Трансформаторлар электр энергиясын өндіру


Жоспар
І Кіріспе
ІІ Негізгі бөлім
- Трансформатордың пайда болуы және дамуы
- Трансформаторлар электр энергиясын өндіру, тарату және жеткізу.
- Импульстік Трансформаторлар мен қоректендіру
- Жүктемесіз трансформатор
- Жүктемелі трансформатор
- Электр энергиясын өндіру және жеткізу
- Үш фазалы трансформатордың құрылысы
- Үш фазалы трансформатордың орамаларын жалғау сұлбалары және жалғану тобы туралы түсінік
Қорытынды
Пайдаланылған әдебиеттер
Кіріспе
Трансформатор (лат. transformo - түрлендіремін) - кернеулі айнымалы токты жиілігін өзгертпей басқа кернеулі айнымалы токқа түрлендіретін статикалық электрмагниттік құрылғы. Трансформатордың жұмыс істеу принципі электро-магниттік индукция құбылысына және параметрлік эффектіге негізделген. Негізгі элементтері магнитөткізгіш және онда орналасқан бірінші реттік орамалар (БРО) мен бір немесе бірнеше екінші реттік орамалардан (ЕРО) тұрады. Трансформатордың барлық орамалары бір-бірімен индуктивті түрде, ортақ магнит өрісімен байланысқан. Бірқатар Трансформаторларда екінші реттік орама қызметін бірінші реттік ораманың бір бөлігі атқарады, [1] мұндай Трансформаторларды автотрансформаторлар деп атайды. Бірінші реттік орамаларның шықпаларын (Трансформатордың кірісі) айнымалы кернеу көзіне, ал Екінші реттік орамаларның шықпаларын жүктемеге қосады. Бірінші реттік орамалардағы айнымалы ток магнитөткізгіште айнымалы магнит ағынын, ал Екінші реттік орамалардағы өзара индукция электр қозғаушы күш (ЭҚК) тудырады. Бірінші және екінші реттік орамалардағы кернеулердің қатынасы олардағы орамдар санының қатынасына тең болады. Түрлендіретін ток түріне қарай 1 фазалы және 3 фазалы трансформаторлар болады. Атқаратын қызметіне қарай олар күштік немесе қоректендіру Трансформаторлары (электр энергиясын таратуға арналған), жоғары кернеулі сынақ Трансформаторлары, ток немесе кернеу импульстерін түрлендіру үшін қолданылатын импульстік Трансформаторлар, үлкен токтар мен кернеулерді өлшеуге арналған өлшеуіштік Трансформаторлары, жоғары жиілікті кернеулерді түрлендіруге арналған радиожиілікті Трансформаторлар және радиоэлектрондық құрылғылардың қоректендіруші блоктарында қолданылатын , т. б. бөлінеді. Импульстік Трансформаторлар мен қоректендіру Трансформаторлары бірнеше Гц-тен 2 МГц-ке дейінгі жиілікте, радиожиілікті Трансформаторлар 500 МГц-ке дейінгі жиілікте жұмыс істейді. Трансформаторлардың магнитөткізгіштігі магниттік өтімділігі жоғары материалдардан (мысалы, электртех. болат таспаларынан, магнитодиэлектриктер мен фериттерден) жасалады. Электрмен жабдықтау жүйелерінде, негізінен майлы Трансформаторлар қолданылады. Күштік Трансформаторлар Қазақстанда Кентау трансформатор зауытында шығарылған. Қазіргі кезде электр-механикалық жабдықтар осы зауыттың негізінде құрылған Трансформатор ААҚ-да шығарылады.
Трансформатордың пайда болуы және дамуы
Трансформатор - айнымалы токтың кернеуін жоғарылатуға немесе төмендетуге арналған электр приборы. Үй жағдайында, трансформаторды пайдаланып, электр приборын кернеуі 127 В желілен кернеуі 220 В желіге және керісінше қосуға болады. Егер трансформатор жоғары кернеулі желіге ауыстырылып қосылса, онда оны кернеуі 220 В желіге қосуға болмайды. Өйткені одан алынатын жоғары кернеу (380 В-тан астам) транформаторлық және ол арқылы қосылған электр приборларының бұзылуына әкеліп соқтыруы мүмкін. Трансформатор таңдаған кезде оның қуаты электр приборларын бір мезгілде қоректендіруге арналған құрал-жабдықтардың жалпы қуатынан кем болмауын есте сақтаған жөн.
