Жазықтықтың теңдеулері


Жазықтықтың теңдеулері
1)
Берілген
М
0
(x
0
; y
0
; z
0
)
нүктесі арқылы өтетін және нольдік емес нормаль
векторына перпендикуляр болатын жазықтықтың теңдеуі
A(x - x 0 ) + B(y - y 0 ) + C(z - z 0 ) = 0 (1)
2) Жазықтықтың жалпы теңдеуі
Ax + By + Cz + D = 0, (2)
мұнда А2 + В 2 + С 2 ≠ 0.
Жалпы теңдеумен анықталған жазықтықтың орналасуы:
а) D = 0 , сонда Ау + Сz = 0 жазықтығы бас нүктеден өтеді. Керісінше тұжырым да дұрыс.
б) А = 0 , сонда Ву + Сz + D = 0 жазықтығы абсциссалар (Ох) осіне параллель болады. осы сияқты, В = 0 болғанда (2) теңдеу Оу осіне, ал С = 0 болғанда, Оz осіне параллель жазықтықты анықтайды.
в) А = 0 , В = 0 , сонда Сz + D = 0 - апликаталар (Оz) осіне перпендикуляр (Оху) жазықтығына параллель болатын жазықтықтың теңдеуі.
А = 0 , В = 0 , сонда Сz + D = 0 жазықтығы Оу осіне перпендикуляр ( Оху жазықтығына параллель) ;
В = 0 , С = 0 , сонда Ах + D = 0 жазықтығы Ох осіне перпендикуляр ( Оху жазықтығына параллель) болатын жазықтықты анықтайды.
г) А = 0 , С = 0 , сонда (2) теңдеу Ох осі арқылы;
В = 0 , D = 0 , сонда (2) теңдеу Оу арқылы;
С = 0 , D = 0 , сонда (2) теңдеу Оz осі арқылы өтеді.
д) А = 0 , В = 0 , D = 0 , сонда (2) теңдеу Оху жазықтығымен беттеседі
(z = 0) ;
А = 0 , С = 0 , D = 0 , сонда (2) теңдеу Охz жазықтығымен беттеседі
(у = 0) ;
В = 0 , С = 0 , D = 0 , сонда (2) теңдеу Оуz жазықтығымен беттеседі
(х = 0) .
3) A 1 x + B 1 y + C 1 z + D 1 = 0 және A 2 x + B 2 y + C 2 z + D 2 = 0 теңдеулерімен анықталынған екі жазықтық арасындағы бұрышты анықтайтын формула
(3)
Екі жазықтықтың параллель болу белгісі
;
Екі жазықтықтың перпендикуляр болу белгісі
A 1 A 2 + B 1 B 2 + C 1 C 2 = 0
4) М 0 (x 0 ; y 0 ; z 0 ) нүктесінен Ax + By + Cz + D = 0 теңдеуімен анықталатын жазықтыққа дейінгі қашықтықты есептейтін формула
. (4)
5) Берілген А 0 (x 1 ; y 1 ; z 1 ), В(x 2 ; y 2 ; z 2 ) және С(x 3 ; y 3 ; z 3 ) нүктелері арқылы өтетін жазықтықты анықтайтын формула
. (5)
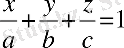
6) Жазықтықтың «кесінділерде» берілген теңдеуі
. (6)
мұнда
.
7) Жазықтықтың нормаль түрдегі теңдеуі
.
(7)
Мұнда, cosα, cosβ, cosγ - координаттар бас нүктесінен жазықтыққа бағытталған нормаль вектордың бағыттаушы косинустары; р > 0 - О(0; 0; 0) нүктесінен жазықтыққа дейінгі ара қашықтық.
Ax + By + Cz + D = 0
теңдеуін
нормальдаушы көбейткішке көбейтіп, жазықтықтың нормаль түрдегі теңдеуін аламыз (
μ
- дың таңбасы
D
- нің таңбасына қарама-қарсы етіп таңдап алынады ) .
3 - мысал
.
М (2; -1; 4)
нүктесінен өтетін және
векторына перпендикуляр болатын жазықтықтың теңдеуін жазу керек.
