Экономикадағы математикалық әдістер мен үлгілер


1-дәріс. Матрица және оның түрлері, қасиеттері, матрицаның рангісі. Анықтауыштар және оның қасиеттері, алгебралық толықтауыш, минор, кері матрица.
Анықтама. m - жолдарының және n - қатарларының қиылысындағы элементтерден тұратын төртбұрышты сан кестесін матрица деп атайды.
Матрицаны А, В, С және т. б. белгілейді.
Мысалы:
- бұл екі жолдан және үш қатардан тұратын матрица. a
ij
- i - жолының және j - қатарының қиылысында тұратын матрицаның элементі. Мысалы: 3-санды бірінші жол және екінші қатардың қиылысында тұратын элемент.
Анықтама: Егер жолдардың және қатарлардың сандары тең болса, онда матрица квадраты деп аталады.
- квадратты матрица.
2 1
2 - бас диагоналі. 3 - қосымша диагоналі.
Егер квадратты матрицада бас диагоналінде бір сандары тұрып, ал басқа элементтері ноль сандары болса, онда ол бірлік матрицасы деп аталады және она Е деп белгілейді.
Мысалы,
Матрицалармен жасалған амалдар.
1. Матрицалардың санға көбейтіндісі.
Әрбір матрицаны санға көбейтуге болады. Ол үшін матрицаның әр элементін сол санға көбейту керек.
Мысалы
![]()
1. Матрицалардың қосылуы (алуы) .
Әрбір тең екі матрицаны қосуға әлде алуға болады.
![]()
![]()
![]()
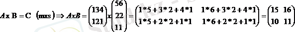
2. Матрицалардың көбейтіндісі
Екі матрица берілген:
![]()
болғанда ғана
болады.
Мысалы,
![]()
![]()
4.
Аударылған матрица
жолдармен қатарлардың орындарымен ауыстырылған матрицаны аудару деп аталады. Олар А Т не А / деп белгіленеді.
Мысал
Матрицаның анықтауышы
Анықтама
(
а
11
а
22
- а
12
а
21
) саны
квадратты матрицаның анықтауышы деп аталады.
Анықтауыш
белгіленеді.
Мысал
Анықтама кейбір анықтауыштың элементтерінің, жол мен қатарды өшіргеннен кейін пайда болатын анықтауыш минор деп аталады.
Мәселен, үшінші тәртіптегі анықтауыш қарастырылады:
Ендеше,
а
11
элементінің миноры келесі анықтауыш болады
Мысал
а
22
элементінің минорын табу керек
Анықтама Анықтауыштың кейбір элементтерінің алгебралық қосымшасы (-1) i+j формулаға көбейтілген осы элементтің миноры деп аталады. Яғни i-жол, j-қатар, осылардың қиылысында тұрған элемент.
Ол
арқылы белгіленеді.
Мысал а 22 элементінің жоғарыдағы мысалдың алгебралық қосымшасын табамыз.
Кез келген өлшемді матрицаның анықтауышы кейбір жолдың /қатардың/ элементтерімен олардың алгебралық қосымшаларының көбейтіндісінің суммасына тең.
Мысалы i -жолын белгілейміз. Соның элементтерің алгебралық қосымшаларына көбейтіп, қосамыз, яғни
Мысал
/бірінші жолмен ыдыратып, топтиаймыз/= =
Анықтама үшінші тәртіптегі анықтауышы үшбұрыш ережесі бойынша табуға болады.
Келесі схемасы бар:
Мысал
Анықтауыштың қасиеттері:
1. жолдарды қатарларға ауыстырғанда анықтауыш өзгермейді, яғни транспозициялған матрицаның анықтауышы берілген матрицаның анықтауышына тең.
2. Анықтауыштың екі жолын (қатарын) орнымен ауыстыру оны (-1) -ге көбейтуге теңбе-тең.
3. Егерде анықтауыш екі бірдей жолға (қатарға) ие болса, онда ол нольге тең.
4. Егерде жол (қатар) элементтерінің жалпы көбейткіші болса, онда көбейткішті анықтауыш белгісінің алдына қоюға болады.
5. Егерде бір жолдың (қатардың) сәйкес келетін элементтерін қоссақ, анықтауыш өзгермейді.
Кері матрица
А-ны кез келген матрица деп атайық, сонда В матрицасы кері матрица деп аталады, егерде А*В=В*А=Е, осында Е - бірлік матрица А -1 деп кері матрицаны белгілейміз.
