Физикалық шамаларды өлшеу


КІРІСПЕ
Қазiргi кәсіпорындардың бақылау-өлшеу жабдықтарымен жарақтанғандығы, оның қолданылу тиiмдiлiгi әртүрлi өнеркәсiп салаларының даму деңгейлерiн анықтайды. Радиотехника, Электротехника, электроника сияқты экономика салаларында өлшеу барлық еңбек шығынының 50%-н құрайды.
Технологиялық циклдердің күрделенуі үлкен өлшемді параметрлер мен физикалық шамаларды бір мезгілде анықтауды қажет ете бастады, өлшеу құралдары мен жүйесінің дәлдік және тезәрекеттілігінің ұлғаюы, динамикалық өлшеудің ролі өсті. Кәсіпорындарда автоматты бақылау жүйесінің негізі нормативті метрологиялық сипатқа ие техникалық құралдар - өлшеу түрлендіргіштері (датчиктер) болып табылды.
Оқу құралында кәсіпорындарда және зерттеулерде жиі кездесетін физикалық шамаларды өлшеуге арналған өлшеу жүйесі мен құралдардың түрлері қарастырылған.
Бірінші бөлімде өлшеу құралдары мен қателіктерінің жіктелуі және негізгі метрологиялық сипаттамалары көрсетілген. өлшеу жүйесінің негізгі құраушылары, өлшеу нәтижелерін бағалау мәселелері келтірілген.
Екінші бөлімде өлшеу түрлендіргіштерінің түрлері және қателіктері, қосу сұлбалары, негізгі сипаттамалары көрсетілген.
Үшінші және төртінші бөлімдерде параметрлік және генераторлық датчиктердің физикалық негіздері, құрылғысы және жұмыс принциптері, негізгі метрологиялық сипаттамалары түсіндірілген.
Бесінші бөлімде микропроцессорлық техника негізінудегі көп қызмет атқарушы өлшеу жүйелерінің құрылу мысалдары келтірілген.
1 бөлім
ФИЗИКАЛЫҚ ШАМАЛАРДЫ ӨЛШЕУДІҢ ТЕХНИКА НЕГІЗДЕРІ
- Өлшеу құралдарының жіктелуі
Өлшеу құралдары (ӨҚ) - белгілі уақыт аралығында өлшемі тұрақты физикалық шама бірлігін беретін немесе сақтайтын қалыптастырылған сипаттамасы бар өлшелер жүргізуге арналған техникалық құрал. Бұл анықтамадан мынаны көруге болады: біріншіден, физикалық шама бірлігін сақтай алады; екіншіден, сақталған бірлік өлшемінің тұрақтылығы. Осы маңызды факторлар өлшедің орындалуын негіздейді, яғни техникалық құралды өлшеу құралына айналдырады. өлшеу процесі кезінде бірлік өлшемі қалыптыдан өзгерсе, онда мұндай құралмен қажетті дәлдіктегі өлшеу нәтижесін алу мүмкін емес. Яғни, осы мақсатқа арналған техникалық құрал өлшемі уақытқа байланысты өзгермейтін бірлікті сақтай алатын жағдайда ғана өлшей алады.
Өлшеу құралдары қолданылуына және метрологиялық қызметтеріне қарай жіктеледі.
ӨҚ қолданылуы бойынша өлшеуіштер, өлшеу түрлендіргіштері, өлшеу құралдары, өлшеу қондырғылары және өлшеу жүйелері болып жіктеледі.
Өлшеуіш - мәндері орнатылған бірлікте және қажетті дәлдікте өрнектелетін бір немесе бірнеше берілген өлшемдердің физикалық шамасын беретін немесе сақтайтын өлшеу құралы.
Өлшеуіш түрлері:
Өлшеу түрлендіргіштері - өлшенетін шаманы басқа шамаға немесе өңдеуге ыңғайлы өлшеу сигналына түрлендіретін қалыптандырыған сипаттамасы бар техникалық құрал. Бұл түрлену берілген дәлдікпен орындалуы қажет және түрлендіргіштің кіріс және шығыс шамалары арасындағы қажетті функционалдық тәуелсіздікті қаматамасыз етуі қажет. өлшеу түрлендіргіші қандай да бір өлшеу құралының құрамына кіруі мүмкін немесе олармен бірге қолданылуы мүмкін. өлшеу түрлендіргіштері әртүрлі белгілері бойынша жіктелуі мүмкін, мысалы:
түрлену сипатына қарай: электрлік шаманы электрлікке (кернеу бөлгіштер, өлшеу трансформаторлары және т. б. ) ; магниттік шамаларды электрлікке (өлшеу катушкалары, феррозондтар, Холл, Гаусс эффектілеріне негізделген түрлендіргіштер, асқын түрлендіргіштер, т. б) ; электрлік емес шамаларды электрлікке (термо және тензотүрлендіргіштер, реостаттық, индуктивтік, сыйымдылықтық, т. б. ) ;
өлшеу тізбегіндегі орны және қызметтері бойынша біріншілік, аралық, масштабтық және беруші түрлендіргіштер.
