақты және
.
болса, онда
- қатардың қалдық мүшесі.
Теорема 1 . (1) қатарының жинақтылық облысында:
.
21. 1. 1 Бірқалыпты жинақтылық. Функционалдық қатарларға қолданылатын амалдар
Анықтама 3.
(1) қатары
облысында мажорланған деп аталады, егер
үшін :
теңсіздігі орындалатындай,
, (2)
таңбалары оң жинақты сандық қатар табылса.
Мысал 2.
қатары барлық сан осінде мажорланған екені анық, өйткені,
, ал
- қатары жинақты қатар (
мысал 5
) .
облысында мажорланған қатар, осы
облысында абсолютті жинақты. .
Анықтама 4.
аралығында жинақты (1) қатары бірқалыпты жинақты деп аталады, егер барлық
үшін
болса.
Теорема 2.
аралығында мажорланған (1) қатары осы кесіндіде бірқалыпты жинақты.
2-теоремадан мажорланған қатар болу бірқалыпты жинақтылықтан да күшті шарт екенін көреміз, яғни, бірқалыпты жинақталатын, бірақ мажорланған емес қатарлар табылады.
Теорема 3.
(1) қатары
аралығында бірқалыпты жинақты және
- оның қосындысы болсын. Онда егер:
1.
- табылса, онда
2. қатардың мүшелері
-
аралығында үзіліссіз және
функциясы да
аралығында үзіліссіз болса, онда
, яғни, қатарды мүшелеп интегралдауға болады.
Теорема 4.
Егер (1) қатары
аралығында жинақты болса,
, ал
қатары
аралығында бірқалыпты жинақты болса, онда
,
яғни, қатарды мүшелеп дифференциалдауға болады.
21. 2 Дәрежелік қатарлар
Дәрежелік қатар функционалдық қатарлардың дербес түрі.
Анықтама 5.
(
) -ға қатысты дәрежелік қатар деп:
, (3)
түрінде берілген қатарды айтамыз, мұндағы
коэффиценттері - тұрақты сандар.
Егер
болса, онда:
(4)
Теорема 5. (Абель) .
болғанда (4) қатары жинақты болса, онда ол
болғанда абсолютті жинақты; ал оның
болғанда жинақсыз болуынан,
болғанда жинақсыздығы шығады.
Абель теоремасынан: (4) қатары үшін жалғыз ғана
саны,
, табылады,
болғанда (2) қатары жинақты, ал
үшін жинақсыз болатындай.
саны дәрежелік қатардың жинақтылық радиусы деп аталады, ал
- жинақтылық интервалы деп аталады. Егер
ақырлы шегі табылса, онда
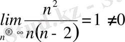
қатарына Даламбер белгісін қолдансақ,
, яғни,
.
Дәл осылай, Коши белгісін қолдансақ:
.
Мысал 3.
қатарының жинақтылық облысын тап.
болғандықтан,
- жинақтылық радиусы.
нүктелерінде жинақтылыққа зерттейміз.
- гармониялық қатар, жинақсыз болады.
-таңбасы алма-кезек ауыспалы қатар, бұл жинақты қатар (
мысал 6
) . Сонымен, берілген дәрежелік қатардың жинақтылық облысы:
.
(3) қатарының жинақтылық интервалы
, мұндағы
- (4) қатарының жинақтылық радиусы.
-кез келген бүтіндей (3) қатарының жинақтылық интервалының ішінде жататын кесінді болсын. Онда:
- (3) қатары мажорланған ( бірқалыпты жинақты) кесіндісінде.
- (3) қатарының қосындысы жинақтылық интервалында үзіліссіз.
- (3) қатарынкесіндісінде мүшелеп интегралдауға және қанша болса сонша рет мүшелеп дифференциалдауға болады, сонымен қатар, алынған дәрежелік қатардың жинақтылық интервалы (3) қатарының жинақтылық интервалымен бірдей.
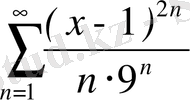
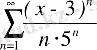
Мысал 4.
. Дәрежелік қатардың жинақталу аймағын тап.
Шешуі.
болады, онда жинақтылық радиусы
=
=
;
(-1, 1) - жинақтылық интервалы.
болсын, онда берілген қатар:
түрінде болады.
Бұл қатар шартты жинақты, себебі
=
жинақсыз және
а)
; б)
.