Тек қана квадратты матрица кері матрицаға ие болады. Кері матрицаны табу үшін келесі алгоритмді қолдануға болады:
• Егерде матрица квадратты болса, онда 2 пункке көшеміз, керісінше болса, кері матрица шықпайды.
• А матрицаның анықтауышын шығарамыз, егерде ол нольге тең болса, онда кері матрица шықпайды, керісінше болса, онда 3 пункке көшеміз.
• Матрицаның әрбір элементінің орнына оның алгебралық қосымшасын қоямыз және оны транспозициялаймыз.
• Шыққан матрицаның әрбір элементі берілген матрицаның анықтауышына бөлінеді
Мысал
А
-1
- табу керек
Тексеру
1-дәріс. Матрица және оның түрлері, қасиеттері, матрицаның рангісі. Анықтауыштар және оның қасиеттері, алгебралық толықтауыш, минор, кері матрица.
Анықтама. m - жолдарының және n - қатарларының қиылысындағы элементтерден тұратын төртбұрышты сан кестесін матрица деп атайды.
Матрицаны А, В, С және т. б. белгілейді.
Мысалы:
- бұл екі жолдан және үш қатардан тұратын матрица. a
ij
- i - жолының және j - қатарының қиылысында тұратын матрицаның элементі. Мысалы: 3-санды бірінші жол және екінші қатардың қиылысында тұратын элемент.
Анықтама: Егер жолдардың және қатарлардың сандары тең болса, онда матрица квадраты деп аталады.
- квадратты матрица.
2 1
2 - бас диагоналі. 3 - қосымша диагоналі.
Егер квадратты матрицада бас диагоналінде бір сандары тұрып, ал басқа элементтері ноль сандары болса, онда ол бірлік матрицасы деп аталады және она Е деп белгілейді.
Мысалы,
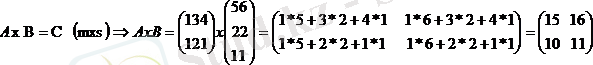
Матрицалармен жасалған амалдар.
1. Матрицалардың санға көбейтіндісі.
Әрбір матрицаны санға көбейтуге болады. Ол үшін матрицаның әр элементін сол санға көбейту керек.
Мысалы
![]()
1. Матрицалардың қосылуы (алуы) .
Әрбір тең екі матрицаны қосуға әлде алуға болады.
![]()
![]()
![]()
2. Матрицалардың көбейтіндісі
Екі матрица берілген:
![]()
болғанда ғана
болады.
Мысалы,
![]()
![]()
4.
Аударылған матрица
жолдармен қатарлардың орындарымен ауыстырылған матрицаны аудару деп аталады. Олар А Т не А / деп белгіленеді.
Мысал
Матрицаның анықтауышы
Анықтама
(
а
11
а
22
- а
12
а
21
) саны
квадратты матрицаның анықтауышы деп аталады.
Анықтауыш
белгіленеді.
Мысал
Анықтама кейбір анықтауыштың элементтерінің, жол мен қатарды өшіргеннен кейін пайда болатын анықтауыш минор деп аталады.
Мәселен, үшінші тәртіптегі анықтауыш қарастырылады:
Ендеше,
а
11
элементінің миноры келесі анықтауыш болады
Мысал
а
22
элементінің минорын табу керек
Анықтама Анықтауыштың кейбір элементтерінің алгебралық қосымшасы (-1) i+j формулаға көбейтілген осы элементтің миноры деп аталады. Яғни i-жол, j-қатар, осылардың қиылысында тұрған элемент.
Ол
арқылы белгіленеді.
Мысал а 22 элементінің жоғарыдағы мысалдың алгебралық қосымшасын табамыз.
Кез келген өлшемді матрицаның анықтауышы кейбір жолдың /қатардың/ элементтерімен олардың алгебралық қосымшаларының көбейтіндісінің суммасына тең.
Мысалы i -жолын белгілейміз. Соның элементтерің алгебралық қосымшаларына көбейтіп, қосамыз, яғни
Мысал
/бірінші жолмен ыдыратып, топтиаймыз/= =
Анықтама үшінші тәртіптегі анықтауышы үшбұрыш ережесі бойынша табуға болады.