Шешуі: (1) формуланы пайдаланамыз: А = 1, В = 3, С = -2.
1· (х - 2) + 3 · (у + 1) - 2· (z - 4) = 0 → х - 2 + 3у + 3 - 2z + 8 = 0 →
→ х + 3у - 2z + 9 = 0.
4 - мысал . 2х - 3у + z + 1 = 0 және 3х + у - 2z + 7 = 0 жазықтарының арасындағы бұрышты анықтау керек.
Шешуі: (3) формуланы пайдаланамыз: А 1 = 2, В 1 = -3, С 1 = 1 және
А 2 = 3, В 2 = 1, С 2 = -2 . Сонда
.
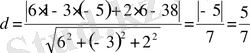
5 - мысал . М 0 (1; -5; 6) нүктеден 6х - 3у + 2z - 38 = 0 жазықтыққа дейінгі ара қашықтықты табу керек.
Шешуі: (4) формуланы пайдаланамыз: А = 6, В = -3, С = 2.
.
6 - мысал . М(1; -2; 3) нүктесі арқылы өтетін 5х - 3у + 2z - 10 = 0 жазықтығына параллель болатын жазықтықтың теңдеуін жазу керек.
Шешуі: (1) формула бойынша
A(x - 1) + B(y + 2) + C(z - 3) = 0.
Ізделінді жазықтықтың нормаль векторы берілген жазықтықтың нормаль векторымен сәйкес келеді (екі параллель болу белгісі) : А = 5, В = -3, С = 2. Сонда
5(x - 1) - 3(у + 2) + 2(z - 3) = 0 → 5х - 3у + 2z - 17 = 0.
7 - мысал . М 1 (2; 3; 3), М 1 (2; 0; -5), М 1 (0; 3; -5) нүктелері арқылы өтетін жазықтықтың теңдеуін жазу керек.
Шешуі: (5) формуланы пайдаланамыз:
.
8 - мысал . М(3; -1; -5) нүктесінен өтіп 3х - у + z + 5 = 0 және
х - 4у + 3z + 2 = 0 жазықтықтарына перпендикуляр болатын жазықтықтың теңдеуін жазу керек.
Шешуі:
Берілген жазықтықтардың нормаль векторларының
және
векторлық көбейтіндісі ізделінді жазықтықтың нормаль векторы болатындығына көз жеткізу қиын емес
;
(1) формуланы пайдаланамыз:
1· (х - 3) - 8 · (у + 1) - 11 · (z + 5) = 0 → х - 8у - 11z - 66 = 0
... жалғасы- Іс жүргізу
- Автоматтандыру, Техника
- Алғашқы әскери дайындық
- Астрономия
- Ауыл шаруашылығы
- Банк ісі
- Бизнесті бағалау
- Биология
- Бухгалтерлік іс
- Валеология
- Ветеринария
- География
- Геология, Геофизика, Геодезия
- Дін
- Ет, сүт, шарап өнімдері
- Жалпы тарих
- Жер кадастрі, Жылжымайтын мүлік
- Журналистика
- Информатика
- Кеден ісі
- Маркетинг
- Математика, Геометрия
- Медицина
- Мемлекеттік басқару
- Менеджмент
- Мұнай, Газ
- Мұрағат ісі
- Мәдениеттану
- ОБЖ (Основы безопасности жизнедеятельности)
- Педагогика
- Полиграфия
- Психология
- Салық
- Саясаттану
- Сақтандыру
- Сертификаттау, стандарттау
- Социология, Демография
- Спорт
- Статистика
- Тілтану, Филология
- Тарихи тұлғалар
- Тау-кен ісі
- Транспорт
- Туризм
- Физика
- Философия
- Халықаралық қатынастар
- Химия
- Экология, Қоршаған ортаны қорғау
- Экономика
- Экономикалық география
- Электротехника
- Қазақстан тарихы
- Қаржы
- Құрылыс
- Құқық, Криминалистика
- Әдебиет
- Өнер, музыка
- Өнеркәсіп, Өндіріс
Қазақ тілінде жазылған рефераттар, курстық жұмыстар, дипломдық жұмыстар бойынша біздің қор #1 болып табылады.

Ақпарат
Қосымша
Email: info@stud.kz