Сорғыштар


Кіріспе
12 Әр түрлі сорғыштардың жұмыс істеу сипаттамаларына әсері. Сорғыштарды іске қосу
Сорғыш сипаттамасы .
Сорғыштар мен тораптың (су өткізуші құбырдың) бірлескен жұмысы, параллель және тізбекті жұмыстары тұрғызылады.
Сорғыштың маркасы мен типін таңдау тасушы беруінің негізгі шарттарын орындауға негізделген қажетті шығын мен арын. Өнімділігі Q және арыннан H басқа айдауыштың жұмысын толық N және пайдалы қуат N n , пайдалы әсер коэффициенті η сипаттайды.
Сорғыштарға мыналар қолданылады:
-сорғыштың арыны Н-бұл меншікті энергия сорғыштың соратын қысқа құбырынан (сорғышқа кіретін жері) айдауыштың қысқа құбырына дейінгі(сорғыштан шығатын жері) өсімі. Геометриялық талдауда (интерпритацияда) арын дегеніміз ол сұйықтың көтерілу биіктігі немесе арын көтеру қашықтығы, м;
-сорғыштың беретін (шығын) Q -бұл м 3 /с, м 3 /сағ, л/с уақыт бірлігінде сорғышпен берілетін сұйық көлемі немесе сорғыштың өнімділігі ;
-сорғыштың қуаты N қажетті арынның пайда болуына және кедергіні жеңуге қолданылады, кВт;
-пайдалы әсер коэффициенті (ПӘК) қозғалтқыш тетіктің механикалық энергиясының сорғыш арқылы қозғалыстағы сұйықтың
энергиясына айналуына байланысты шығынды ескереді және жұмысының басқа параметрлері өзгерген кездегі сорғыштың пайдаланылуының мақсатқа сәйкестігін анықтайтын экономикалық
параметр болып табылады.
Сумен жабдықтау, суды әкету, жылыту және жылу энергетикасы жүйелерінде көбінде қалақты сорғыштар, арын мен берудің үлкен кеңістігінде (диапазонында) жұмыс істейтін ортадан тепкіш және өстік сорғыштар қолданылады. Ортадан тепкіш сорғыштардың жұмыс істеу принціпі мынадай: жұмыс доңғалағының айналуы кезінде сұйыққа ортадан тепкіш күш Fо әсер етеді, осы күштің әсерінен сұйық жұмыс доңғалағынан арынды қысқа құбырға беріледі. Fо-ның пайда болуына байланысты жұмыс доңғалағының ортасында разрядталу пайда болады. Ал жұмыс доңғалағының шеткі бөлігінде қысым көбейеді.
Сорғыштың агрегатын таңдау және есептеу кезінде оның жұмысының шамаланған (құю кезіндегі жұмыс, су көзінен суды алу), суды тұтынушыға беру (бірқалыпты немесе бірқалыпсыз беру) және де тұтынушының суды қолдануды көбейту мүмкіншілігін немесе жоғары деңгейде қосымша су беруді ескеру қажет. Бұл ерекшеліктер курстық жұмысты орындау кезінде ескеріледі және жұмыс
сорғыштарының саны оларды іске қосу сызба нұсқасы (сорғыштың қатар және тізбектелген жұмысы), сорғыш сипаттамасы (жұмыс доңғалағының айналу саны немесе диаметрі), сорғыштар мен тораптың бірлескен жұмысы өзгерген кездегі сорғыш станцияларының немесе сорғыштың жұмысын реттеуге мүмкіндік береді.
Сорғыштың маркасы мен типін таңдауда туындайтын ең негізгі есептің бірі оның толық арынын анықтау, соратын және айдауыш (арынды ) құбырдағы арын жоғалуын анықтау болып табылады.
Сорғыштың маркасы мен типін таңдау үшін керекті есептік шығынға сәйкес өнімділігінен басқа оның толық арынын (Н) анықтау қажет.
Сорғыштардың соратын құбырлары тек болат құбырдан жасалады.
Сору құбыр желісінің қалыпты жұмыс істеу тәртібі. құбыр желілері пропорциональды су мөлшерін өткізеді.
Екі сору құбыры болғанда, олардың әрбіреуі екі есе аз шығын өткізеді.
Сорғыш станциясы тәулік бойы бірқалыпты жұмыс істейтін діктен, сорғыш типін таңдауды келесі әдістеме бойынша жүргізуге болады.
Сорғыштың параллель жұмысы дегеніміз сорылатын сұйықтың бірнеше сорғышпен бір су өткізуші құбырға бір мезгілде берілуі. Сорғыштың параллель жұмысына қажеттілік керекті су шығынын бір сорғыштың беруімен қамтамасыз ету мүмкін болмаған жағдайда туындайды.
