Жылқы тарихы, жылқы өсіру және оның шаруашылығы


Жылқы тарихы, жылқы өсіру және оның шаруашылығы
Аубакиров Х. -к. с. х. н
ЖЫЛҚЫ (Eguus caballus) - тақ тұяқтылар отрядының бір тұқымдасы. Қазба қалдықтары Ж-ның б. з. б. 7000 жылдан бұрын-ақ Азия мен Еуропада қолға үйретілгендігін дәлелдейді. Жылқы тұқымдасы есек, құлан, зебр, қазіргі Жылқы болып 4 туысқа бөлінеді. Жабайы Жылқының сүйегі Францияның солт-нен көп табылған. Америкада жабайы Ж. болмаған, қолға үйретілген Ж-лар кейін тағыланып (мустанг деп аталады) кеткен. Қазір Моңғолияда ғана жабайы Жылқы үйірлері кездеседі. Оны Пржевальский Ж-сы (қ. Керқұлан) деп атайды. Көптеген ғалымдардың зерттеулері бойынша кәдімгі Ж-ның ең жақын тегі осы керқұлан. Қолға үйретілген кәдімгі Ж-ның (Eguus caballus) шаруашылықта маңызы зор. Ол - ет және қымыз өндіру, салт міну, арбаға не шанаға жегу, спорттық бағыттарда өсіріледі. Шоқтығына дейінгі биіктік 50-185 см, салмағы 60-1500 кг болады. Жылқы орта есеппен 18-20 жыл, кейде 40 жылға дейін жасайды. Түсі қылаң, бараң, ала болып бөлінеді. Қылаңға ақбоз, боз, бурыл, теңбіл, құбақан, сары, құла, құла жирен, шабдар, көк, сұр, құлагер, қызыл, нарқызыл, т. б. Жылқылар; баранға торы, қара, қаракөк, қарасүр, қоңыр, жирен, күрең, т. б. Жылқылар; алаға сарыала, сүрала, көкала, керала, қарала, қоңырала, күреңала, т. б. жылқылар жатады. Алыстан қарағанда жылқының денесіндегі бозғыл түктер басым болса, ол қылаң жылқы деп аталады. Қошқыл түстер көбірек болса, баранға жатады. Ерекше кездесетін түстер болады. Мысалы, шұбар, бозшұбар, көкшұбар, қарашұбар, т. б. Жылқы будандары қашыр, қарта қашыр (лошак), құланоид (құлан мен жылқы буданы), зеброид (зебр мен жылқы буданы) деп аталады. Жылқы жүк жылқысы (Владимир жылқысы, т. б. ), мініс Жылқысы (Араб жылқысы, ахалтеке, т. б. ), жазық дала жылқысы (Дон жылқысы, Буденный жылқысы, Қостанай жылқысы, моңғол жылқысы, қазақ жылқысы, т. б. ), тау жылқысы (кабардин, қарабақ, қырғыз, алтай жылқылары, т. б. ), солтүстік дала жылқысы (витский, эстон, якут жылқылары, т. б. ) болып ажыратылады. Дүние жүзінде жылқының 250-дей түрі бар. Қазақстанда жылқының 16 түрі өсіріледі. Еуропа зерттеушілері Н. Бахметьевтің (1870), С. Вогактың (1873), А. Гердердің (1875), А. Вилькинстің, т. б. еңбектерінде жазылып қалған. 19 ғ-дың 80-жылдары Австрия подполковногі А. Дандевильдің Орынбор даласында арнайы сапар шегіп, Австрия армиясы үшін 3000 қазақ жылқысын сатып алғаны туралы дерек сақталған. Қазақ даласында өсірілген. Қазақ халқы жылқы малын 3 топқа бөлген. Белгілі этнограф М. Бабажановтың 1871 ж. Ресейдің «Журнал охота» (№6, 7, 11, 12) және «Журнал коневодство и коннозаводство» (№4, 5, 6) басылымдарында жарық көрген мақалдарында қазақ халқы өсіретін жылқыларды үш топқа бөледі: 1) күшті, еті тығыз аттар. Ауыр жұмыстарға, жүк тартуға, көші-қоңға пайдаланылған; 2) жүрдек аттар. Күші мығым ат пен бәйге атының арасындағы, салт жүріске жарамды жылқылар; 3) жүйрік аттар. Осы соңғы топтың өзін автор қарғыншыл (2, 4, 8 верст қашықтыққа ғана шабатын ұшқыр ат), қашағаншыл (бұл да аз қашықтыққа, асауды қайыруға пайдаланылады) ат, шын жүйрік ат деп бөледі. Зерттеушінің бұл пікірі қазақ халқының жылқы шаруашылығындағы белгілі бір жүйе болғандығын қуаттайды. Қазақтар бәйгеге қосатын жүйрік жылқыларды тұлпар, арғымақ, сәйгүлік деп әлпештеп, ерекше күтімге алған. Ал ауыр жүк артуға, алыс жолға төзімді жылқыны қазанат деп атап, оны да ерекше бағаланған. Ал еті мен сүті үшін өсіретін қалған жылқылар жабы деп аталған. Қазақтың жабы жылқысы жайылымда жақсы семіреді. Семіртіп сойған жабы жылқыдан 53-57%, кейде 60% ет береді.
