Кеңістіктер мен операторлар


Жоспар
Кіріспе.
- Кеңістіктер мен операторлар ұғымы. 1. 1. Сызықты кеңістіктің жалпы анықтамасы. 1. 2. Нормаланған кеңістік. 1. 3. Метрикалық кеңістік. 1. 4. Гильберт кеңістігі. 1. 5. Сызықты оператор және оның қасиеттрі. 1. 6. Тұйық оператор және оның қасиеттрі.
- Штурм-Лиувилль операторы үшін компакт әдісінің қолданылуы2. 1. Штурм-Лиувилль операторы және оның қасиеттері. 2. 2 Штурм-Лиувилль операторы үшін компакт әдісінің қолданылуы
- Қорытынды.
- Пайдаланылған әдебиеттер.
I. Кеңістіктер мен операторлар ұғымы.
1. 1.
Сызықты кеңістіктің жалпы анықтамасы
сызықты кеңістік деп
элементтерінің төмендегі жиынтығын айтады: I.
-де 1. Егер
болса, онда
; 2.
; 3.
; 4.
-де барлық
үшін
болатын “нөлдік” 0 бар болады. Жоғарыдығы қасиеттерді қанағаттандыратын кез-келген
элеметттері үшін
қосындысы
-де анықталған. II.
-де
элементінің
санына көбейтіндісі
анықталған және ол мына қасиеттерге ие болады: 5. Егер
болса, онда
; 6.
; 7.
; 8.
(сол жағында 0 саны, ал оң жағында нөлдік элемент) ; 9.
; 10.
; Мұнда
элементі
арқылы белгіленеді. 7, 10, 8 қасиеттерінен
шығатынын көреміз.
кеңістігінің
элементтері оның векторлары деп аталады. Сызықты кеңістікте
(скалярды) сандық көбейткіштер ретінде нақты немесе комплексті сандар алынады. Бірінші жағдайда
нақты сызықты кеңістік, ал екінші жағдайда комплекстік сызықты кеңістік деп аталады. Сызықты кеңістіктерге сызықты тәуелді мен тәуелсіз векторлар ұғымы енгізіледі.
кеңістігінің
векторлары сызықты тәуелсіз деп аталады, егер
Equation. 3 теңдігінен
болса. Кері жағдайда (яғни,
Equation. 3 теңдігінде ең болмағанда
коэффициентінің біреуі нөлден өзгеше болады)
векторлары сызықты тәуелді деп аталады. Егер де
кеңістігінде
сызықты тәуелсіз векторлар бар болып, ал кез-келген
векторлар сызықты тәуелді болса, онда
кеңістігінің өлшемі
тең. Егер
кеңістігіндегі кез-келген
үшін
сызықты тәуелсіз векторлар бар болады, онда
кеңістігінің өлшемі шексіздіке тең болады.
-
кеңістігінен алынған векторлар болсын. Онда
түріндегі кез-келген мүмкін болатын сызықты комбинациялар
кеңістігінің ішкі кеңістігін құрайды. Оның өлшемі
-нен үлкен емес.
түріндегі жиынды (мұндағы
кеңістігінің ішкі кеңістігі, ал
алынған, белгіленген элемент) сызықты көп бейне деп аталады.
Мысал 1.
түзу сызығы, яғни, қарапайым арифметикалық қосу және көбейту амалдары орындалатын нақты сандар жиыны сызықты кеңістік болады.
Мысал 2.
Қарапайым функцияларды қосу және оларды санға көбейту амалдары орындалатын үздіксіз (нақты емес комплексті) функциялар кез-келген
кесіндісінде
сызықты кеңістігін құрайды. Бұл кеңістіктің функционалдық анализде алатын орны ерекше.
Мысал 3.
кеңістігі сызықты кеңістік. Себебі, оның элементтері ретінде
Equation. 3 шартын қанағаттандыратын сандар (нақты емес комплексті) тізбегі
алынады, ол сандар үшін
амалдары орындалады.