Өлшеу құралы - орнатылған диапазонда өлшенетін физикалық шама мәнін алуға арналған құрылғы.
Өлшеу құралдары төмендегідей жіктеледі:
өлшенетін шаманың тіркелу түріне қарай - аналогтық және сандық;
қолданылуы бойынша - амперметр, вольтметр, жиілікөлшегіш, фазометр, осциллограф және т. б. ;
арналуына қарай - электрлік және электрлік емесе (магниттік, жылулық, химиялық, т. б. ) физикалық шамаларды өлшейтін;
әрекеті бойынша - интегралдаушы қосындылайтын;
өлшенетін шама мәнін индикациялау тәсілі бойынша - көрсетуші, сигналдаушы және тіркеуші;
өлшенетін шаманың түрлену тәсілі бойынша - тікелей бағалау және салыстыру үшін;
құрастырмасы және қолданылуы бойынша - сымдық, тасымалдаушы стационар;
сыртқы әсерлерден қорғалғандығына байланысты - қарапайым, ылғал, газ, шаңнан қорғалған, герметикалық, жарылысқа қауіпсіз және т. б.
Өлшеу қондырғылары (ӨҚ) - бір жерде орналасқан бір немесе бірнеше физикалық шамаларды өлшеуге арналған функционалды біріккен өлшеуіштердің, өлшеу құралдарының, өлшеу түрлендіргіштерінің жиынтығы. Тексеруге қолданылатын өлшеу қондырғысы тексеруші қондырғы, ал эталон құрамына кіруші - эталондық қондырғы деп аталады. Кейбір үлкен өлшеу қондырғыларын өлшеу машиналары деп атайды, мысалы, электротехникалық материалдардың меншікті кедергісін өлшейтін, магниттік материалдарды сынақтан өткізетін.
Өлшеу жүйесі (ӨЖ) - бақыланатын объекттің бір немесе бірнеше физикалық шамаларын өлшеу мақсатымен объекттің әр нүктесінде орналасқан және әртүрлі мақсаттағы сигналдарды өңдейтін өлшеу құралдарының, ЭЕМ және т. б. техникалық құралдардың жиынтығы. Белгіленуі бойынша ӨЖ ақпараттық, бақылаушы, басқарушы және т. б. болып бөлінеді. Мысалы, радионавигациялық жүйе бір-бірінен қашық орналасқан кеңістікке келтірілген өлшеу-есептеуіш жиынтықтан тұратын түрлі объекттердің орналасқан жерін анықтау үшін қолданады.
Өлшеу-есептеуіш құралы (ӨЕҚ) - өлшеу жүйесінің құрамында нақты жұмыс атқаратын қосымша құралдар мен ЭЕМ-ның функционалды жиынтығы.
Метрологиялық қызметтері бойынша ӨЖ эталондар және жұмысшы өлшеу құралдары болып бөлінеді.
Физикалық шаманың эталондық бірлігі - бірлікті тудыратын немесе сақтап, ексеру сұлбасы бойынша төмен тұрған өлшеу құралдарына береті және эталонда орнатылған өлшеу құралы. Эталон құрастырмасы, оның қасиеттері және бірліктің туындау тәсілі берілген физикалық шама табиғатымен және берілген өлшеу облысында өлшеу техникасының даму деңгейімен анықталады. Эталон, кем дегенде, бір-бірімен тығыз байланысты маңызды белгілерге - өзгеріссіздікке, қайта өндіргіштікке және СЛИЧАЕМОСТЬ-ке ие болуы керек.
Өзгеріссіздік - ұзақ уақыт бойы физикалық шама бірлігін оның туындатқан өлшемінен өзгертпей устап тұратын эталон қасиеті. Мұндай жағдайда сыртқы әсерге тәуелді барлық өзгерістер нақты өлшенетіндей шамалардың белгілі функцияларымен қатаң анықталуы қажет. Бұл талаптардың iске асыруы физикалық тұрақты негiзделген табиғи эталондардың жасауын идеяға келтiрдi.