Әр түрлі құралдар мен қондырғылар тұтынатын кернеу өте кең диапазонда өзгереді. Тіпті бір электр қондырғысы әр түрлі кернеу пайдалануы мүмкін. Қуаттың тұрақты дерлік мәнінде айнымалы ток кернеуінің ток күшімен қатар өзгеруін айнымалы токтың трансформациясы дейді. Айнымалы токтың трансформациясын жүзеге асыратын құрал трансформатор деп аталады. Ол электромагниттік индукция құбылысының негізінде жұмыс істейді. Бұл құралды орыс ғалымы П . Н . Яблочков (1878 ж. ) ойлап тапқан, кейін оны (1882 ж. ) И . Ф . Усагин жетілдірді.
Қазіргі трансформаторлар, Фуко тогын азайту үшін оқшауланған пластиналардан құралған тұйық өзекшеден түрады. Өзекше пластиналары трансформаторлық болаттан жасалады, ол өте аз шығынмен оңай қайта магниттеледі. Өзекшеге екі катушка кигізіледі. Бір катушка айнымалы ток тізбегіне қосылады, оны біріний реттік орама (катушка) дейді. Екінші катушкаға тұтынушы, яғни электр қондырғыларын қосады. Оны екінші реттік орама (катушка) деп атайды. Катушкалардың активті кедергілері аз. Генератор бірінші реттік катушкаға
U
1
айнымалы кернеу береді. Оның бойынан жүретін айнымалы ток трансформатордың өзекшесінде айнымалы магнит ағынын тудырады. Олай болса, бірінші реттік катушканың әр орамында өздік индукция ЭҚК-і, ал екінші реттік катушканың әр орамында дол сондай индукциялық ЭҚК-і пайда болады.
Егер бірінші реттік катушканың орам саны
n
1
, ал екінші реттік катушкада
n
2
болса, Ε
1
=
en
1
, Ε
1
=
en
2
, мұндағы
e
- бір орамдағы индукциялық ЭҚК. Осы екі өрнектен
(2. 21)
шығады. Активті кедергі аз болғандықтан, бірінші реттік катушка үшін
U 1 = Ε 1 = n 1 e
аламыз.
Трансформаторлар электр энергиясын өндіру, тарату және жеткізу.
Трансформатор (лат. transformo - түрлендіремін) - кернеулі айнымалы токты жиілігін өзгертпей басқа кернеулі айнымалы токқа түрлендіретін статикалық электрмагниттік құрылғы. Трансформатордың жұмыс істеу принципі электро-магниттік индукция құбылысына және параметрлік эффектіге негізделген. Негізгі элементтері магнитөткізгіш және онда орналасқан бірінші реттік орамалар (БРО) мен бір немесе бірнеше екінші реттік орамалардан (ЕРО) тұрады. Трансформатордың барлық орамалары бір-бірімен индуктивті түрде, ортақ магнит өрісімен байланысқан. Бірқатар Трансформаторларда екінші реттік орама қызметін бірінші реттік ораманың бір бөлігі атқарады, мұндай Трансформаторларды автотрансформаторлар деп атайды. Бірінші реттік орамаларның шықпаларын (Трансформатордың кірісі) айнымалы кернеу көзіне, ал Екінші реттік орамаларның шықпаларын жүктемеге қосады. Бірінші реттік орамалардағы айнымалы ток магнитөткізгіште айнымалы магнит ағынын, ал Екінші реттік орамалардағы өзараиндукция электр қозғаушы күш (ЭҚК) тудырады. Бірінші және екінші реттік орамалардағы кернеулердің қатынасы олардағы орамдар санының қатынасына тең болады. Түрлендіретін ток түріне қарай 1 фазалы және 3 фазалы Трансформаторлар болады. Атқаратын қызметіне қарай олар күштік немесе қоректендіру Трансформаторлары (электр энергиясын таратуға арналған), жоғары кернеулі сынақ Трансформаторлары, ток немесе кернеу импульстерін түрлендіру үшін қолданылатын импульстік Трансформаторлар, үлкен токтар мен кернеулерді өлшеуге арналған өлшеуіштік Трансформаторлары, жоғары жиілікті кернеулерді түрлендіруге арналған радиожиілікті Трансформаторлар және радиоэлектрондық құрылғылардың қоректендіруші блоктарында қолданылатын , т. б. бөлінеді.