Equation. 3 шартын қанағаттандыратын екі сандар тізбегі үшін осы шарттың орын алатындығы мына
элементар теңсіздіктен шығады.
1. 2. Нормаланған кеңістік
Нормаланған кеңістіктің анықтамасы
Е -сызықты кеңістік нормаланған кеістік деп аталады, егер әрбір х
Е үшін теріс емес
саны сәйкестендірілсе, және 3 аксиома орындалса.
1) -аксиома норманың азғындалмау шарты, 2) -аксиома норманың біртектілік шарты, 3) - аксиома үшбұрыш теңсіздігі деп аталады. Векторлар жағдайында үш аксиома үшбұрыштың бірқабырғасының ұзындығы қалған екі қабырғасының ұзындықтарының қосындысынан аспайды. Бұдан алатынымыз, үшбұрыштың кез келген қабырғасының ұзындығы қалған екі қабырғасының ұзындықтарының айырмасынан үлкен немесе тең. Норма үшін сәйкес теңсіздік мына түрге келеді:
![]()
Бұл теңсіздікті дәлелдейміз. Үшбұрыш теңсіздігі бойынша:
![]()
аламыз. Бұдан
; х пен у- тің орнын ауыстырып, алатынымыз:
Соңғы екі теңсіздік (1) - теңсіздікті береді.
Нормаланған кеңістікте кез-келген екі элементтің арақашықтығы төмендегі формуламен анықтауымызға болады.
![]()
1-жаттығу.
арақашықтығы төмендегі үш шартты қанағаттандыратынын көрсетейік:
)
болғанда ғана
= 0 (тепе -теңдік аксиомасы)
)
=
(симметрия аксиомасы)
)
![]()
![]()
![]()
(үшбұрыш аксиомасы)
Анықтама 2.
Х жиыны метрикалық кеңістікдеп аталады, егер әрбір х пен у пар элементеріне
,
,
шарттарын қанағаттандыратын теріс
нақты саны сәйкестендірілсе. Бұл жағдайда метрикалық кеңістікті нормаланған кеңістіктің жалпылануы деп санауымызға болады.
Е нормаланған кеңістігінде
, мұндағы
белгіленген нүктесі, ал r
.
жиыны - центрі
нүктесі, радиусы r - ге тең ашық шар деп аталады. Бұдан
- тұйық шар деп аталады.
жиыны - сфера деп аталады. Бұдан
.
1-мысал.
Сызықты кеңістікте m- өлшемді R
бағандары үшін норманы береміз:
- және 2) норма аксиомалары тривиальді орындалады. Алынған нормаланған кеңістік сызықты алгебрада Е- евклид кеңістігін береді.
2-жаттығу.
m=1, 2, 3 болғанда
- дің Е
кеңістігіндегі бейнесі қандай?
2-мысал. с
кеңістігі. R
кеңістігінде норманы мына түрде береміз:
Норма аксиомасын тексереміз.
1)
орындалады.
болсын, яғни
онда барлық
және х=
2)
, бұдан норманың біртектілігі шығады.
3)
яғни
. Теңдіктің сол жағынан үшбұрыш теңсіздігін аламыз.
3- жаттығу. m=1, 2, 3 болғанда
- дің с
кеңістігіндегі бейнесі қандай?
Ескерту.
жиыны - қарапайым m-өлшемді куб деп аталады. Бұл түсінік
кубтық норма екенін білдіреді.
жиыны m-өлшемді шар деп аталады. (
сфералық норма. )
Тізбектің шегі.
Е нормаланған кеңістігінде
элементтер тізбегін қарастырайық.
Анықтама1
. х
элементін
тізбегінің шегі болса, онда оны мына түрде жазамыз.
=
немесе
, және
тізбегі
-ге жинақталады деп атаймыз.
нүктесінің аймағы деп кез келген
ашық шарын айтамыз.
1-жаттығу.