Ж. з. асыл тұқымды жылқыны ат спорты жарыстарына қосу және шет елге сату үшін өсіреді. Асыл тұқымды жылқыны бөлек бағу, жылқы тұқымын асылдандыру және сақтау шаралары дәстүрлі қазақ қоғамында ертеден қалыптасқан (қ. Жылқы) . 20 ғ-дың бас кезінде Қазақстанда алғашқы қазіргі типтегі жылқы з-тары ашылды. 1920-22 ж. Петропавлда, Қостанайда, Ақмолада, кейін Көкшетауда жылқы з-тары ұйымдастырылды. 20 ғ-дың 80-жылдары Қазақстанда 19 Ж. з. жұмыс істейді, олардың 8-і ет және қымыз өндіру бағытында, 2-уі желісті, 9-ы міңістік жылқы өсірумен айналысты. Бұларда 16 мың (5, 9 мыңы бие) асыл тұқымды жылқы өсіріледі. Қазіргі кезде 13 жылқы зауыттары жұмыс істеуде (2002) .
ЖЫЛҚЫ ӨСІРУ, жылқы шаруашылығы - мал шаруашылығының негізгі бір саласы. Бұған жылқы санын көбейту, сапасы мен өнімін арттыру, әр түрлі мақсаттарда (ет және қымыз өндіруге, күш көлігі ретінде, спорттық жарыстарға қосуға, шет елдерге сатуға, т. б. ) тиімді пайдалану жатады. Ж. ө. және бие сауу қазақ халқының ата кәсібі болып табылады. Қазақ халқы жылқыны үйірге (25-30 бие) бөліп, жақсы тұқымның айғыр салатын болған. Мұндай айғырлар үйірін шашау шығармай, ит-құсқа жегізбей, қысы-жазы қорғайды. Бірнеше үйір қосылып қос құраған. Бір қоста 500-ден 1000-ға дейін жылқы болады. Айғырдан шыққан биелер 10 айдан кейін (сәуір-мамыр айларында) құлындайды. Құлындар отығып, жетілген кезінде байланып, бие сауылады. Алғашқы кезде бие тәулігіне 3 немесе 4 рет сауылады, ал онан кейін саууды көбейте береді (5-6 ретке дейін) . Ағылатын бие құлынымен бірге жайылымда бағылады. Қазақ халқы биені 6 ай бойы сауады. Бие қымызының химиялық құрамы үнемі тұрақты бола бермейді, ол малдың физиологиялық күшіне, азықтандырылуына, күтіп-бағылуына және тұқымына қарай өзгеріп отырады. Қымызда 1, 8-2, 2% - тей белок болады, сондай-ақ адам денсаулығына қажетті витаминдердің барлығы кездеседі. Әсіресе қымыз А және С витаминдеріне бай (қ. Қымыз) . Жылқы етінің сапасы өте жоғары, сіңімді. Сондай-ақ, жылқыдан көптеген мал ауруларын емдеу үшін қолданылатын қан сарысуы алынады. Қазір Қазақстанда 1 млн-нан астам жылқы ө сіріледі (2002) . Жылына олардан 40 мың т-дан астам ет, 35 мың т-ға жуық қымыз өндіріледі. Жылқы өнімдердің жалпы мамандандырылу бағыты республикамыздың табиғи - шаруашылық аймақтарына байланысты айқындалған. Жылқының асыл тұқымдарын көбейту мақсатында Қазақстанда 13 асыл тұқымды жылқы зауыттары (Қызылорда, Маңғыстау, Батыс Қазақстан, т. б. облыстарда), жылқы тұқымын асылдандыратын 39 мемлекет шаруашылықтар (Ақтөбе обл., Атырау обл., т. б. ) ат жарыстыратын алаңдар және асыл тұқымды жылқы фермалары ұйымдастырылған. Қазақстанда асыл тұқымды жылқы саны 9 мыңнан асты (2000) . Республикада жылқының міңістік, сыдыра желісті тұқымдары және қазақ жылқысы өсіріледі. Дала және құрғақ дала