Импульстік трансформаторлар мен қоректендіру
Трансформаторлар бірнеше Гц-тен 2 МГц-ке дейінгі жиілікте, радиожиілікті Трансформаторлар 500 МГц-ке дейінгі жиілікте жұмыс істейді. Трансформаторлардың магнитөткізгіштігі магниттік өтімділігі жоғары материалдардан (мысалы, электртех. болат таспаларынан, магнитодиэлектриктер мен фериттерден) жасалады. Электрмен жабдықтау жүйелерінде, негізінен майлы Трансформаторлар қолданылады. Күштік Трансформаторлар Қазақстанда Кентау трансформатор зауытында шығарылған. Қазіргі кезде электр-механикалық жабдықтар осы зауыттың негізінде құрылған Трансформатор ААҚ-да шығарылады. [2]
Трансформатор - айнымалы токтың кернеуін жоғарылатуға немесе төмендетуге арналған электр приборы. Үй жағдайында, трансформаторды пайдаланып, электр приборын кернеуі 127 В желілен кернеуі 220 В желіге және керісінше қосуға болады. Егер трансформатор жоғары кернеулі желіге ауыстырылып қосылса, онда оны кернеуі 220 В желіге қосуға болмайды. Өйткені одан алынатын жоғары кернеу (380 В-тан астам) транформаторлық және ол арқылы қосылған электр приборларының бұзылуына әкеліп соқтыруы мүмкін. Трансформатор таңдаған кезде оның қуаты электр приборларын бір мезгілде қоректендіруге арналған құрал-жабдықтардың жалпы қуатынан кем болмауын есте сақтаған жөн.
Әр түрлі құралдар мен қондырғылар тұтынатын кернеу өте кең диапазонда өзгереді. Тіпті бір электр қондырғысы әр түрлі кернеу пайдалануы мүмкін. Қуаттың тұрақты дерлік мәнінде айнымалы ток кернеуінің ток күшімен қатар өзгеруін айнымалы токтың трансформациясы дейді. Айнымалы токтың трансформациясын жүзеге асыратын құрал трансформатор деп аталады. Ол электромагниттік индукция құбылысының негізінде жұмыс істейді. Бұл құралды орыс ғалымы П . Н . Яблочков (1878 ж. ) ойлап тапқан, кейін оны (1882 ж. ) И . Ф . Усагин жетілдірді.
Қазіргі трансформаторлар, Фуко тогын 2. 24-сурет азайту үшін оқшауланған пластиналардан құралған тұйық өзекшеден түрады. Өзекше пластиналары трансформаторлық болаттан жасалады, ол өте аз шығынмен оңай қайта магниттеледі. Өзекшеге екі катушка кигізіледі (2. 24-сурет) . Бір катушка айнымалы ток тізбегіне қосылады, оны біріний реттік орама (катушка) дейді. Екінші катушкаға тұтынушы, яғни электр қондырғыларын қосады. Оны екінші реттік орама (катушка) деп атайды. Катушкалардың активті кедергілері аз. Генератор бірінші реттік катушкаға
айнымалы кернеу береді. Оның бойынан жүретін айнымалы ток трансформатордың өзекшесінде айнымалы магнит ағынын тудырады. Олай болса, бірінші реттік катушканың әр орамында өздік индукция ЭҚК-і, ал екінші реттік катушканың әр орамында дол сондай индукциялық ЭҚК-і пайда болады.