ҚАЗАҚСТАН РЕСПУБЛИКАСЫНЫҢ БІЛІМ ЖӘНЕ ҒЫЛЫМ МИНИСТРЛІГІ
Қ. ЖҰБАНОВ АТЫНДАҒЫ АҚТӨБЕ МЕМЛЕКЕТТІК УНИВЕРСИТЕТІ
Ж. Н. Тасмамбетов
ЭКОНОМИКАДАҒЫ
МАТЕМАТИКАЛЫҚ ӘДІСТЕР
МЕН ҮЛГІЛЕР
Оқу құралы
Ақтөбе 2008
2
Қ. Жұбанов атындағы Ақтөбе мемлекеттік университетінің
оқу-әдістемелік кеңесінде мақұлданып, баспаға ұсынылды.
№12 хаттама 5желтоқсан 2008 жыл.
Тасмамбетов Ж. Н.
Экономикадағы математикалық әдістер мен үлгілер. Оқу құралы.
- Ақтөбе: ЖК Жанәділов баспаханасы, 2008 ж. - 262 бет.
Пікір жазғандар :
Тілеубергенов М. І., физика - математика ғылымдарының докторы, профессор.
Асанова А. Т., физика - математика ғылымдарының докторы.
Қабақбаев С. Ж ., физика - математика ғылымдарының докторы, профессор.
Оқу құралы университеттің «Экономика» мамандығы студенттерімен
«Экономикалық-математикалық әдістер» пәні бойынша дәрістік және
тәжірибелік сабақтарды, өз бетінше жұмыстарды ұйымдастыруға арналған. Пән
бойынша өтуге қажетті Сызықты программалау есебі, оны геометриялық
әдіспен шығару, жасанды базис әдісі, екі жақтылық есебі, көлік қатынасы есебі
мен салааралық баланс тақырыптарынан теориялық мағлұматтар келтірілген.
Аталған тақырыптар бойынша сызықты үлгілер қарастырылып, оларға қатысты
есептерді шығару жолдары берілген. Жеткілікті көлемде жаттығулар
ұсынылған. Ол студенттермен тәжірибелік сабақтар және өз бетінше
жұмыстарды ұйымдастыруға пайдалы деп есептейміз.
Оқу құралы университеттердің «Экономика» мамандығы студенттері мен
магистранттарына арналған.
© Тасмамбетов Ж. Н.
3
АЛҒЫСӨЗ
Жоғары экономикалық білімі бар мамандарға қойылатын талаптың бірі
математикалық үлгілеу (молельдеу) әдістерін қолдана білу. Онсыз
экономикалық жүйелер мен үрдістерді (процестерді) талдау мен болжауды
қарастырып, зерттеулер жүргізу мүмкін емес. Математикалық үлгілер
ақпараттарды компьютерлік үлгілеу мен өңдеудің де негізі болып табылады.
Математикалық үлгілердің экономикада қолданылатын ерекшеліктерін көрсету
мақсатында « Экономикалық- математикалық үлгілеу» термині пайда болды
және университеттің экономика мамандығы студенттеріне « Экономикалық-
математикалық әдістер » пәні оқытыла бастады.
Экономикада қарастырылатын үлгілер ішінен - сызықты үлгілер ерекше
орын алады . С ызықты үлгілерді зерттеулермен математиканың сызықты
программалау деп аталатын тармағы айналысады.
Сызықты программалау- көп айнымалалардың функцияларының
шартты экстремумдерін табу әдістерін зерттейді. Шартты экстремум ( max
немесе min) табу жолдары « Экономикадағы математика » пәнін өткен кезде
қарастырылғанмен, қазіргі уақытта ол есептерге басқаша талаптар қойылады.
Атап айтқанда адам өмірінде кездесетін әр түрлі есептердің тиімді шешімдерін
табуға жете көңіл бөліне бастады. Мысалы, шешімді қандай бір болмасын
жолдармен нақты түрде таңдап алынған параметрлер жиыны деп қарастырсақ,
онда тиімді шешім деп, белгілі- бір байымдаулар бойынша басымдылық
берілген шешімді ұғамыз.