аймақтарында жылқы негізгінен жұмыс көлігі ретінде пайдаланылады. Қуаң, қуаңшылық және тау бөктеріндегі аймақтарда ауа райы жылы, жылқыны жыл бойы жайылымда бағудың мүмкігшілігі бар. Бұл жерлерде жылқы ш. ет. алу мақсатында ұйымдастырылған. Қазақстанның кең байтақ жайылымы бар орт., оңт, . шығыс және батыс аймақтарының көптеген аудандарында жылқы үйірлеп бағылады. Жылқыны үйірлеп бағудың бірнеше әдісі бар. Бос бағуда жылқы жыл бойы жайылымда болады, қатты боран не көк тайғақ болғанда ғана пішен, жем беріледі. Табындап баққанда жылқы жынысына және жасына қарай табынға бөлінеді. Шаруашылықтағы жылқының санына байланысты табында 150-180 бие, 180-200 бойдақ жылқы, ал жазық далада 350 жылқыға дейін болады. Боран және аяздан қорғау үшін жайылымда жеңіл-желпі жылқы қора, қалқа, ықтасын лапас салынады, құдық қазылады, суаттар жасалады, Жайылым орталығына әр жылқыға 3-5 ц пішен, 0, 5-1 ц жем қорын дайындайды, Құлынды 10-12 айлығында енесінен айырады. Қорада не қоршалған шарбақата 1 айғырға 20-25 биеден үйірлеп шығылыстырады. Қолда ұстап баққан жылқыны қыста ашық, жылы күндері жайылымға шығарады, қатты боран, аязды күндері қорада ұстап пішен және жем береді. Орта есеппен әр жылқыға 30 ц пішен, 6-8 ц жем дайындайды. Қолда ұстап баққанда бие мен айғырды сұрыптап таңдап алып шағылыстырады және қолдан ұрықтандырады. Жылқыларды 1, 5 жасынан мінуге, жегуге үйретеді, үйірдегі жылқыны таңбалайды. Биелерді қорада құлындатады. Құлындаған биелерді күн жылынғанша кұлынымен бірге қорада ұстап, құнарлы пішен мен жем береді. Құлынды 6-8 айлығында енесінен айырып бөлек күтеді. Қазақстанның оңт., орталық және батыс аймақтарында бие сәуір-мамырда құлындайды. Ерте туған құлын күзге дейін өсіп жетіледі де, қыста бағуға көнбісті келеді. Ет өндіру бағытында жылқы өнімін кезінде жыл басында табын құрамында 35% бие, 6% байтал, 14% ұрғашы тай, 14% ұрғашы жабағы, 2% айғыр, 5% құнан, 10% еркек тай, 14% еркек жабағы; ет-сүт бағытында өсіргенде 45% бие, 5% байтал, 5% ұрғашы тай, 18% ұрғашы жабағы, 2% айғыр, 3% құнан, 4% еркек тай, 18% еркек жабағы болуы қажет.
Қымыз фермаларында бие азықтандыруды мөлшерлеу
Сауын биелерін қоректік заттарды қажет ету мөлшерді емізулі биелер сияқты тірілей салмақтарына, тәуліктік сүт өніміне, 1 кг сүтіндегі қоректік заттардың мөлшеріне, берілген азықтардағы қоректік заттарды сіңіруіне қарай анықталады. Ал, сауын биелерін биелерді азықтандырудың емізулі биелерді азықтандырудан айырмашылығы - құлыны емгеннен гөрі, қолмен және машинамен сауғанда сүт өнімділігінің артық болатындығы. Биенің тәуліктік сүт өнімділігі оның тірілей салмағының 3% - ындай ғана. Оның желінінде пайда болған сүттің 50-70%-ын құлыны емеді де, қалғаны сауылып алынады. Мұндай, биелердің сүт өнімділігі төмендейді құлынды ертерек отығуға мәжбүр етеді.