Егер бірінші реттік катушканың орам саны
, ал екінші реттік катушкада
болса,
,
, мұндағы
- бір орамдағы индукциялық ЭҚК. Осы екі өрнектен
шығады. Активті кедергі аз болғандықтан, бірінші реттік катушка үшін
аламыз.
Жүктемесіз трансформатор
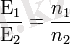
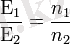
Екінші реттік катушкаға жүктеме қосылмасын (2. 25, а-сурет), яғни трансформатор зая жүрісте болсын. Онда екінші реттік орамада ток жүрмейді, сондықтан жуықтап алғанда оның қысқыштарындағы кернеу
. Жүктеме жоқ кезде екінші реттік тізбекте энергия шығыны жоқ. Ал бірінші реттік тізбекте жалғаушы сымдар мен өзекшенің джоульдік жылу бөліну есебінен қызуына және өзекшенің қайта магниттелуіне кететін өте аз энергия шығыны бар, мұны ескермесе де болады. Сонымен, трансформатордың зая жүрісі үшін (2. 21) -ді ескере отырып,
аламыз, мұндағы
- трансформация коэффициенті, яғни екінші және бірінші реттік катушкалардың орам сандарының қатынасына тең шама. Трансформатордың зая жүрісінде
. Егер
болса,
трансформатор төмендеткіш, ал
болса,
, бұл трансформатор жоғарылатқыш деп аталады. Жоғарылатқыш трансформатордың бірінші реттік катушкасының орам саны екінші реттік катушканың орам санынан аз, ал төмендеткіш трансформаторда керісінше.
Жүктемелі трансформатор
Екінші реттік тізбекке қандай да бір жүктеме қосайық (2. 25, ә-сурет) . Онда бұл тізбекте жиілігі бірінші реттік тізбектегі ток жиілігіне тең
айнымалы ток туады. Сондықтан екінші катушкада өздік индукция ЭҚК-і пайда болады, оның үштарындағы кернеу аздап төмендейді. Ленц ережесі бойынша өздік индукция ЭҚК-і магнит ағынын азайтады. Бұл магнит ағыны екі катушканы бірдей тесіп өтетін болғандықтан, оның азаюы бірінші реттік катушкадағы өздік индукция ЭҚК-і
-дің кемуіне әкеп соғады. Ал, онда бірінші тізбекте
кернеудің мәні тұрақты болса да ток күші артады.
Өз ретінде бірінші реттік тізбектегі ток күшінің өсуі магнит ағынының артуын тудырады, онда екінші реттік тізбектегі индукциялың ЭҚК-і мен ток күші артады. Бұдан әрі осы сипатталған процестер берілген жүктеме үшін белгілі бір магнит ағыны, екінші реттік тізбектегі индукциялық ЭҚК-і жәнө бірінші реттік тізбектегі
ток күші түракталғанша жүре береді.
Енді трансформатор генератордан өзінің зая жүрісіне қарағанда екінші реттік тізбек тұтынатын қуатқа тең қуатты көбірек алады. Егер аздаған энергия шығынын ескермесек, энергияның сакталу заңы бойынша, генератордың энергиясы бірінші реттік тізбектен екінші реттік тізбекке магнит өрісі арқылы беріледі. Сондықтан шығынды ескермей, былай жазуға болады:
, бұдан
Кернеуді неше ece арттырса, ток күші сонша есе кемиді. Қазіргі трансформаторлардың пайдалы әрекет коэффициенті
өте жоғары, ол 99%-ға дейін жетеді, яғни шығын бар болғаны 1-2%.
Электр энергиясын өндіру және жеткізу
Қоғам дамыған сайын энергия тұтыну қажеттігі қарқындап өсе түседі. Әсіресе электр энергиясының орны ерекше, себебі энергияның басқа түрлерімен салыстырғандағы, оның бірнеше артықшылықтары электр энергиясын өте аз шығынмен энергияның кез келген басқа түріне оңай айналдыруға және оны алыс қашықтыққа жеткізуге мүмкіндік береді.