Назарларыңызға ұсынылып отырған оқу құралында сызықты
программалауға келтіретін есептердің сызықты үлгілерін құру жолдары
көрсетіліп, оның тиімді шешімдерін табу үшін қолданылатын әдістер
қарастырылған. Жиі пайдаланылатын графикалық әдіс, симплекс-әдістердің
нақты мысалдары қарастырылып, көптеген есептердің шығарылу жолдары
көрсетілген. Студенттерге есеп шығару жолдарын жеңіл түрде түсіндіру
мақсатында, қарапайым үлгілер қарастырылып, олардың экономикалық
мағыналары көрсетіліп отырылады. Оқулықта Жасанды базистер әдісі ( М-
әдіс), Екі жақтылық есебі, Баланстық әдістер, Серпінді (динамикалық) үлгілеу
тақырыптарына да жете көңіл бөлінген. Әр тақырыптан соң жетклікті түрде
жаттығулар мен есептер ұсынылады. Өз бетінше қайталау сұрақтары
берілген. Көптеген есептердің шығару жолы, бақылау жұмыстарының орындалу
ерекшеліктері көрсетілген. Өз бетінше жұмыстарды жандандыру мақсатында 10
вариантқа бөлінген тапсырмалар, Рефераттар тақырыптары, емтихан
сұрақтары, тестілік тапсырмалар да берілген. Келтірілген есептер бұрын
тексеруден (апробиация) өткен орыс тілінде шыққан кітаптардан алынды:
1. Сборник задач по математике для экономистов. Под ред. проф. В. И.
Ермакова. Второе издание, исправленное. Москва, ИНФРА-М, 2008, -575 с.
2. Е. В. Шеврина, О. А. Кривцова, Н. В. Спешилова, Л. К. Самойлова. Экономико-
математические модели. Оренбург, 2005, 125 с.
3. В. Л. Никитенков. Задачи линейного программирования и методы их
решения. Сыктывкар, Изд-во СГУ, 2007, -112 с.
4
Соңғы кезде қазақ тіліндегі кітаптардың да қолданысқа ене бастағанын
атап өткен жөн:
1. М. Е. Үсіпбаева. Экономикалық- математикалық модельдеу пәнінің
есептер жинағы. Оқу құралы, Алматы, Республикалық баспа кабинеті,
1998, -86 бет.
2. Ә. Ж. Сапарбаев, Қ:А. Ахметов, А. Т. Мақұлова. Экономикалық-
математикалық әдістер мен модельдер. Алматы, Қазақстан Жоғары оқу
орындарының қауымдастығы, 2005, -400 бет.
3. Оспанов С. А., Асқарова Ж. А. Экономикадағы сызықтық модельдерді
талдаудың математикалық әдістері, жаттығулар мен тәжірибелер, оқу-
әдістемелік құрал, Алматы, НҰР-ПРЕСС, -102 бет.
4. Н. Ш. Альжанова, Х. К. Сәбит. Экономикалық- математикалық әдістер. Оқу
құралы, Алматы, 2007, -44 бет.
5. Беркінбаев К. М., Ажиханов Н. Т., Нұрұллаев А. Н., Ниязова Г. Ж.
Компьютерлік модельдеу негіздері. Алматы, 2007, -71 бет.
Қазақ тіліндегі оқу және оқу-әдістемелік құралдарын пайдаланудағы
кемшілік көптеген терминдер мен түсініктердің бір ізге түспеген әр
түрлілігі. Соған қарамастан келтірілген оқу құралдары студенттерді несиелік
жүйемен оқыту барысында қолданысқа ене бастады. Жоғарыда келтірілген
оқу және оқу-әдістемелік құралдарымен бірге, ұсынылып отырған оқу
құралы да студенттерді несиелік жүйемен оқытып сапалы білім беру
барысында өз орнын табады деген сенімдеміз. Өйткені, орыс тіліндегі
оқулықтардың көптігіне қарамастан университет студенттері мен
магистранттары өз ана тіліндегі оқулықтарға мұқтаж және де келтірілген оқу
құралдарының көбісі несиелік жүйемен оқыту әдістеріне бағытталмаған.
Оқу құралының басында экономикалық- математикалық әдістердің
«Экономика» мамандықтары студенттерінің кәсіби біліктілігін
қалыптастырудағы алатын орны туралы мақала келтірілген. Онда пәннің
негізі болып саналатын Сызықты программалау есебінің шығу тарихы,
пән бойынша оқылатын тақырыптар мен олардың қолданылу аясы туралы
қысқаша мағлұматтар берілген.