Ортадан тепкіш сорғыштар тек қана тең арын аймағында параллель жұмыс атқара алады.
Сорғыштардың тіркескен жұмысы дегеніміз бір сорғыштың қотарылатын (сорылатын ) сұйықты екінші сорғыштың соратын қысқа құбырына беруі . Одан ары сұйықбір сорғыштың жұмысымен салыстырғанда үлкен арынмен арынды құбыр желісіне құйылады.
25. Көлденең желдеткіштердің өлшемдерін анықтау.
Анықтау үшін өнімділік L-м 3 /с-пен; қысым P-Па-мен (келтерілген ρ=1, 2 кг/м) ; w-рад/с берілуі тиіс.
n y -тез жүру шартын есептейді
Желдеткішке кіру диаметрін ағынның қалақшаларға кіру кезіндегі минималдық шығын шартынан туындайтын ЦАТИ формуласы /3/ бойынша анықтайды, мұнда тез жүру шартына n y байланысты k=1, 6-1, 8 деп алу ұсынылады.
D
0
=k
м
Алдыға қиғаш қалақшалы желдеткішткр үшін және n y =20÷55 болғанда орташа k=1, 65 деп ұсынылады, ал артқа қиғаш қалақшалар үшін және n y =40÷80 болғанда k=1, 75.
Кейін ЦАТИ k'=1, 35÷1, 9 мәндері үшін басқа түрлі формуланы ұсынды.
,
Екі формула да көрсетілген аралықта жеткілікті сәйкес нәтиже береді.
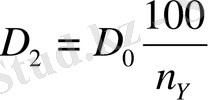
- доңғалаққа кіру диаметрін (доңғалақ қалақшаларына) D конструктивті ұғым бойынша қабылдайды D1=D0(6-сурет) .
- Доңғалақтың сыртқы диаметрін доңғалағының екі (жалпақтығы) тұрақты (b1=b2) болатын, алдыға қиғаш қалақшалы β2>90º және оның тез жүру шарты ny=20÷55 аралығында болатын қалыпты типтегі жақсы көлденең желдеткіштердің көптеген тәжірибе нәтижелерін статистикалық өңдеу негізінде орташа анықтауға болады:
,
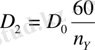
Артқа қиғаш қалақшалы (β 2 <90º) және тез жүру шарты n y =40÷80 аралығында болатын көлденең желдеткіштер тәжірибесі нәтижесінің анализы орташа мынаны ұсынуға мүмкіндік береді:
, тікбұрышты қиманың спиральды корпусының енін монтаждық ұғымдарын алуға болады. Ауа өткізуші құбырларға жалғау үшін ең тиімдісі шығару тесіктерінің формасы квадрат түрінде және аудандары кіру тесіктеріне тең болатын спиральды корпустар болып табылады.
Онда
и B=0. 885D 0 , м
- доңғалақ кірісіндегі қысым шығынын азайту үшін, ағындылық аудандарының сақталу әдісімен, мұндағы жылдамдықты желдеткішке кіру жылдамдығына тең етіп сақтау қажет:
- Іс жүргізу
- Автоматтандыру, Техника
- Алғашқы әскери дайындық
- Астрономия
- Ауыл шаруашылығы
- Банк ісі
- Бизнесті бағалау
- Биология
- Бухгалтерлік іс
- Валеология
- Ветеринария
- География
- Геология, Геофизика, Геодезия
- Дін
- Ет, сүт, шарап өнімдері
- Жалпы тарих
- Жер кадастрі, Жылжымайтын мүлік
- Журналистика
- Информатика
- Кеден ісі
- Маркетинг
- Математика, Геометрия
- Медицина
- Мемлекеттік басқару
- Менеджмент
- Мұнай, Газ
- Мұрағат ісі
- Мәдениеттану
- ОБЖ (Основы безопасности жизнедеятельности)
- Педагогика
- Полиграфия
- Психология
- Салық
- Саясаттану
- Сақтандыру
- Сертификаттау, стандарттау
- Социология, Демография
- Спорт
- Статистика
- Тілтану, Филология
- Тарихи тұлғалар
- Тау-кен ісі
- Транспорт
- Туризм
- Физика
- Философия
- Халықаралық қатынастар
- Химия
- Экология, Қоршаған ортаны қорғау
- Экономика
- Экономикалық география
- Электротехника
- Қазақстан тарихы
- Қаржы
- Құрылыс
- Құқық, Криминалистика
- Әдебиет
- Өнер, музыка
- Өнеркәсіп, Өндіріс
Қазақ тілінде жазылған рефераттар, курстық жұмыстар, дипломдық жұмыстар бойынша біздің қор #1 болып табылады.

Ақпарат
Қосымша
Email: info@stud.kz