=
болса, онда
- тізбегінің барлық мүшелерінүктесінің кез келген аймағында кездесетінін
- шегінің жалғыздығын
- тізбегінің кез келген тізбекшесі-ге жинақталатынын
- Егерболса, ондаболатынын
- Егер(болса, ондаболатынын көрсетініз.
- - теңсіздікті қолданып, егер, болса, онда
болатынын дәлелдеу.
Анықтама 2 . Барлық жинақталатын тізбек шенелген екенін дәлелдеңіз.
1-мысал.
с
- кеңістігін қарастырайық. Осы кеңістікте жинақтылық қандай болады?
Айталық
және
болсын. Онда
; яғни
. Бұдан
векторының әрбір координатасы сәйкес
векторының координатасына жинақталады.
2-мысал. Е
- кеңістігін қарастырайық.
болсын. Бұл n
болатынын көрсетеді.
Кез келген
үшін
екені белгілі
болса, онда (1) -ден
болатынын көреміз.
Алдыңғы мысалға келісе отырып, Е
кеңістігінде жинақтылық -- координаталық екенін байқаймыз.
Қосынды үшін берілген Гельдер және Минковский теңсіздігі.
Бұл пункте біз екі басты көмекші теңсіздікті дәлелдейміз.
Айталық p
және q
саны
=1 қатынасымен байланысты.
жарты осінде
функциясын қарастырайық.
Жаттығу. Дифференциялды есептеу көмегімен
жарты осінде
функциясының жалғыз t=1 минимум нүктесі болатынын дәлелдеңіз.
Бұдан
(1) теңсіздігі орынды екені шығады.
- - теңсіздікке t=uмәнін қойып, келесі теңсіздікті аламыз:
. (2)
- теңсіздіктен біз қосынды үшін Гельдер теңсіздігін дәлелдейміз.
Кез келген
және
комплекс саны үшін төмендегі Гельдер теңсіздігі орынды:
(3)
Дәлелдеу үшін
түсінігін енгіземіз. Осы екі теңсіздік нөлден өзгеше болсын делік.
(2) - теңсіздікті қолдана отырып,
төмендегі теңсіздікті аламыз:
к =1 ден m- ге дейін қосынды құрып, мынаны аламыз:
Ары қарай Гельдер теңсіздігі шығады.
Енді Минковский теңсіздігін дәлелдейміз
(4)
Алдымен
теңсіздігінің оң жағындағы әрбір қосындыға Гельдер теңсіздігін қолданамыз:
Тура осылай
.
Соңғы екі теңсіздіктерді біріктіріп, мына теңсіздікті аламыз:
(5)
(егер осы қосынды нөлге тең болса, онда Минковский теңсіздігі орынды) деп есептейміз.
(5) -ші теңсіздікті
ға бөліп,
екенін ескере отырып, ізделінді (4) -ті аламыз.
- кеңістігі
. Айталық
болсын.
-ді анықтау үшін
- ді нормаланған кеңістікке айналдырамыз:
1) және 2) аксиомалары үшін норма белгілі. Үшбұрыш аксиомасы дәлелденген
болғандағы Минковский теңсіздігін көрсетеді.
1-жаттығу
.
кеңістігіндегі үшбұрыш теңсіздігін дәлелдеңіз.
болғанда,
болатынын байқаймыз, яғни
- евклид кеңістігі.
- де жинақтылық қандай? Айталық
- кубтық норма болсын.
2-жаттығу
. Келесі теңсіздікті дәлелдеңіз:
Теңсіздіктің оң жағынан, егер
және егер
кеңістігінде
болса, онда
- кеңістігінде
немесе
Осы жолмен
және
кеңістіктіктеріндегі тізбек жинақтылығы
және
-дегі жинақтылыққа сәйкес келеді.
Шектелген m сандық тізбектер кеңістігі
.
- тізбектер жиынын
болған жағдайда қарастырайық. Бұл жиын m-әріпімен белгіленеді. Егер
және
болса, онда анықтама бойынша
,
.