болса, берілген қатар
- гармониялық қатар және ол жинақсыз қатар. Сонымен, берілген қатар
аралығында абсолютті жинақты,
болғанда шартты жинақты.
Мысал 5.
.
Шешуі.
0 егер
болса.
Онда
=
=
.
Сонымен,
- жинақтылық радиусы;
жинақтылық интервалы.
Интервалдың шеткі нүктелерінде берілген қатарды жинақтылыққа зерттейік.
болса:
=
=-
Бұл қатарды
жинақты қатарымен салыстырамыз:
=
.
Сонымен, салыстырудың екінші белгісі бойынша
болғанда қатар абсолютті жинақты.
Егер
болса, онда берілген қатар мына түрде болады:
.
Бұл қатардың мүшелерінің абсолют шамасынан құрылған қатар:
жинақты қатар, ендеше жоғарыдағы таңбасы ауыспалы қатар абсолютті жинақты.
Сонымен, берілген қатар
болғанда абсолютті жинақты.
21. 3 Тейлор қатары
функциясының қандай да бір
нүктесінің аймағында
- ші ретті туындысы бар болсын. Дәрежесі
-нан жоғары емес төмендегі теңдік орындалатын
көпмүшелігін табалық:
(5)
көпмүшелігін мына түрде іздейміз:
-ті тауып және (5) шартын қолдансақ:
.
- қалдық мүшесі болсын. Онда
және
-ті Лагранж формасында жазуға болатынын көрсетуге болады:
![]()
![]()
(6)
(6) формуласы Тейлор формуласы деп аталады, ал
болса, Маклорен формуласы деп аталады.
Бұл формулалар
функциясын
көпмүшелігімен
-ға тең дәлдікте айырбастауға мүмкіндік береді.
Мысал 6.
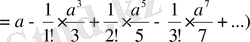
функциясын Маклорен формуласы бойынша жікте және
санын
дәлдікке дейін есепте.
болса,
.
үшін:
, ал
үшін:
болғандықтан,
. Сонымен,
.
нүктесінің аймағында
функциясы шексіз рет дифференциалданатын болсын. Онда
-ді өте үлкен шама деп ала отырып, (4) теңдігінің оң жағында дәрежелік функция аламыз. Қандай шарт орындалғанда бұл қатардың қосындысы
тең?
Теорема 6.
Егер
функциясы
интервалында шектеусіз рет дифференциалданатын болса және
, онда
-да:
, (7)
Әрі, қатардың
функциясына
-да жинақталуы бірқалыпты.
Анықтама 6.
(7) қатары Тейлор қатары деп аталады, ал егер
болса, ол Маклорен қатары болады.
Әрбір элементар функция үшін
интервалында Тейлор қатарына жіктелетіндей
және
сандары табылатындығын айта кеткен жөн.
Кейбір функциялардың Тейлор қатарына жіктелуін дәлелдеусіз көрсетеміз:
1.
,
2.
,
3.
,
4.
5.
Е с к е р т у . Көрсетілген жіктеулерді күрделі функциялар үшін де қолдануға болады. Мысалы:
1.
,
2.
,
3.
.
жіктелуіндегі
деп есептейміз және х-тің орнына (
) -ты қоямыз. жинақтылық интервалы:
болады және:
.
4)
болғандықтан,
үшін:
,
.
Бұл қатар
болғанда жинақты екенін көрсетуге болады. Онда
болғанда:
. Бұл
-ді есептеу формуласы.
Алғашқы функциясы элементар функциялар болмайтын интегралдарды кейде қатарлардың көмегімен есептеуге болады.
Мысал 7.
интегралын есепте.
Шешуі.
,
, екенін ескеріп, екі жағын да интегралдасақ:
.
Тейлор қатары, жалпы айтқанда, дәрежелік қатарлар дифференциалдық теңдеулердің дербес шешімдерін табу үшін жиі қолданылады.
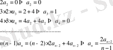
Мысал 8 . Берілген теңдеуінің жалпы шешімін тап:
Шешуі.
,
Шешімді
түрінде іздейміз.
Бастапқы шарттарды ескерсек:
Ары қарай,
-терді теңдеуге қойып,
-тің бірдей дәрежелерінің коэффиценттерін теңестірсек:
Ендеше,
.
Бұдан, дербес шешім
Мысал 9.
функциясын
аймағындағы Тейлор қатарына жікте.
Шешуі. Туындыларын табамыз:
болғанда:
функциясының
аймағындағы Тейлор қатары мына түрде болады:
.