Қысқаша Силлабус пен Жұмыс бағдарламасы оқу құралын
пайдаланушыларға пәнді оқыту мақсаты мен атқаруға тиіс жұмыстары
туралы мәліметтер алуына мүмкіндік береді. Соңғы жағында келтірілген
Практикум, Рефераттар тақырыптары, тестілік тапсырмалар
студенттердің өз бетінше жұмыстары мен зертханалық жұмыстарды
ұйымдастыруға пайдалы деп есептейміз.
5
ЭКОНОМИКАЛЫҚ-МАТЕМАТИКАЛЫҚ ӘДІСТЕРДІҢ ЭКОНОМИКА
МАМАНДЫҚТАРЫ СТУДЕНТТЕРІНІҢ КӘСІБИ БІЛІКТІЛІГІН
ҚАЛЫПТАСТЫРУДАҒЫ АЛАТЫН ОРНЫ
Бүгінгі күні әлемдік деңгейде кең қолданыс тапқан экономикадағы
математика деп аталатын математиканың бөлігі ХХ - шы ғасырдың екінші
жартысында қарқынды дами бастады.
Экономикадағы математика - деген, атауынан көрініп тұрғандай,
математиканың бұл жаңа облысы математикалық әдістердің экономикалық
үрдістерді зерттеуге қолданылуына қатысты. Экономикадағы математиканың
теориясы туралы айтқанда алдымен Ресейдің атақты математигі академик
Леонид Витальевич Канторовичтің (1917-1986) есімі ауызға бірінші ілінеді.
Шынында, оның ашқан сызықты программалау деп аталатын
математиканың тарауы (1939) бүкіл экономика ғылымының бет-пердесін
өзгертті. Әрине, өзі ашқан жаңа бағытты мойындату үшін Л. В. Канторовичке
ұзақ уақыт күресуге тура келді. Оны түсінбеушілік Кеңес экономистері
арасында көбірек болды. Бірақ дүние жүзінде сызықты программалау әдістері
мен идеялары кең көлемде тарап, экономика ғылымы аясынын да шығып,
көптеген пән аралық терең зерттеулерге ұйтқы болды. Сызықты
программалау элементтері өткен ХХ ғасырдың 60 - шы жылдарынан бастап
Қазақстанның жоғарғы мектептерінде, жекелеген түсініктері орта және
арнайы орта оқу орындарында да өткізіле бастады. Ол кезеңді академик Л. В.
Канторовичтің өзі өмір сүріп, қызмет жасаған Кеңестер Одағы кезеңінен
бөліп қарастыра алмаймыз. Сондықтан да, мақаланың бастауын
Л. В. Канторовичтің экономикалық - математикалық теорияның басталуындағы
алатын орнынан бастаймыз.
6
Л. В. Канторович және сызықты программалау
Л. В. Канторович 1912 жылдың 19 қаңтарында Санкт-Петербург
қаласында дәрігерлер жанұясында дүниеге келді. 1926 жылы 14 жасында, ол
Ленинград университетіне оқуға түседі. Сол кездегі Ленинград университетінде
қалыптасқан жақсы математикалық орта бар болатын. Көп ұзамай
Л. В. Канторович студенттерге арналған белгілі математик Г. М. Фихтенгольцтің
жетекшілігімен ұйымдастырылған үйірмеге қатыса бастайды. Профессор Г.
М. Фихтенгольцтің Математикалық талдау курсына арналған оқулықтары
осы күнге дейін жоғары оқу орындарында қолданыс табуда. 1930 жылы ЛМУ
-ді бітірген ол, Ленинградтың оқу орындарында сабақ бере жүріп ғылыми
зерттеулермен де айналысады. Ғылыми зерттеулерінде үлкен жетістіктерге
жетіп, 1932 жылы Ленинградтың азаматтық құрылыс инженерлерін дайындау
институтында профессор атағын, ал 1934 жылы ЛМУ профессорлығын
алады. Өзі қатысқан Г. М. Фихтенгольцтің математикалық үйірмесі
Л. В. Канторович- Фихтенгольцтардың ғылыми семинарына айналады. Ол
математиканың көптеген салаларынан жаңалық ашқан белгілі ғалым ретінде
танылады. Өз өмірінде 300 - ден астам ғылыми еңбектер жазған ғалым,
еңбектерін мынадай тоғыз тарауға жіктеп қарастыруды ұсынады [1] :
1) функцияның дескритивті теориясы және жиындар теориясы,
2) функцияның конструктивті теориясы,
3) талдаудың жуықтау әдістері,
4) функциональдық талдау,
5) функциональдық талдау және қолданбалы математика,
6) сызықты программалау,
7) есептеуіш техника және программалау,
8) тиімді жоспарлау және тиімді бағалар,
9) жоспарлы экономиканың экономикалық проблемалары.
