Турбина маркасы: к-500-240 хтз (цвд)


Турбина маркасы: К-500-240 ХТЗ (ЦВД)
Берілгені:
С0 = 80 м/с ρ = 0, 1
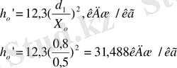
болса, соплоның биіктігі 20 мм аз болады, яғни l<0, 8 деп есептейміз.
2. 2. і-s Диаграммада жылу құбылысын салу.
1. Су мен субудың термодинамикалық кестесінен берілген Ро, to арқылы будың энтальпиясын іо анықтаймыз.
2. Рo’ өткір бу қысымын реттеуіш саптамасына дейінгі мәнін анықтаймыз.
(1)
3. 1-нүктеден төмен Рк мен қиылысқанша түсіреміз бұл нүкте А нүктесін береді.
(2)
4. Рz турбинаның соңғы сатысының қысымын есептейміз ∆Рn түтікшелердегі қысым шығынын есептей отырып:
(3)
5. Мына қатынасты есептеп 2-сурет бойынша турбинаның ішкі ПӘК-н анықтаймыз.
6. Турбинадағы қолданылған жылу жоғалуын анықтау.
(4)
7. Шығу түтікшесінен кейінгі бу энтальпиясын анықтаймыз.
(5)
8.
9. Шығу жылдамдығындағы жылу жоғалуын есептейміз.
(6)
10. Турбинаның соңғы сатысындағы бу энтальпиясын анықтаймыз.
(7)
11.
сызығымен
және
= const нүктесінің қиылысқан жері 6 және 5 нүктені береді
.
- Турбинаға кететін бу шығырын анықтау.
1. Турбинаның механикалық ПӘК-н
деп қабылдаймыз.
2. Турбинаның генератор ПӘК-н
деп қабылдаймыз.
3. Турбинаға кететін бу шығынын анықтаймыз.
(8)
- Реттеуіш сатыны есептеу.
1. Противтен ретеуіш сатының орташа диаметрін dpc аламыз. dpc=0, 95.
2. Қатынасты қарастырамыз
(9)
3. Сатының орташа диаметріне айналу жылдамдығын анықтаймыз.
(10)
4. Саты саптамасынан будың фиктивті (Со) жылдамдықпен шығуын есептейміз.
(11)
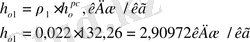
5. Сатыдағы будың болулық жылу жоғалуын анықтаймыз.
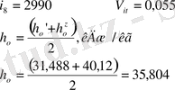
(12)
6. Σр сатының соммалық реакция дәрежесін таңдаймыз.


7. Саптама торындағы болулық жылу төмендеуін анықтаймыз.
(
13)
8. i-s диаграммасы арқылы будың саптамадан шыққандағы күйін анықтаймыз.
9.
қысымдар қатынасын есептеп оны критикалық қатынаспен салыстырамыз.
10. Саптама торынан будың теориялық ағып шығу жылдамдығын анықтаймыз.
(14)
11. Комплексті табамыз.
(15)
12. Парциалды дәреженің оптималды мәнін анықтаймыз.


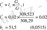
13. Саптама торының биіктігін анықтаймыз.
(16)
14. Саптаманың сығылу жыл-қ коэффициентін анықтаймыз (lc-ға байланысты анықтаймыз) :
15. Саптама торында жылу шығынын анықтау.
(17)
16. 4 сурет бойынша сатылардың ПӘК-ін анықтаймыз.
17. Ретеуіш сатысындағы жылу жоғалуын анықтаймыз.
(18)
18. Саптама торындағы бу энтальпиясының мәнін анықтау.
(19)
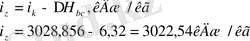
19. Ретеуіш сатысының сыртындағы бу энтальпиясының мәнін анықтаймыз.
(20)
- Қысымның бірінші сатысын есептеу.
1. Бірінші сатының орташа диаметрімен d1 қысымын противтен аламыз.
2. Хо қатынасының мәнін анықтаймыз.
3. Сатыларда келтірілген жылу жоғалуын анықтаймыз.
(21)
4. Сатының орташа диаметрі мен реакция дәрежесін анықтаймыз.
5. Саптама торында келтірілген жылу жоғалуын анықтау.
(22)
6. Саптамадағы будың ағуының теориялық жылдамдығын анықтау.
(23)
7. i-s диаграммасының саптама сыртындағы меншікті көлемі анықталады. Ол үшін 4-нүктеден төмен
мәнін қойып 9 нүктесін табамыз.
8. Сатыдағы саптама қалақшасының биіктігін анықтаймыз.
(24)
9. Жұмысшы қалақшаның биіктігін анықтаймыз.
(25)
10. Дискі түбінің диметірін анықтаймыз.
(26)
11. Кері верностық мәнін есептейміз.
(27)
- Қысымның соңғы сатысын есептеу.
1. і-S диаграмасы арқылы соңғы сатыдағы будың меншікті көлемін анықтаймыз. Ол үшін 5-ші нүктені табамыз.
.
2. Жұмысшы қалақшаның биіктігін анықтаймыз.
(28)
3. Соңғы сатының орташа диаметірін анықтаймыз.
(29)
4. Соңғы сатыдағы келтірілген жылу жоғалуын анықтаймыз.
(30)
5.
мәнін есептейміз.
(31)
- Қысымдар сатысын анықтау және олардың арасындағы келтірілген жылу жоғалуын анықтау.
1. Орташа келтірілген жылу коэффициентін анықтаймыз.
(32)
2. Барлық қысым сатыларындағы келтірілген жылу жоғалуын анықтаймыз.
(33)
3. Барлық қысым сатыларындағы жұмсалған жылу жоғалуын есептейміз.
(34)
4. Қысымдар сатысының ішкі қатысты ПӘК анықтаймыз.
(35)
5. Қысымдар сатысының санының бағасын есептейміз.
(36)
6. Жылудың қайтымдылық коэффициентін есептейміз.
(37)
7. Қысымдар сатысын тұрақтыландырамыз.
(38)
Әр сатының көрсеткіштері арқылы кесте құрамыз.
Сат
№