Электр энергиясы айнымалы токтың индукдиялық генераторларынан әр түрлі электр станцияларында өндіріледі. Электр станциялары көмір мен мұнай қорларының жанында (жылу электр станциялары) немесе өзен-сулардың бойында (су электр станциялары) тұрғызылады. Жылу электр стандияларында отынның (мысалы, көмірдің) жылу энергиясы электр энергиясына түрленеді. Жоғары қысымда қызған бу ағыны бу турбинасының роторын айналдырады, сонда онымен бір оське орнатылған генератордың роторы да айналады. Су электр станцияларында судың механикалық энергиясы электр энергиясына түрленеді. Өзенді бөгеп, платинамен суды биікке көтереді. Биіктен гидравликалық турбинаның қалақшаларына құлаған су ағыны оны генератордың роторымен қоса айналдырады.
Қазіргі кезде дүние жүзінде өндірілетін электр энергиясының біраз бөлігі атом электр станцияларында өндіріледі. Мұнда ауыр ядролардың тізбекті реакциясы кезінде бөлінген атомның ішкі энергиясы электр энергиясына түрленеді. Тізбекті реакция ядролық реактор деп аталатын қондырғыларда жүреді. Бұл туралы біз ядролық физика тарауында кеңірек айтамыз. Электр станцияларының отын немесе су қорларының жанында орналасуынан, электр энергиясын тұтынушыға дейін жеткізу мәселесі туады. Алыс қашықтыққа электр тасымалдау желісінде шығын көбейеді. Джоуль-Ленц заңы бойынша
, ал
- екенін ескерсек, электр желісінің ұзындығы
артқан сайын, шығын да көбейеді. Оны қалай азайтуға болады?
Кедергіні азайту үшін сымдардың көлденең қимасының ауданын арттыру (жуан сымдарды пайдалану) немесе меншікті кедергісі аз материалдарды (мысалы, күмісті) қолдану керек. Бұл екі жолдың да іс жүзінде тиімділігі жоқ екені өз-өзінен түсінікті. Джоуль-Ленц заңының өрнегіне қарасақ, шығынды азайтудың тағы бір жолы - ток күшін азайту екенін көреміз. Бірақ берілетін қуат өзгермей қалуы тиіс. Қуат ток күші мен кернеудің көбейтіндісіне тең болғандықтан, ток күшін неше есе азайтсақ, кернеуді сонша есе арттыру керек. Олай болса, электр энергиясын жеткізу мәселесі токты трансформациялаумен байланысты.
Генератордың өндіретін кернеуі
, ал жүктеменің тұтынатын кернеуі
болсын. Онда
, мұндағы
- желінің толық кедергісі. Әдетте, желінің активті кедергісі оның реактивті кедергісінен әлдеқайда артық болып келеді. Сондықтан желідегі кернеудің түсуі оның активті кедергісімен анықталады:
. Олай болса, желідегі энергия шығыны былай есептеледі:
Генератордың берілген қуаты үшін желідегі энергия шығыны оған түсірілген кернеуге кері пропорционал.
Генератордың қуаты
тұрақты болғанда, желіге берілген кернеудің
және
мәндері үшін энергия шығынын есептейік:
бұлардың қатынасы:
Егер желіге берілетін кернеу жеткілікті түрде жоғары болмаса, уақыт бірлігі ішінде сымдардағы шығын генератордың қуатынан асып кетуі мүмкін, онда энергия тұтынушыға мүлдем жетпей қалады. Осы айтылғандардан электр желісіне жоғары кернеу беру керек екені түсінікті. Айнымалы ток генераторларының өндіретін кернеуі жуықтап алғанда 20 кВ-тан аспайды. Сондықтан электр станцияларында жоғарылатқыш трансформаторлар қойылады. Әдетте, кернеу бірнеше саты жоғарылатылып барып, электр желісіне беріледі. Желінің аяғында кернеу бірнеше саты төмендетіліп, бұдан соң тұтынушыға беріледі. Біздің елде 220 В кернеу кеңінен қолданылады.