Бастапқы тараулар 1) -4) көбірек теорияға жақын болса, соңғы 5) -9)
тараулары қолданбалы жағына жақынырақ. Бірақ, өзі атап көрсеткендей
ғылымның өзінде іштей бірлік бар, математика мен экономиканың жан - жақты
7
теориялық және қолданбалы проблемаларын шешуге қажетті идеялар мен
өзгерістердің бір-біріне бойлай енуі орын алады. Оның шығармашылығына
тән ерекшелік сол кездегі математика мен экономиканың ең ауыр
проблемалары мен болашаққа бағытталған алдыңғы қатарлы идеяларының
өзара байланыстылығы. Сондай проблемалардың бірі сызықты программалау
есебі . Кезінде - «өміріңіздегі ең маңызды ғылыми жетістігіңіз не деп есептейсіз
деген сұраққа » - ол сызықты программалау деп, жауап берген. Сызықты
программалаудың пайда болу тарихы мен оның байланыстарына қысқаша
тоқталайық.
Сызықты программалау . Күнделікті өмірде әр түрлі шешімдер ішінен,
мүмкін болатын ең дұрыс шешімді таңдап алуға тура келеді. Оны тиімді
шешім - деп те атайды. Мұнда біз қолда бар құралдар мен қорлардың әр
уақытта жеткілікті бола бермейтінін ескеруіміз керек. Аз мүмкіндіктерді
пайдалана отырып, үлкен жетістіктерге жету үшін жоспар , немесе
әрекеттердің бағдарламасын құру қажет. Оны ғылыми тұрғыдан тиянақтау
үшін XX - шы ғасырдың орта шенінде арнайы математикалық аппарат
құрылды. Математиканың бұл тарауы математикалық программалау деп
аталды. Мұндағы прогаммалау сөзін ЭЕМ- да программа құрумен шатастырмау
керек. Ол кейін пайда болған сызықты программалау, серпінді
программалау т. с. с. түсініктер мен ұштасып жатыр. Сызықты программалау
пайда болған уақыты 1939 жылы Л. В. Канторовичтің “ Өндірісті ұйымдастыру
мен жоспарлаудың математикалық әдістері” атты кітабының шыққан
уақытымен байланыстырылады. Канторовичтің келтірген математикалық
әдістері қолмен есептеуге жарамсыз болды, ал тез есептейтін қазіргі заманғы
есептеуіш машиналар жоқ болды. Сондықтан оның жұмыстары біршама уақыт
ескерусіз қалды. Екінші жағынан Канторовичтің экономикаға қатысты бұл
еңбегі көптеген ғалымдар жағынан түсінік таппай, оған жалған ғылым сияқты
көзқарас қалыптасты. Канторовичке экономикадағы математиканы қолдану
бағытындағы жұмыстарын уақытша тоқтата тұруға тура келді.
8
Сызықты программалаудың өмірге қайта келуін 1950 - ші жылдардың бас
кезінде ЭЕМ- ның пайда болып, жедел қолданысқа енгізілумен байланыстыруға
болады. Леонид Витальевичтің концепциясы соғыстан кейінгі жылдары қайта
ашылды. Америкалық экономист Т. Купманс біршама жылдар бойы математик
ғалымдардың назарын әскери тақырыптарға қатысты ұшақтардың ұшу кестесін
құру, қорларды таратып орналастыру т. б. проблемаларға аударды. Нәтижесінде
математикалық ұжым құрылып, көп-жақтардағы сызықты теңсіздіктермен
берілген сызықты функциялардың экстремумын табу есептерін қарастыра
бастады. Математиканың бұл тармағы Т . Купманстың ұсынысымен (1951ж)
сызықты программалау деп аталды. Кейін операцияны зерттеу,
математикалық экономика, экономикалық кибернетика сияқты аттармен
белгілі болып, тарала бастаған сызықты программалау-сызықты тиімділік
үлгілерін зерттеуге, яғни тиімді мәндері табылуы қажет есептерді шығаруға,
теориялық және сандық талдаулар жүргізуге арналған. Мұндағы үлгілер
зерттелетін объектілер мен үрдістердің, құбылыстардың ең маңызды жақтарын,
белгілерін көрсетуге мүмкіндік береді. Тиімділік немесе экстремум мәндер
табу - максимум немесе минимум мәндер табу. Зерттелетін үрдіс қандай бір
болмасын теңсіздіктер жүйесімен сипатталады.