Жаттығу
. Егер
болса, онда
екенін дәлелдеңіз
(мұндағы m-сызықты кеңістік)
екенін ескеріп, m- ді нормаланған кеңістікке айналдырамыз.
,
кеңістігі.
Барлық сандық тізбек
үшін
қатары жинақталатын
жиынын қарастырамыз.
1-жаттығу
. Егер
болса, онда
болатынын көрсетіңіз.
-
да норманы мына формула арқылы бойынша көрсетеміз:
.
2-жаттығу. Норманың 1) және 2) аксиомасын тексеріңіз.
-
кеңістігінде үшбұрыш теңсіздігін дәлелдейміз. (4) -ші соңғы қосынды үшін Минковский теңсіздігінің оң жағын көбейтіп, m- ді
-
ге ауыстырып, алынған теңсіздіктен
,
ұмтылдырамыз. Содан
үшін төмендегі теңсіздікті аламыз:
Бұл жерде
қатары жинақталады және мына теңсіздік орынды:
бұл үщбұрыш теңсіздігі, яғни
-
нормаланған кеңістік.
С[a, b] үзіліссіз функциялар кеңістігі.
[а, b] кесіндісіндегі барлық үзіліссіз функциялардың сызықты кеңістігін қарастырамыз. Норманы мына түрде береміз:
1) және 2) аксиома орындалады. 3) аксиоманы тексерейік. Модульдің қасиеті бойынша
үшін
аламыз. Бұдан
болады. Егер
- ны сол жағынан алатын болсақ, теңсіздік сақталады. Нәтижесінде С[a, b] нормасы үшін үшбұрыш теңсіздігін аламыз.
Енді С[a, b] -да нормасы бойынша бірқалыпты жинақтылықтың бар екенін көрсетейік.
тізбегі берілсін делік және ол
ға жинақталады, яғни
. Бұл
саны үшін
номері табылатынын және
саны үшін
теңсіздігі орынды екенін білдіреді. Сонымен қатар
үшін
орындалады, яғни норма бойынша С[a, b] -да жинақтылық - бірқалыпты.
аймағы С[a, b] кеңістігінде қалай берілетінін көреміз. Бұл үшін
функцияларының графигін тұрғызамыз. Осы екі график және t=a, t=b түзулерінің аралығы
жолағын шектейді және
нүктесінің
аймағы болып табылады.
-кеңістігі.
Сызықты кеңістікте [a, b] - да
ретті үзіліссіз дифференциалданатын функциялардың нормасын төмендегідей аламыз:
мұндағы
функциясының туындысы.
Жаттығу.
кеңістігінде норма аксиомасын тексеріңіз.
-
дегі жинақтылық --
тізбегінің
-
ға бірқалыпты жинақталатынын көрсетіңіз.
-кеңістігі.
-
де үзіліссіз функциялардың сызықты кеңістігінеқайта оралайық. Норма бұл жағдайда мына түрде болады:
1-жаттығу . 1) және 2) норма аксиомасын тексеріңіз. Үшбұрыш аксиомасы интегралға арналған Минковский теңсіздігін береді:
(1)
Минковский теңсіздігінің дәлелдеуі (
болғанда) Гельдер теңсіздігінен шығады.
(2)
мұндағы
. Егер
-
да
немесе
болса (2) -теңсіздік орындалады. Айталық
болсын.
теңсіздігіне
қоямыз. Алынған теңсіздікті интегралдау арқылы мынаны аламыз:
Бұл ізделінді (2) -ші теңсіздікті береді.
Ары қарай қосынды жағдайында мынаны аламыз:
ге қысқартып, (1) -ші Минковский теңсіздігін аламыз.
Анықтама 1
. Айталық Е - сызықты кеңістігінде екі
және
нормасы берілсін делік. Егер
тұрақтысы бар болса, яғни
үшін
теңсіздігі орындалса,
нормасы
нормасына тәуелді дейміз.
2-жаттығу
. Егер сызықты кеңістікте
және
нормасы берілсе, онда
тізбегінің жинақтылығынан
мағынасында оның
мағынасындағы жинақтылығы шығады.