Қайта өндiрiнгiштiк - өлшеу техникасы дамуының қазiргi деңгей үшiн ең кiшi қателiгi бар физикалық шама бiрлiгiнiң көшiрмесiнiң мүмкiндiгi.
Сличаемость - өлшеу техникасы дамуының қазiргi деңгей үшiн ең жоғары дәлдiктегі екiншi эталондар, ең алдымен дәлдеу сұлбасы бойынша төменде тұрған басқа өлшеу құралдарының эталонымен салыстыруды қамтамасыз ететін мүмкiндiк.
Эталондар бағыну қатары бойынша халықаралық, алғашқы, екiншi эталондарға бөлшектенедi.
Халықаралық эталон - халықаралық келiсiм бойынша жаңадан өндiрiлетiн және сақталатын ұлттық эталондармен келісу үшін халықаралық негiз ретiнде қабылданған эталон. Халықаралық эталондар Парижге жақын Севре қаласындағы Халықаралық шаралар және салмақтар бюросында сақталады және әртүрлi елдердiң ең iрi метрологиялық лабораторияларының бастапқы эталондарымен салыстыру үшiн қызмет көрсетедi.
Алғашқы (ұлттық ) эталондар - ел үшiн бастапқы қызмет көрсететін ресми шешiммен танылған эталондар. Олар әр түрлi елдердiң ұлттық лабораторияларында сақталады және осы лабораторияларда екiншi эталондарды калибрлеу үшiн бұл арналған. Негiзiнде бұл анықтама «мемлекеттiк эталон» ұғымымен дәл келедi. Бұл мемлекеттiк эталон мен ұлттық эталон терминдерінің бiр ұғымды қамтып көрсететiні туралы куәландырады. Осы себептен «Ұлттық эталон» термині жеке мемлекеттерге тәуелдi эталондармен салыстыру кезінде, халықаралық эталонмен немесе бірнеше елдер қатарының «айналма» деп аталатын эталондарымен салыстыру кезінде қолданылады.
Екiншi эталондар - бiрлiк өлшемдерiн тiкелей бастапқы эталоннан алатын эталондар. Олар әр түрлi салалық сынау зертханаларында сақталады және бақылау және жұмыс эталондарын калибрлеу үшiн қолданылады.
Жұмыстық өлшеу құралдары - бұл өлшемдер тәжiрибесiнде қолданылатын және басқа өлшеу құралдарына физикалық шамалар өлшемін берумен байланысы жоқ өлшеу құралы. Жұмыстық өлшеу құралдары өз кезегiнде негiзгi және қосалқы болып бөлінеді.
Основное средство измерений - средство измерений той физической величины, значение которой необходимо получить в соответствии с измерительной задачей.
Негiзгi өлшеу құралдары - мәнi өлшеу мiндетiмен сәйкес алынуы керек физикалық шамаларды өлшеу құралы.
Қосалқы өлшемдер құралдары - қажетті дәлдікте өлшеу нәтижесін алу үшін өлшеу объектісіне физикалық шаманың тигізетін әсері ескерілетін өлшеу құралы (мысалы, газдың көлемдік шығынын өлшеу кезінде газ температурасын өлшейтін термометр) .
1. 2 Өлшеу құралдарының метрологиялық сипаттамалары
Барлық өлшеу құралдары өзара салыстыруға мүмкiндiк беретiн ортақ қасиеттерге ие: метрологиялық, қолдану кезiндегi, ақпараттық, тағы басқалар. ӨҚ жеке түрлері тиiстi нормативтiк-техникалық құжаттарда көрсетілетін ерекше қасиеттерге ие болады. Сондықтан метрологиялық мiнездемелерi бойынша қолданылатын өлшеу құралдарына енгізілетін қателік құраушыларын маңызды ерекшелеу және бағалануы қажет.
Өлшеу құралының метрологиялық мiнездемесi - өлшеу құралының нәтижесі мен қателіктеріне әсер ететін қасиеттердiң бiрi. ӨҚ әрбiр түрі үшiн өз метрологиялық мiнездемелерi орнатылады. Нормативтiк-техникалық құжаттармен орнатылатын метрологиялық мiнездемелер мөлшерленетiн, ал эксперименталдi анықталатын - нақты метрологиялық мiнездемелер деп аталады.
Метрологиялық мiнездемелерге өзгеру функциялары, өлшеу құралының қателігіі, сезгіштік, шкаланың бөлу бағасы, сезгіштік табалдырығы, өлшеу аралығы, көрсеткіш вариациясы, т. б. жатады. Олар дайындау кезінде қаншалықты шыдамды және пайдалануда тұрақты болуына ӨҚ көмегімен алынған нәтижелер дәлдiгi тәуелдi болады.