Мерзімдік азық үлестерінде қоректік заттар жеткіліксіз болса, биелер артықтайды, ал көп болса семіреді. Азықтандыру деңгейлеріне қарай, мерзімдік азық үлестеріндегі қуат пен басқа да қоректік заттарды біртіндеп арттырып отыратындай етіп, сауын биелерін 3-4 топқа бөледі.
Сауылған сүтінің көлемі артып, қондылығы төмендей бастаған биелерді азықтандыру деңгейі жоғарырақ топқа, ал семіріп кетіп, сүт өнімділігі төмендегендерін азықтандыру деңгейі төменірек топқа ауыстырады. 100 кг тірілей салмағына шаққанда, емізулі сауын биелеріне орта есеппен 25, 0 МДж алмастан қуат керек болады.
Кесте 1
Сауын биесінің қысқы кезеңдегі тәуліктік азық үлесінің шамамен алғандағы мөлшерлері
Көрсеткіштер
Тірілей салмағы, кг
400
500
600
Тәуліктік азық улесінің қурамында:
19 .
В 3 витамині (пантотен
қышқ. ), мг
В 6 витамині (пиридоксин), мг
Қыста (1-кесте) жайылым шөптерінің орнын 5-9 кг көпжылдық шөптер пішенімен, шырынды азықтармен (5-10 кг сүрлем, 3- 5 кг малазығындық сәбіз) алмастырады. Құнарлы азықтарды да осындай көлемде береді.
Бие буаздығының 9-айынан бастап, оларды азықтандыру мөлшерін барлық қоректік заттар бойынша 6-7, 5% арттырады. Мұндай жағдайда, әп 100 кг тірілей салмағына 25, 56-26, 95 МДж алмастан қуаттан келеді. Сүтену кезеңі аяқталғаннан кейін, қымыз фермасындағы қысыр биелерді жұмыс аттарына арналған мөлшермен азықтандырады.
Биелердің тәуліктік сүт өнімділігі 8-20 литр аралығында ауытқиды. Сондықтан, сауынды ұйымдастырғанда, мейлінше сүтті биелерді таңдап алады да, сүт өнімділігінің орташа көрсеткіш көтереді. Сүт өнімділігін көтеруде биелерді сүтейтудің маңызы зор, Сүтейту нәтижелі болуы үшін, толыққұнды азықтандыру және уақытылы сауу қажет. Сауын уақыты кешіктірілсе, желінді кернеген сүттің одан әрі көбірек шығуына қысым жасалынады.
Биені сауу кезіндегі жылдамдық - ең басты табыс, ал керісінше жағдайда, сүт мөлшері азаяды. Биенің сүт беруі тез өткен сайын, оның сауылатын кезі келгенін сезіну түйсігі тезірек қалыптасады. Айқай-шудың әсерінен, ауырсыну, т. б. жағдайдлардан кейбір биелердің сүті кідіріп қалады. Биелердегі мұндай қолайсыздықты құлынын салу және ол сауылатын ортада қолайлы жағдай туғызу жолымен жояды.
Биелерді тек күндіз ғана сауып, түнде құлындарымен бірге ұстайды. Биелердің сүттілігі тұқымдық және жеке қасиеттеріне, бағып-күту, сондай-ақ азықтандыру жағдайларына, сүтену өзгешелігіне, дене бітімнің, жасының, сымбатының және желін көлемнің ерекшелігіне байланысты болады.
Жабы тектес қазақы биелердің сүтенген 5 ай ішіндегі сүт өнімділігі орта есеппен 2170 л (тәуліктік орташа өнімділігі 14, 2), қазақы - ауыр жүк тартатын тұқым биелерінікі - 2530 л (тәулігіне 16, 5 л), қазақы-желісті тұқым биелерінікі - 1800 л (тәулігіне 12, 5л), қазақы -міністік тұқым биелерінікі - 1530 л (тәулігіне 10, 2 л) . Әр тұқым мен тұқымдық топ ішіндегі биелердің тәуліктік сүт өнімділігінің мөлшерінде үлкен айырмашылықтар болады, мұның өзі оларды осы белгісі бойынша іріктеп алып, жылқының мол өнімді тип тобын құруға мүмкіндік береді. Мәселен, қазақы биелердің тәуліктік сүт өнімділігі 8-18 л аралығында, қазақы-ауыр жүк тартатын тұқым биелерінкі 12-15 л аралығында ауытқиды, т. с. с.