Ашық және тұйық жиын. Айталық Е- нормаланған кеңістік болсын.
Анықтама1.
жиыны ашық деп аталады, егер ол өзінің әрбір нүктесінің аймағынан тұратын болса. Онда
ашық жиын, егер
үшін
болғанда
саны табылса.
Айталық Ø жиыны -- анықтама бойынша алынған Е кеңістігіндегі ашық жиын болсын.
Теорема.
нүктесі
жиынының шектік нүктесі болуы үшін,
- ға жинақталатын
кейбір
тізбегінің бар болуы қажетті және жеткілікті.
Дәлелдеуі.
Қажеттілігі. Айталық
-
жиынының шектік нүктесі болсын;
деп таңдап алып, және
табамыз. Содан соң
деп алып
табамыз. Осы процесті жалғастыра отырып,
шарты орындалатындай
тізбегін табамыз.
Жеткіліктілігі.
нүктесіне жинақталатын
бар болсын. Бұл
үшін
нөмірі табылып,
барлық
үшін орындалатындығын көрсетеді.
Анықтама 2.
жиыны тұйық деп аталады, егер ол өзінің шектік нүктелерінен тұрса, Ø бос жиыны әрқашан тұйық жиын болады.
Мысал.
сферасы тұйық жиын. Шынында да,
- шектік нүктесі
болсын. Демек
табылады. Үшбұрыш теңсіздігі бойынша
ұмтылғанда
болады.
болғандықтан
- тұйық болады.
Анықтама 3.
Айталық
,
ал
-
шектік нүктелерінің жиыны.
жиыны -
жиынының тұйықталуы деп аталады.
2-мысал.
-
- дің тұйықталуы.
3-жаттығу.
1)
-
тұйық жиын, 2)
,
3)
тұйық
Шекті өлшемді кеңістіктегі норманың эквиваленттілігі.
Анықтама1.
Айталық Е - сызықты кеңістік және Е кеңістігінде екі жағдаймен нормалар берілсін:
және
.
және
нормалары эквивалентті деп аталады, егер
үшін
орындалатындай,
саны табылса.
Жаттығу. Норманың эквиваленттілік қатынасы келесі қасиеттерге ие:
- ~(рефлексифтілігі)
- егер~болса, онда~( симметриялылығы)
- егер~, ал~болса, онда~. (транзитивтілігі) .
Теорема. Барлық шекті өлшемді сызықты кеңістікте барлық нормалар эквивалентті.
Дәлелдеуі.
өлшемді Е сызықты кеңістікте
базисін белгілейміз, және
--
осы базис бойынша алынған
жіктелуі.
Айталық
-
Е кеңістігіндегі тағы бір кез- келген норма болсын.
Ары қарай
-
-
ға тәуелді,
--
-
қа тәуелді болатынын көрсетейік. Бұл
сферасында
функциясын қарастырайық.
екенін ескеріп мынаны аламыз:
.
Бұдан
функциясының
-дегі үзіліссіздігі шығады. Сонымен қатар
сферасында
тұйық және шектелген жиын болады.
Келесі теореманы берейік:
Теорема.
тұйық шектелген жиынындағы үзіліссіз функцияда шектелген болады және
-де өзінің жоғарғы және төменгі шекараларын қабылдайды.
Осы теоремаға сүйеніп,
болғанда
нүктесі табылатынын байқаймыз.
болғанда немесе
Бұдан
Демек,
~
.
Нормаланған кеңістіктер кеңістігі. Нүктеден кеңістікке дейінгі арақашықтық.
Анықтама . L - тұйық сызықты көпбейнесі Е - нормаланған кеңістігіндегі ішкі кеңістік деп аталады.
Лемма.
Егер
болса, онда
егер де
болса, онда
Дәлелдеуі.
Егер
болса, онда
деп қабылдап,
аламыз. Яғни
.
болсын. Онда
анықтамасы бойынша кез келген натурал
үшін
болғанда,
табылады. Бұл жерде
.