Алынған қатар еселігі
болатын геометриялық қатар:
Equation. 3 .
Ендеше, қатар
аралығында абсолютті жинақты. Онда
,
.
Мысал 10 . Берілген функцияны Тейлор қатарына жікте:
.
Шешуі. Берілген бөлшекті қарапайым бөлшектерге жіктейміз:
;
.
Бұдан,
және
дей отырып,
екендігін аламыз. Ендеше,
. (8)
формуласын қолданып, әрбір қарапайым бөлшектерді жеке-жеке қарастырамыз:
;
.
Табылған жіктеуді (8) -ге қойсақ:
,
және
болады.
Сонымен,
.
Мысал 11.
функциясын Тейлор қатарына жікте.
Шешуі.
екені бізге мектеп курсынан белгілі. .
функциясын 3 пункттегі формула бойынша жіктесек (
-ті
-ке ауыстырсақ), онда:
, егер
.
Мысал 12.
функциясын Тейлор қатарына жікте.
Шешуі.
қарастырамыз.
5 пункттегі жіктеуді қолдансақ,
-ті сәйкесінше
және
-пен алмастырсақ:
Алынған жіктеу дұрыс болады, егер
, яғни,
болса.
Мысал 13.
функциясын Тейлор қатарына жікте.
Шешуі.
,
мұндағы
, жіктеуін қолданамыз.
деп алып,
-ті
-ке айырбастасақ, онда
.
Жіктеу дұрыс болады, егер
, яғни,
.
21. 4 Өз бетімен шығаруға арналған есептер
Келесі есептерді өз беттеріңмен шығарыңдар.
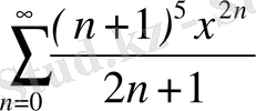
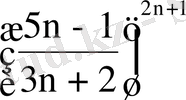
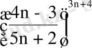
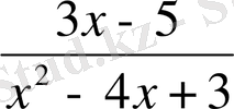
Дәрежелік қатарлардың жинақтылық интервалын тап және интервалдың шектік нүктелерінде жинақтылыққа зертте:
1.
; 2.
; 3.
;
4.
; 5.
; 6.
;
7.
; 8.
; 9.
.
10. Қатарлардың қосындыларын табыңдар:
а)
; б)
; в)
.
- 1-5 негізгі жіктеулерін және геометриялық прогрессияны қолданып, келесі функцияларды-тің дәрежелері бойынша жіктеп жаз және жинақтылық интервалын көрсет:
а)
; б)
; в)
; г)
;
д)
; е)
.
12.
функциясын
-дің дәрежелері бойынша қатарға жікте.
13.
функциясын
-дің дәрежелері бойынша қатарға жікте.
14.
функциясын
-дің дәрежелері бойынша қатарға жікте.
15.
функциясын
-дің дәрежелері бойынша қатарға жікте.
21. 5 Сұрақтар
- Функционалдық қатардың анықтамасы.
- Жинақтылық облысы.
- Қатардың бірқалыпты жинақтылығының анықтамасы.
- Мажорланған қатарлар.
- Қатардың қосындысының үзіліссіздігі.
- Қатарды мүшелеп интегралдау.
- Қатарды мүшелеп дифференциалдау.
- Дәрежелік қатарлар. Жинақтылық интервалы.
- Тейлор және Маклорен қатарлары.
- Элементар функцияларды қатарға жіктеу.
1. 1 Екі еселі интегралдың анықтамасы
ХОУ жазықтығында квадратталатын
тұйық облыста
функциясы берілген.
облысын
облыстарының ортақ ішкі нүктелері болмайтындай кез келген
n бөліктерге бөлейік. Әрбір
тұйық облысында (ішінде немесе шекарасында) кез келген
нүктесін таңдаймыз да осы нүктедегі
функциясының мәнін
ауданына көбейтеміз. Осындай барлық көбейткіштерді қосып, келесі қосындыны аламыз:
(1)
бұл
функциясының
облысындағы интегралдық қосындысы деп аталады. Интегралдық қосынды
облысын
бөліктерге бөлуден және осы бөліктерде
нүктелерін таңдап алудан тәуелді, яғни
облысындағы
функциясы үшін шексіз көп интегралдық қосындылардың жиынын құруға болады.