Сиырлар сияқты, биелердің де бүкіл сүттену кезеңі бойындағы сүттілігі тұрақты емес. Биелердің алғашқы айлардағы өнімділігі шамамен бір деңгейде болса, үйіріліп баққанда сүтенуінің 4-ші айынан, ал атпен жүріп баққанда
3-6- шы айларынан бастап өнімділігі азая береді. Егер сүтену кезеңінің бірінші айындағы сүттілігін 100% десек, екінші айында орта 95-99, үшіншісінде - 90-94, төртіншісінде - 85-90, бесіншісінде -60-80, алтыншысында - 40-50, жетіншісінде - 30-35 және сегізіншісінде - 5-15% ғана болады.
Сауу үшін биелердегі іріктеген кезде, ұзақ уақыт бойы тұрақты түрде мол өнім беріп келе жатқандарына басымдық беріледі. Қазақы биелер сүтенуінің орташа ұзақтығы 238 күн болса, қазақы - ауыр жүк таратын тұқым биелерінікі 245 күн. Бие сауудың машинамен және қолмен сауу сияқты екі түрлі тәсілі бар.
Бие сүтінен халық арасында үлкен сұранысқа ие емдік сусын - қымыз дайындайды. 1 литр қымыз бағасы сиыр сүтінің бағасынан бес есе жоғары.
Биенің сүттілігін анықтау
Кейінгі кезде Қазақстанда бие сауу және қымыз дайындау жұмысы жақсы жолға қойылып отыр.
Республика бойынша 30 комплекс салу ұйғарылған. Оған қоса әрбір жылқысы бар шаруашылық жыл сайын май айынан бастап октябрь айына дейін қымыз фермаларында сауатын биелерді үйірден іріктеп, таңдап алып өз алдына үйір жасақтайды. Биелерді мұндай фермаларда күніне 6 рет сауады, ал комплексктерде және арнаулы қымыз фермаларында 10 рет саууға болады. осыған қарағанда, қымыз дайындайтын шаруашылықтарда биенің сүттілігін алдын-ала анықтау аса қажетті шара. Сауылатын биенің сүттілігін анықтау, биені сауатын адамға еңбек ақы төлеу үшін және құлынның күйін төмендетпеу де қажет.
Бие сүтінің мөлшерін есептеп отыру қиын емес. Биені сауумен бірге, оның құлынының қанша сүтті емгенін білу үшін, кейбір ретте тәулік бойы емізбей сауып анықтайды. Биенің сүттілігін құлынның енесін емер алдында және емгеннен кейінгі салмағын өлшеу әдісімен де білуге болады. Бие сүттілігін анықтауды, сауын мал саууға әбден үйренген, дағдыланған кезде жүргізген дұрыс. Құлынмен сауылатын биенің сүттілігін дұрыс білу үшін құлынға тек бір емшегін емізу керек, сонда ғана сүттілікті анықтау неғұрлым дәлірек нәтиже береді. Биені тәулік бойына осылай сауу арқылы желінінің бір жартысынан алынған сүттің мөлшерін дәлме-дәл анықтап алуға болады. Ал келесі тәулікте желіннің екінші жартысындағы сүтті мөлшері қанша екенін осындай жолмен анықтайды. Сөйтіп, желіннің екі жағынан алынған сүтті өлшеп, оларды қосу арқылы биенің бір тәулік ішінде беретін сүтінің мөлшерін дәл анықтауға болады. Бірақ биені тәулік бойына сауу арқылы оның сүттілігін анықтау қолайлы әдіс болғанымен, еңбекті тым көп керек ететін, уақыт алатын жұмыс. Сондықтан биенің сүттілігін анықтаудың бұдан гөрі жеңілдеу екі әдісі бар.
Бірінші - құлынды енесінен бөліп басқа қораға қамайды немесе енесін еме алмайтындай етіп желіге қысқа байланады. Ал бие қақтап сауып алынады да, тек екі сағаттан кейін сауылады. Сауар алдында биені иіту үшін құлынын жіберіп біраз емізеді. Сауылған сүтті сүт өлшеуішпен немесе үлкен мензуркамен өлшейді. Тәжірибеде көбінесе - 12 сағат бойына биені әрбір 2 сағат сайын 6 рет қайталап сауады. Іс жүзінде дәл екі сағат сайын саууды мүлтіксіз сақтап отыруға әрдайым мүмкіндік бола бермейді. Осы себепті әрбір сауымның, әсіресе соңғы сауымның уақытын минутына дейін жазып отыру дұрыс. Бұл алынған мәліметтер бір тәулік ішінде сауылған сүттің мөлшерін есептеп шығаруға мүмкіндік береді. Сүттілікті дұрыс анықтау үшін бақылап саууды қатарынан 2 күн жүргізген дұрыс.