тұйықталуының зерттелуінде
бірақ шарт бойынша
. Алынған қарама- қайшылық
екенін дәлелдейді.
Ішкі кеңістік элементтері арқылы жақындау.
Егер
болғанда
элементі бар болса, онда
ішкі кеңістігінің
элементтері арқылы жақындаудың ең жақсы элементі деп аталады. Ең жақсы элемент жалғыз болмауы мүмкін, әрі мүлдем болмауы мүмкін.
шекті өлшемді болған жағдайда ол элемент бар болады. Шынында да,
болса, онда
.
кеңістігінде
функциясын қарастырайық. Ол
кеңістігінде үзіліссіз немесе кез келген
үшін төмендегі теңсіздік орындалады.
тек шарда орындалатынын көрсетейік.
, мұндағы
Демек, егер
болса, онда
болады, яғни
шарының сыртында
функциясының дәл төменгі шегін қабылдамайды.
Теорема.
Айталық
-
нормаланған
кеңістігінің шекті өлшемді ішкі кеңістігі болсын. Кез келген
үшін
бар болады және
орындалады.
Мысал.
екі өлшемді қатарының
нормасымен берілген
-
кеңістігінен
нүктесін және
базистік векторымен, (
бір өлшемді
ішкі кеңістігін аламыз. Ара қашықтығын анықтайық:
.
Зерттей келе,
элементерінің көмегімен
-ге жақындайтын
ең жақсы элементтерінің шексіз жиыны бар болатынына көзіміз жетеді.
Рисс леммасы.
Келесі геометриялық тұжырымды келтірейік. Айталық үшөлшемді евклид кеңістігінде
жазықтығы берілсін. Ол
координата басынан өтеді, және
бірлік ұзындық векторы,
перпендикуляр,
координата басымен берілген. Онда
-
ге тиісті кез келген
векторы үшін
аламыз.
Рисс леммасы
.
Айталық
-
нормаланған
кеңістігіндегі кеңістік,
.
Кез келген
үшін
болатындай,
табылады.
Дәлелдеуі.
Айталық
болғандықтан,
бар болады.
қоямыз,
анықтамасын қолданамыз. Кез келген
алып, және
орындалатындай
табамыз. Енді
элементін қарастырайық.
ізделінді элемент екенін ескерейік, шынында да,
.
мен
арасындағы арақашықтық:
немесе
ал
үшін
Нормаланған кеңістіктегі тығыз сызықты көпбейне.
Анықтама .
Е нормаланған кеңістігінде жатқан
- сызықты көпбейнесі Е -де тығыз деп аталады, егер кез келген
және кез келген
үшін
болатындай,
элементі табылса.
Айталық
-
сызықты кеңістігі Е кеңістігінде тығыз және
.
етіп таңдап алып,
болатындай
табамыз. Олай болса, егер
сызықты кеңістігі Е кеңістігінде тығыз болса, онда
үшін
бар болады, (
) .
Орташа және кесілетін функциялар мен олардың кейбір қолданулары.
Анықтама .
-
да анықталған
функциясы финитті деп аталады, егер
табылса (
болмағанда) .
кесілетін функциялары (мұндағы
-
да берілген кез келген
функциясын кесіп алуға мүмкіндік береді:
функциясы финитті.
Теорема
1.
-да үзіліссіз және финитті функциялардың сызықты көпбейнесі
тығыз болады.
Дәлелдеуі.
Айталық
болсын.
-
да үзіліссіз кез келген
функциялары үшін:
аламыз. Бірақ
және
кесіндінің сыртында жатыр, сондықтан
мұндағы
орындалады. Сонымен қатар
болады.
Егер
санын алатын болсақ, онда
болғанда
финитті функциялары
-
нан кіші норма бойынша
-
тан өзгешеленеді. Теорема дәлелденді.
Теорема
2.