Тұрақты токты желімен тасымалдаса, шығын айнымалы токпен салыстырғаыда әлдеқайда аз болар еді. Біріншіден, қайта магниттелуге шығын жоқ, екіншіден, реактивті кедергі нөлге тең. Бірақ тұрақты токты трансформациялауға болмайды, трансформатор электромагниттік индукцияның негізінде жұмыс істейді ғой. Алдымен, айнымалы токты жоғары кернеуге трансформациялап, содан кейін оны түзетіп, желіге жіберуге болады. Тұтынушыға жеткен соң тұрақты токты қайтадан айнымалы токқа айналдырып, кернеуді қажет мәнге дейін төмендетуге болар еді. Бірақ тұрақты токты қайтадан айнымалы токқа айналдырудың қиыншылықтары бар. Сондықтан қазіргі кезде, негізінен, айнымалы ток қолданылады.
Қазіргі кезде адамзат қоғамының өмірін энергиясыз елестету мүмкін емес. Кеш бата бәріміз электр жарығымен өмір сүреміз, үйдегі көптеген электр құралдары, демалыс, көңіл көтеру орындарының тіршілігі, бүкіл өндіріс, өнімдерді өңдеу, басқа да қажетті заттарды жасау технологиялары электр энергиясын қолдана отырып жүзеге асатынын білеміз.
Үш фазалы трансформатордың құрылысы
Электрмен жабдықтауда қолданылатын күштік трансформаторлар негізінен үш фазалы болады. Үш фазалы трансформаторда үш біріншігәр және үш екіншігәр орамалар үш тармақты өзекке орналасқан (1-сурет) . Трансформаторға берілетін және одан шығатын кернеудің атына сәйкесті біріншігәр орамалардың кысқыштарын А, В, С (аяқтары), X, Y, Z (аяқтары) деп, Ал екіншігәр орамаларда а, в, с (бастары) және x, y, z (аяқтары деп белгіленеді. Орамалар әдетте фаза деп аталады: А фазасы, В фазасы, С фазасы.
Өзек, жоғарыда айтылғандай, арнаулы трансформаторлық болаттан жасалған; олар қалыңдығы 0, 3-. . 0, 5мм парақшалардан жинастырылған; парақшалар бір-бірінен лакпен оқшауланған. Бір фазаның біріншігәр және екіншігәр орамалары бір өзекке орналасқан.
Үш фазалы трансформатордың сұлбалық құрылысы (а) мен шартты белгілері (б, в) .
2-сурет. Күштік трансформатордың сұлбалық құрылысы: 1-жоғары және төмен кернеулік оқшаулатқыштар; 2 - кеңейткіш тенек; 3-үш шыпталы өзек; 4- тенек; 5-радиатор; 6-орамалар; 7-май; 8-сыналар мен тіреушелер.
Магнит өткізгіштің орамалар орналасқан бөлігін шыпта (1) деп, ал олардың ұштарын қосып тұратын бөлігін мойынтұрық (2) деп атайды.
Орамаларға үш фазалы симметриялы кернеу берілетіндіктен қоздырылатын магнит өрістерінің магнит ағындары да симметриялы болады. Сондықтан олардың алгебралық қосындысы әрбір мезетте нөлге тең болады:
Осындай амплитудалары өзара тең, бірақ фазалары 120°-қа ығысқан үш магнит ағыны үш екіншігәр орамада мәндері өзара тең, бірақ фазалары 120°-қа ығысқан үш ЭҚК тудырады.