Екінші құлынның енесін емер алдындағы және емгеннен кейінгі салмағының айырмашылығын анықтап білуге негізделген.
Бұл әдіс бойынша да құлын енесінен бөлек, оңаша жерге байланып, енесін емер алдындағы және емгеннен кейінгі салмағы жазылып отырады. Құлынның енесін әрбір емер алдындағы және емгеннен кейінгі салмағының арасындағы айырмашылық биенің тәулігіне беретін сүттің көрсетківші болып саналады. Дұрыс нәтиже алу үшін, сүттілікті анықтау жұмысын үзбей жүргізіп отыру керек, ал фермаға биелерді іріктеп алғанда мұндай анықтау ісін 1-2 күн жүргізудің өзі жеткілікті. Жоғарыда айтылған әдісті жүргізу үшін фермада құлындары өлшеп отыратын арнайы таразы болу қажет.
Тәулік бойы сауудың нәтижесінде И. А. Сайгин (1955), М. С. Мироненко (1958) мынандай қорытындыға келді: бие тәулік бойы әр сағат сайын бір мөлшерде сүт береді. Сондықтан тәулікте берілетін сүттілікті есептеп шығаруға болтанын дәлелдеді.
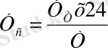
Құлынды енесінен бөліп сауатын қымыз фермаларында И. А. Сайгин мына формуланы ұсынады:
мұнда У с тәулігіне сауылған сүттілік, У т - нақты алынған сүттің жалпы мөлшері, Т - сауудың қанша уақытқа созылғандығы, 24-тәуліктегі уақыт.
Ал құлынмен сауылатын биенің сүттілігін анықтау үшін И. Н. Чашкин мен М. С. Мироненко құлынның емген сүтін есепке ала отырып, төмендегі формуланы ұсынады:
М=У(0, 4·К) ·
мұнда М - тәулігіне сауылған сүттілік, У - нақты сауып алынған сүттің жалпы мөлшері, К - неше рет сауылғаны, П - сауудың қанша уақытқа созылғандығы, 0, 4 - құлынның емген сүті.
Бұл формула бойынша емептеп шығарудың әдісін төмендегі мысалдармен көрсетуге болады. Құлын енесінен 10 сағатқа дейін бөлек ұсталады. Осы уақыт ішінде бие бес рет сауылып 6, 25 литр сүт алынады делік. Осы мәліметтерді формулаға келтіргенде нәтиже мынадай болмақ:
М=6, 25+(0, 45) ·
=19, 8 литр
- Іс жүргізу
- Автоматтандыру, Техника
- Алғашқы әскери дайындық
- Астрономия
- Ауыл шаруашылығы
- Банк ісі
- Бизнесті бағалау
- Биология
- Бухгалтерлік іс
- Валеология
- Ветеринария
- География
- Геология, Геофизика, Геодезия
- Дін
- Ет, сүт, шарап өнімдері
- Жалпы тарих
- Жер кадастрі, Жылжымайтын мүлік
- Журналистика
- Информатика
- Кеден ісі
- Маркетинг
- Математика, Геометрия
- Медицина
- Мемлекеттік басқару
- Менеджмент
- Мұнай, Газ
- Мұрағат ісі
- Мәдениеттану
- ОБЖ (Основы безопасности жизнедеятельности)
- Педагогика
- Полиграфия
- Психология
- Салық
- Саясаттану
- Сақтандыру
- Сертификаттау, стандарттау
- Социология, Демография
- Спорт
- Статистика
- Тілтану, Филология
- Тарихи тұлғалар
- Тау-кен ісі
- Транспорт
- Туризм
- Физика
- Философия
- Халықаралық қатынастар
- Химия
- Экология, Қоршаған ортаны қорғау
- Экономика
- Экономикалық география
- Электротехника
- Қазақстан тарихы
- Қаржы
- Құрылыс
- Құқық, Криминалистика
- Әдебиет
- Өнер, музыка
- Өнеркәсіп, Өндіріс
Қазақ тілінде жазылған рефераттар, курстық жұмыстар, дипломдық жұмыстар бойынша біздің қор #1 болып табылады.

Ақпарат
Қосымша
Email: info@stud.kz