Шектік операцияға көшпес бұрын облыс диаметрі және облысты бөлу қадамы ұғымдарын енгізейік. Тұйық облыстың (екі немесе үш өлшемді кеңістіктегі) диаметрі деп осы облыстың шекарасындағы екі нүктенің ең үлкен арақашықтығын айтамыз. Облысты ақырлы бөліктерге бөлу қадамы деп бөлік облыстардың диаметрлерінің ең үлкенін айтамыз.
арқылы
облысын
бөліктерге бөлу қадамын белгілейміз. Облысты шексіз ұсақ бөліктерге бөлу және оған сәйкес облысты бөлу п санының шексіз артуынан тұратын процесті «
облысын бөлу қадамы нөлге ұмтылады» деп сипаттауға болады.
Егер
облысының
бөлу қадамы нөлге ұмтылғанда (1) интегралдық қосындының шегі бар болса, онда бұл шекті
функциясының
облысы бойынша екі еселі интегралы деп атайды және
немесе
.
символдарымен белгілейді. Мұндағы
- интеграл астындағы функция,
- интегралдау облысы, x және y - интегралдау айнымалылары,
(dxdy) - аудан элементі. Осыдан, анықтама бойынша
егер бұл шек бар болса.
екі еселі интегралы бар
функциясы
облысында интегралданады деп аталады.
1. 2 Екі еселі интегралдың бар болуы және қасиеттері
Шынында да, барлық функциялар үшін
облысы бойынша екі еселі интеграл табылады ма, егер жоқ болса, қандай функциялар үшін екі еселі интегралдар анықталады деген сұрақ туындайды.
облысында интегралданатын функция
тұйық облысында шектелген болуы керек, өйткені кері жағдайда
нүктелерін таңдауда интегралдық қосындыны абсолют шамасы бойынша өте үлкен етіп алуға болады, яғни
нөлге ұмтылғанда интегралдық қосындының шегі болмас еді.
Екі еселі интегралдың бар болуының жеткілікті шарттарын қарастырайық.
Теорема 1.
Егер
функциясы
тұйық облысында үзіліссіз болса, онда
екі еселі интеграл бар болады.
Бұл теореманың дәлелдеуін анықталған интегралдың сәйкес теоремасына сай дәлелдеуге болады.
Теорема 2.
Егер
функциясы
тұйық облыста шектелген және үзіліссіз болса, онда
екі
еселі интеграл бар болады. Төмендегі функциялар (1 немесе 2) теореманың шарттарын қанағаттандырады деп ұйғарып, екі еселі интегралдың негізгі қасиеттерін келтірейік. Бұл қасиеттердің дәлелдеуін анықталған интегралдың қасиеттеріне сай дәлелдеуге болады.
1.
екі еселі интегралы интегралдау айнымалысын белгілеуден тәуелді емес.
2. k тұрақты көбейткішті екі еселі интеграл таңбасы алдына шығаруға болады:
3. Екі функцияның қосындысының екі еселі интегралы осы функциялардың екі еселі интегралдарының қосындысына тең:
4. Егер
облысы
және
облыстарына бөлінсе, онда
5. Егер барлық
облысында
онда
6. Егер барлық
облысында
онда
7. Егер
функциясы
облысында берілсе, онда
8.
1. 3 Екі еселі интегралдың геометриялық мағынасы
Цилиндрлік дененің көлемін табу есебіне оралайық. Қарастырып отырған
функциясы тұйық
облысында үзіліссіз болса, онда
нүктелері
тұйық облыстарында қандай болса да
функциясы
облыстарында (m
i
) ең кіші немесе (M
i
) ең үлкен мәндерін қабылдайтындай етіп,
нүктелерін таңдай отырып, келесі теңдікті аламы:
және
қосылғыштары табаны
болатын цилцндр көлеміне тең.
және
қосындылары сәйкесінше іштей және сырттай сызылған V цилиндрлік денелердің көлемдеріне тең.
бұл көлемдер ортақ шекке ие болады, берілген дене кубталады және оның V көлемі екі еселі интегралға тең:
Осыдан екі еселі интегралдың геометриялық мағынасы:
тұйық облысында теріс емес, үзіліссіз
функциясының
екі еселі интегралы жоғарыдан
бетпен шектелген, XOY жазықтығындағы табаны
болатын цилиндрлік дененің көлеміне тең. Егер
облысында
болса, онда цилиндрлік дене табаны
ал биіктігі
болатын цилиндрді білдіреді. Оның көлемі сан жағынан
табанының ауданына тең. Осылайша, екі еселі интеграл арқылы
облысының ауданын бұрыннан белгілі формуламен есептейміз
немесе
.