АҚШ- та сызықты программалау 1947 жылдан бастап, Дж Данциг --
еңбектерінде қалыптаса бастады. Ол, кейін симплекс әдіс деген атақ алған
сызықты программалау есептерін шығарудың қолдануға жеңіл, сандық әдісін
ойлап тапты. Қойылған кедергілерге қарамастан Л. В. Канторович та
экономикалық идеяларға құрылған математикалық жұмыстарына қайта
оралып, Д. Ж. Данцигтен тәуелсіз симплекс әдістің идеясына келді. Оның бұл
еңбектерін жоғары бағалаған Д. Ж. Данциг «Канторович өндіріске қатысты
есептердің үлкен, маңызды класын математикалық тұрғыдан сипаттауға көз
жеткізген бірінші адам болды. Оның ойынша бұлай сипаттау есепке сандық
тұрғыдан қарауға және оны сандық әдістермен шығаруға мүмкіндік
береді . . . Канторович алғашқы табылған мүмкін шешімді пайдалануға
9
негізделген әдісті сипаттады . . . » -деп, өзінің сызықты программалаудың
тарихына арналған еңбегінде атап өтті.
Л. В. Канторовичтің экономикалық жаңалығын қысқаша - тиімді шешім
мен тиімді бағаның өзара тәуелділігі деп тұжырымдауға болады.
Леонид Витальевич 1957 жылғы Ғылым Академиясының Сібір бөліміне
жұмысқа ауысады. Осы кезден бастап ол экономикалық немесе онымен
байланысты математикалық проблемалармен айналысып, бұрынғы жасалған
жұмыстарын ашық түрде жалғастыруға мүмкіндік алды. Бұрын
жарияланбаған еңбектері де жарық көре бастады. Оның ішінде «Қорларды
пайдаланудың ең жақсы экономикалық есептеулері » кітабы да бар. Осы
жасалған еңбектері Кеңестер Одағында В. В. Новожилов және В. С.
Немчиновтармен бірге 1965 жылы Лениндікпен сыйлықпен , ал 1975 жылы
М Купманспен бірге Нобель сыйлықтарымен марапатталады.
Сызықты программалау идеяларының қарышты дамып, қолданысқа ене
басталғаны соншалық, қазір экономика мамандығын алған кез келген
студентке таныс. Ол Қазақстанның университеттерінде оқытылып жүрген
«Экономикалық- математикалық әдістер» пәнімен тікелей байланысты.
Өтілетін негізгі:
... жалғасы- Іс жүргізу
- Автоматтандыру, Техника
- Алғашқы әскери дайындық
- Астрономия
- Ауыл шаруашылығы
- Банк ісі
- Бизнесті бағалау
- Биология
- Бухгалтерлік іс
- Валеология
- Ветеринария
- География
- Геология, Геофизика, Геодезия
- Дін
- Ет, сүт, шарап өнімдері
- Жалпы тарих
- Жер кадастрі, Жылжымайтын мүлік
- Журналистика
- Информатика
- Кеден ісі
- Маркетинг
- Математика, Геометрия
- Медицина
- Мемлекеттік басқару
- Менеджмент
- Мұнай, Газ
- Мұрағат ісі
- Мәдениеттану
- ОБЖ (Основы безопасности жизнедеятельности)
- Педагогика
- Полиграфия
- Психология
- Салық
- Саясаттану
- Сақтандыру
- Сертификаттау, стандарттау
- Социология, Демография
- Спорт
- Статистика
- Тілтану, Филология
- Тарихи тұлғалар
- Тау-кен ісі
- Транспорт
- Туризм
- Физика
- Философия
- Халықаралық қатынастар
- Химия
- Экология, Қоршаған ортаны қорғау
- Экономика
- Экономикалық география
- Электротехника
- Қазақстан тарихы
- Қаржы
- Құрылыс
- Құқық, Криминалистика
- Әдебиет
- Өнер, музыка
- Өнеркәсіп, Өндіріс
Қазақ тілінде жазылған рефераттар, курстық жұмыстар, дипломдық жұмыстар бойынша біздің қор #1 болып табылады.

Ақпарат
Қосымша
Email: info@stud.kz