нормасымен берілген
-да үзіліссіз және финитті функциялардың нормаланған кеңістігінде,
-да финитті, шексіз дифференциалданатын функциялардың сызықты көпбейнесі тығыз болады.
Дәлелдеуі.
Айталық
-да үзіліссіз және финитті болсын.
-
орташа функциясын
үшін қарастырамыз.
-
сыртында да шексіз дифференциалданады және
орындалады. Ары қарай,
болғанда
орындалады, ал
болса, онда төмендегі теңсіздік орындалады:
1. 3. Метрикалық кеңістік
Анықтама.
қайыбір бос емес жиын болсын. Егер
үшін нақты мәнді функция
анықталып, келесі шарттарды қанағаттандырса: 1.
,
; 2.
(симметриялық) ; 3.
Equation. 3 (үшбұрыш теңсіздігі) ; Онда ол функцияны (функционал)
жиынындағы метрика деп аталады.
және
нүктелерінің арасындағы ара қашықтық.
Анықтама.
Бос емес
жиыны мен анықталған метрика, яғни
пары метрикалық кеңістік деп аталады. Осы пар,
жиыны мен
функциясы метрикалық кеңістік жасайды. Оны
немесе
арқылы белгіленеді. Жоғарыда көрсетілген қасиеттер метрикалық кеңістіктің аксиомалары деп аталады. Бір жиында бірнеше метрика анықталса, онда бірнеше метрикалық кеңістік алуға болады.
Мысалы.
1.
(
Equation. 3 өлшемді кеңістік) болсын. Егер
және
бұл кеңістіктің
екі нүктесі болсын, онда
метрикалық кеңістік келесі өрнекпен
анықтауға болады, себебі
жоғарыдағы қасиеттерді қанағаттандырады. Онда
- метрикалық кеңістік болады. 2. Егер
және
нүктелері берілсе, онда
ара қашықтығын
өрнегі бойынша да анықтауға болады. Онда
- метрикалық кеңістік болады. 3.
нақты сандар жиыны болсын, онда
және
нүктелерінің ара қашықтығын
өрнегі арқылы табуға болады. Мұндағы
барлық
үшін анықталған, екі рет үзіліссіз дифференциалданатын, монмтонды өспелі
және
болатын функция. Бастапқы 1, 2 қасиеттерін тексеру қиын емес, ал үшбұрыш теңсіздігі
қатынасынан шығады. Сондықтан
метрикалық кеңістік болады. Егер
деп алсақ, онда
өрнегі де 1, 3 шарттарды қанағаттандырады. Онда
- метрикалық кеңістік болады. Бұл жағдайда
. 4. Комплекс сандар жиынында радиусы бірге тең ашық дөңгелектің
және
нүктелерінің ара қашықтығын
өрненімен анықтауға болады. Метрикалық кеңістіктің аксиомаларының орындалуының себебі, бұл метрикалық кеңістік болғаны. Бұл үш мысалдағы кеңістіктер векторлық кеңістіктер болса, онда соңғы мысалдағы кеңістік сызықты емес кеңістік. 5.
бұл жиынның нүктелері
өрнегімен анықтауға болады. Бұл жағдай алғашқы екі қасиет оңай тексерілді, ал үшіншісін келесі түрде тексеруге болады. Егер
және
болса, онда
үшін
теңсіздігінен шекке көшу арқылы
теңсіздігін алуға болады. Онда
- метрикалық кеңістік. Бұл кеңістікті кейде
арқылы ғана белгілейміз. 6.
болсын. Бұл жиынның нүктелері
шартты қанағаттандыратын сан тізбегі. Метриканы
өрнегімен анықтауға болады. 7.
болсын. Бұл жиынның нүтелері
,
шарттарын қанағаттандыратын сандар тізбегі. Егер
,
шарттарын қанағаттандыратын кез-келген сандар тізбегі болса, онда метриканы
өрнегі бойынша алуға болады, себебі
теңсіздігінен оның ұғымы шығады. Метриканың 1, 2 аксиомалары бұл жағдайда оңай тексерілді, ал үшінші аксиомасынан
теңсіздігінен алуға болады. Сонымен
- метрикалық кеңістік, ал оны шектеген сан тізбектер кеңістігі деп аталады.