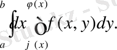
1. 4 Екі еселі интегралды есептеу жолдары
Екі еселі интегралды есептеу анықталған интегралды есептеуге келтіріледі.
Теорема 1.
Егер
функциясы x=a, y=b (a<b),
и
- [a, b] кесіндісінде үзіліссіз функциялар, және осы кесіндіде
) сызықтарымен шектелген
тұйық облысында үзіліссіз болса, онда
(1)
екі еселі интегралды есептеуге мүмкіндік беретін теңдік орындалады.
(1) теңдігінің оң жағындағы қайталанбалы интегралы келесі түрде жазылады:
Теорема 2.
Егер
функциясы y=c, y=d (c<d),
Equation. 3
Equation. 3
Equation. 3 және
- [c, d] кесіндісінде үзіліссіз және
сызықтармен шектелген
тұйық облысында үзіліссіз болса, онда
(2)
екі еселі интегралды есептеуге мүмкіндік беретін теңдік орындалады.
сурет 3. 8. 1
Екі еселі интегралды қайталанбалы интеграл арқылы (2) формуласы бойынша бірінші ішкі интеграл
есептеледі, мұнда у тұрақты, өзгеру шектері у-тен тәуелді (
облысы үшін) . Содан кейін у-тен тәуелді функция
аралығында у бойынша интегралданады.
Мысалы:
интегралын
сызықтарымен шектелген
облысы бойынша есепте.
2 теоремасының шарттары орындалып тұрғандықтан, (2) формуласын қолданамыз:
.
сурет 3. 8. 2
Егер
функциясы
тұйық облысында үзіліссіз, 1 және 2 теореманың шарттарын бір уақытта қанағаттандырса, онда
екі еселі интегралын есептеуде интегралдау ретінің кез келгенін алуға болады (сыртқы интеграл x бойынша, ішкі интеграл y бойынша немесе керісінше) . Мысалы, егер облыс шекарасының ОХ осіне параллель әрбір түзуі және Оу осіне параллель әрбір түзуі тек екі нүктеде қиылысса (3. 8. 2. суреті), онда (1) және (2) формулаларын да қолдануға болады, яғни
Егер
облысы - x=a, x=b, y=c және y=d түзулерімен шектелген тік төртбұрыш, ал f(x, y) -
тік төртбұрышында үзіліссіз болса, онда (1) және (2) формулаларын қолданып,
аламыз.
Мысалы, егер
-
тік төртбұрыш болса, онда
1. 5 Екі еселі интегралдың кейбір геометриялық және механикалық қолданулары
... жалғасы
- Іс жүргізу
- Автоматтандыру, Техника
- Алғашқы әскери дайындық
- Астрономия
- Ауыл шаруашылығы
- Банк ісі
- Бизнесті бағалау
- Биология
- Бухгалтерлік іс
- Валеология
- Ветеринария
- География
- Геология, Геофизика, Геодезия
- Дін
- Ет, сүт, шарап өнімдері
- Жалпы тарих
- Жер кадастрі, Жылжымайтын мүлік
- Журналистика
- Информатика
- Кеден ісі
- Маркетинг
- Математика, Геометрия
- Медицина
- Мемлекеттік басқару
- Менеджмент
- Мұнай, Газ
- Мұрағат ісі
- Мәдениеттану
- ОБЖ (Основы безопасности жизнедеятельности)
- Педагогика
- Полиграфия
- Психология
- Салық
- Саясаттану
- Сақтандыру
- Сертификаттау, стандарттау
- Социология, Демография
- Спорт
- Статистика
- Тілтану, Филология
- Тарихи тұлғалар
- Тау-кен ісі
- Транспорт
- Туризм
- Физика
- Философия
- Халықаралық қатынастар
- Химия
- Экология, Қоршаған ортаны қорғау
- Экономика
- Экономикалық география
- Электротехника
- Қазақстан тарихы
- Қаржы
- Құрылыс
- Құқық, Криминалистика
- Әдебиет
- Өнер, музыка
- Өнеркәсіп, Өндіріс
Қазақ тілінде жазылған рефераттар, курстық жұмыстар, дипломдық жұмыстар бойынша біздің қор #1 болып табылады.

Ақпарат
Қосымша
Email: info@stud.kz