Трансформаторлардың жұмыс кезінде қызатыны және оның себептері белгілі. Қолданылған оқшаудың түріне қарай трансформаторлар үшін МСт олардың мөлшерлі қызу температураларын бекіткен. Егер трансформатордың температурасы оның мөлшерлі қызу температурасынан асып кетсе, орамалар мен өзектердің оқшауы тез тозады да трансформатордың істен шығып қалуы мүмкін. Сондықтан оларды салқындату үшін және орамалардың оқшауын жақсарту үшін күштік трансформаторларды арнаулы трансформатор майы құйылған тенекке (4) салып қояды (2-сурет) . Май (7) қызған кезде көлемін ұлғайтатындықтан және газ шығарып тұратындықтан май құйған тенектің үстіне кеңейткіш тенек (2) орналастырылады һәм газдан қорғайтын реле қояды. Май қызып келемін ұлғайтқан кезде артық май түтік арқылы сол кеңейткіш тенекке көтеріледі. Тенектің сыртында майды салқындатуға арналған радиаторлары (5) болады. Трансформаторларда оның сыртқы және ішкі, төменгі және жоғарғы жақтарының температураларының әртүрлі болатындығынан май өзінен-өзі циркуляция жасап тұрады. Ал өте үлкен, қуатты күштік трансформаторларда майды сорғымен айдап еріксіз циркуляция жасатады.
Орамалардың (6) үштары жоғары және төмен кернеулік оқшаулатқыштарға (1) жалғанады. Ал трансформатордың өзі тенектің ішінде сыналар мен тіреушелер (8) арқылы бекітіледі.
Бір фазалы трансформаторлар тобы.
Қуаты үлкен үш фазалы трансформаторлардың магнит өткізгіші өте ауыр болатындықтан оларды қозғау, кетеру және тасымалдау жұмыстары қиындайды. Сондықтан трансформаторды жеңілдету мақсатымен үш фазалы кернеуді бір фазалы үш трансформатордың көмегімен алу қолданылады (3-сурет) . Мұндай бір фазалы үш трансформаторды - трансформаторлар тобын қолдану оларды салқындату үшін де ете тиімді. Өйткені трансформаторлардың қуаты артқан сайын ондағы энергияның шығыны да арта түседі. Бірақ шығынның артуына қарағанда орамалар мен өзектің салқындайтын беті трансформатордың қуаты артқан сайын аз мөлшерде өседі. Ал, бір фазалы трансформаторлар тобындағы трансформаторлар бөлек тенектерге салынатындықтан олардың салқындайтын беті бір тенекті үш өзекті трансформатордың салқындайтын бетінен әлдеқайда артық болады.
Үш орамалы трансформатордың бір фазасының сұлбалық кұрылысы (а) мен шартты белгілері (б, в) .
... жалғасы- Іс жүргізу
- Автоматтандыру, Техника
- Алғашқы әскери дайындық
- Астрономия
- Ауыл шаруашылығы
- Банк ісі
- Бизнесті бағалау
- Биология
- Бухгалтерлік іс
- Валеология
- Ветеринария
- География
- Геология, Геофизика, Геодезия
- Дін
- Ет, сүт, шарап өнімдері
- Жалпы тарих
- Жер кадастрі, Жылжымайтын мүлік
- Журналистика
- Информатика
- Кеден ісі
- Маркетинг
- Математика, Геометрия
- Медицина
- Мемлекеттік басқару
- Менеджмент
- Мұнай, Газ
- Мұрағат ісі
- Мәдениеттану
- ОБЖ (Основы безопасности жизнедеятельности)
- Педагогика
- Полиграфия
- Психология
- Салық
- Саясаттану
- Сақтандыру
- Сертификаттау, стандарттау
- Социология, Демография
- Спорт
- Статистика
- Тілтану, Филология
- Тарихи тұлғалар
- Тау-кен ісі
- Транспорт
- Туризм
- Физика
- Философия
- Халықаралық қатынастар
- Химия
- Экология, Қоршаған ортаны қорғау
- Экономика
- Экономикалық география
- Электротехника
- Қазақстан тарихы
- Қаржы
- Құрылыс
- Құқық, Криминалистика
- Әдебиет
- Өнер, музыка
- Өнеркәсіп, Өндіріс
Қазақ тілінде жазылған рефераттар, курстық жұмыстар, дипломдық жұмыстар бойынша біздің қор #1 болып табылады.

Ақпарат
Қосымша
Email: info@stud.kz