3. Турбинаның жылулық есептеуінің соңы.
3. 1. Алдыңғы лабиринтті бекітулерден кеткен буды есептеу.
1. Бекітулер диаметрін анықтаймыз.
2. Бекітудегі гребешкі санын анықтаймыз.
(40)
3. Бекітудегі қуыстар ауданын анықтаймыз.
(41)
4. Концебой бекітуі арқылы кеткен бу шығынын есептеу.
(42)
5. Турбинаға кететін толық бу шығынын есуптеу.
(43)
3. 2. Реттеуіш сатыны есептеу.
1. Сатының саптама биіктігін анықтаймыз.
(44)
2.
bc/
c
Қатынасын табамыз.
3.
қатынасын есптейміз.
4. Саптамның шығу ауданын анықтаймыз.
(45)
5. Саптаманың парциалды дәрежесін анықтау.
(46)
6. Тордың меншікті қадамын анықтаймыз.
7. Саптама торының қадамын анықтаймыз.
(47)
8. Саптама торының өстің жалпақтығын анқтаймыз.
(48)
9. Саптама каналының жалпақтығын анықтаймыз.
(49)
10. Тордағы саптама санын анықтаймыз.
(50)
11. Zc жықтап, е порциалдық дәрежесін есептейміз.
(51)
12. 2 кестедегі мәндерге қарап саптама мойнындағы алғашқы бағыттауыш және екінші жұмысшы торның қимасын анықтаймыз.
(52)
а) бірінші жұмышы торының:
(53)
б) бағыттаушы торының:
(54)
в) екінші жұмысшы торының:
(55)
13. Саптама торының 1-ші бағыттаушы және 2-ші жұмысшы торының биіктігін анықтаймыз.
(56)
а) 1-ші жұмысшы венец:
(57)
б) бағыттаушы тор:
(58)
в) 2-ші жұмысшы венец:
(59)
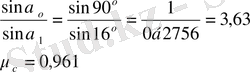
14. Бу ағынының шығу бұрышы.
а) Жұмысшы қалақшаның 1-ші венец:
(60)
б) бағыттаушы қалақша:
(61)
в) жұмыcшы қалақшасының 2-ші венеці:
(62)
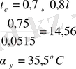
15. Тордың қадамымен келтірілген бұрышын анықтаймыз.
а) бірінші жұмысшы венец
б) бағыттаушы
в) екінші жұмысшы венец:
16. Тордың қадамын анықтаймыз.
a) бірінші жұмысшы венец:
(63)
б) бағыттаушы:
(64)
в) екінші жұмысшы венец:
(65)
17. Қалақша санын анықтаймыз.
a) бірінші жұмысшы венец:
(66)
б) бағыттаушы:
(67)
в) екінші жұмысшы венец:
(68)
18. Тордың остік енін анықтаймыз.
a) бірінші жұмысшы венец:
(69)
б) бағыттаушы:
(70)
в) екінші жұмысшы венец:
(71)
19. Саптамадағы жылдамдық коэффициентін анықтаймыз.
Егер
егер
,
теңдей шамада сақталады.
20. Саптама торының сыртындағы нақты жылдамдықты анықтаймыз.
(72)
21. Реттеуіш сатының соммалық реакция дәрежесін анықтаймыз.
a) бірінші жұмысшы венец:
(73)
б) бағыттаушы:
(74)
в) екінші жұмысшы венец:
(75)
22. Қалақшалардағы болулық жылу жоғалуын анықтау.
a) бірінші жұмысшы венец:
(76)
- Іс жүргізу
- Автоматтандыру, Техника
- Алғашқы әскери дайындық
- Астрономия
- Ауыл шаруашылығы
- Банк ісі
- Бизнесті бағалау
- Биология
- Бухгалтерлік іс
- Валеология
- Ветеринария
- География
- Геология, Геофизика, Геодезия
- Дін
- Ет, сүт, шарап өнімдері
- Жалпы тарих
- Жер кадастрі, Жылжымайтын мүлік
- Журналистика
- Информатика
- Кеден ісі
- Маркетинг
- Математика, Геометрия
- Медицина
- Мемлекеттік басқару
- Менеджмент
- Мұнай, Газ
- Мұрағат ісі
- Мәдениеттану
- ОБЖ (Основы безопасности жизнедеятельности)
- Педагогика
- Полиграфия
- Психология
- Салық
- Саясаттану
- Сақтандыру
- Сертификаттау, стандарттау
- Социология, Демография
- Спорт
- Статистика
- Тілтану, Филология
- Тарихи тұлғалар
- Тау-кен ісі
- Транспорт
- Туризм
- Физика
- Философия
- Халықаралық қатынастар
- Химия
- Экология, Қоршаған ортаны қорғау
- Экономика
- Экономикалық география
- Электротехника
- Қазақстан тарихы
- Қаржы
- Құрылыс
- Құқық, Криминалистика
- Әдебиет
- Өнер, музыка
- Өнеркәсіп, Өндіріс
Қазақ тілінде жазылған рефераттар, курстық жұмыстар, дипломдық жұмыстар бойынша біздің қор #1 болып табылады.

Ақпарат
Қосымша
Email: info@stud.kz