Анықтама.
Егер оның толықтауышы ашық болса, онда метрикалық кеңістік тұйық деп аталады.
Анықтама.
және
метрикалық кеңістіктегі жиындар болсын. Егер
болса, онда
-да
жиыны тығыз деп аталады. Егер
болса, онда
-та
жиыны барлық жерде дерлік тығыз деп аталды.
1. 4. Гильберт кеңістігі
Гильберт кеңістігінің анықтамасы.
Сколяр көбейтінді анықталған кеңістік Гильберт кеңістігі деп аталады.
метрикасы мағынасында толық ақырсыз өлшемді унитар кеңістік Гильберт кеңістігі деп аталады да
арқылы белгіленеді. Гильберт кеңістігінің ең қарапайым мысалы
Евклид кеңістігі болып табылады.
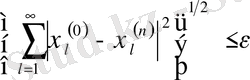
кеңістігінің толық, яғни гильбертті кеңістігі екенін көрсетейік. Фундаментальді
тізбегін
-ден аламыз, мұндағы
.
болса, онда әрбір кез келген
сандық
тізбегі
- кеңістігінде фундаментальді, әрі жинақты болады.
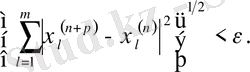
Айталық
болсын.
сандық тізбегін қарастырайық және
екенін көрсетейік.
фундаментальдығынан барлық
үшін
нөмірі табылып,
болғанда кез келген натурал
саны үшін мына теңсіздік орындалады:
Бірақ онда барлық
нөмірі үшін:
Соңғы теңсіздікте шекке көшсек,
болғанда барлық
үшін:
Енді
көшемізжәне
табамыз. Алынған теңсіздік
болғанда,
және
екенін білдіреді. Онда
бірақ та
Нүктеден тұйық дөңес кеңістікке дейінгі арақашықтық.
Айталық
Гильберт кеңістігінде
жиыны және
нүктесі берілсін.
нүктесінен
жиынына дейінгі ара қашықтықты
формуласы бойынша анықтаймыз.
Лемма.
Егер
болса, онда
болады. Егер
және
тұйық болса, онда
- Іс жүргізу
- Автоматтандыру, Техника
- Алғашқы әскери дайындық
- Астрономия
- Ауыл шаруашылығы
- Банк ісі
- Бизнесті бағалау
- Биология
- Бухгалтерлік іс
- Валеология
- Ветеринария
- География
- Геология, Геофизика, Геодезия
- Дін
- Ет, сүт, шарап өнімдері
- Жалпы тарих
- Жер кадастрі, Жылжымайтын мүлік
- Журналистика
- Информатика
- Кеден ісі
- Маркетинг
- Математика, Геометрия
- Медицина
- Мемлекеттік басқару
- Менеджмент
- Мұнай, Газ
- Мұрағат ісі
- Мәдениеттану
- ОБЖ (Основы безопасности жизнедеятельности)
- Педагогика
- Полиграфия
- Психология
- Салық
- Саясаттану
- Сақтандыру
- Сертификаттау, стандарттау
- Социология, Демография
- Спорт
- Статистика
- Тілтану, Филология
- Тарихи тұлғалар
- Тау-кен ісі
- Транспорт
- Туризм
- Физика
- Философия
- Халықаралық қатынастар
- Химия
- Экология, Қоршаған ортаны қорғау
- Экономика
- Экономикалық география
- Электротехника
- Қазақстан тарихы
- Қаржы
- Құрылыс
- Құқық, Криминалистика
- Әдебиет
- Өнер, музыка
- Өнеркәсіп, Өндіріс
Қазақ тілінде жазылған рефераттар, курстық жұмыстар, дипломдық жұмыстар бойынша біздің қор #1 болып табылады.

Ақпарат
Қосымша
Email: info@stud.kz