Түрлену функциясы (өрнектеудiң статикалық мiнездемесi) - өлшеу құралының шығатын және кiретiн сигналдарын информациялық параметрлердiң арасындағы функциялық тәуелдiлiгі. Өлшеу құралына қолданылатын өзгеру функциясы мен лсы құралға бекітілген ғылыми-техникалық құжаттамасы құралдың номиналды өзгеру функциясы деп аталады. Өрнектеудiң номиналды статикалық мiнездемесi кiріс шаманың мәнiн шығыс мән бойынша есептеуге мүмкiндiк бередi. Ол аналитикалық, кестелiк немесе график түрiнде беріле алады.
ӨЖ қателiгі - өлшеу құралының көрсеткіші және өлшенетiн шаманың (нақты ) шын мәнiнiң аралығындағы айырымды анықтайтын ең маңызды метрологиялық мiнездеме. Өлшеу үшін көрсеткіш ретінде оның номинал мәнi есептеледі.
ӨЖ сезгiштiгі - өлшенетiн шаманың өзгерiсіне әкелетін құралдың шығыс сигналының қатынасын анықтайтын өлшеу құралының қасиетi. Абсолюттi және салыстырмалы сезгiштiк болып бөлінеді. Абсолюттi сезгiштiк мына формула бойынша анықтайды
(1. 1)
Салыстырмалы сезгiштiк мына формула бойынша анықтайды
,
мұндағы
Ү -
шығыстағы
сигнал өзгерісі,
Х
- өлшенетін шама өзгерісі,
X - өлшенетін шама
.
Сезгiштiктiк сызықты емес статикалық өрнектеулерде X-тен, сызықтыда тұрақты.
Тұрақты сезгiштiкте шкала өлшегiш аспаптарында бiр қалыпты, яғни көршi межелiк бөлiнiстерiнiң арасындағы қашықтық бiрдей.
Шкала бөлiгiнiң құны (тұрақты құрал) - ӨЖ-нің екi көршi межелiк белгiлерiне сәйкес шама мәнiнiң айырымы. Бiрдей өлшемдi межелiкті құралдардың бөлу бағасы тұрақты болады. Бiрқалыпты емес межелiгi бар құралда бөлу құны шкаланың әртүрлi бөлiмшелерiнде әртүрлі, және осы жағдайда бөлудiң ең төменгi құны мөлшерленеді. Шкала бөлiгiнiң құны құралдың бiр межелiк бөлiнiсіне келетiн өлшенетін шама бiрлiгінің санына тең, және сонымен бiрге абсолюттi сезгiштiк арқылы анықтала алады:
. (1. 2)
Сезгiштiк табалдырығы - берілген құралмен оның өлшемінің өзгерісі іске асатын мәннен бастап физикалық шаманың өзгерiсінiң ең кiшi мәнi. Сезгiштiк табалдырығы кiріс шама бiрлiктерiмен өрнектеледі.
Өлшем ауқымы - ӨЖ қателігінің жіберілетін қателіктері аралықтарындағы шама облысы. астынан және үстiнен (сол жағында және оңнан солға) шектейтiн шама мәндерi сәйкесiнше өлшеу ауқымының төменгі және жоғарғы шектері деп аталады. Өлшеу дәлдігін жоғарылату үшін ӨЖ-нің өлшеу ауқымын бiрнеше төменгi диапазондарға бөлшектеуге болады. Бір диапазоннан екіншісіне өткенде негізгі қателіктің кейбір құраушылары азаяды, бұл өлшеу дәлдігін арттырады. Қателіктер қалыптастырылғанда әр диапазондардың өз қателік шектері жіберіледі. Бастапқы және соңғы шкала мәндерімен шектелетін аспаптың шкала мәндерінің облысы көрсеткіш диапазоны деп аталады.
Өлшеу нәтижелерін сандық код түрінде беретін өлшеу құралдары үшін кіші разрядты бірлік құны, шығыс код түрі (екілік, екілік-ондық) және код разрядтары саны көрсетіледі.
Өлшеу құралының зерттеу объектісінің жұмыс тәртібіне әсерін бағалау үшін кіріс толық кедергі Z вх көрсетіледі. Бұл кедергі зерттеу объектісінің пайдаланатын қуатына ықпал етеді.
Өлшеу құралына жіберілетін жүктеме шығыс толық кедергіге Z вых тәуелді. Шығыс кедергі кіші болған сайын өлшеу құралының жіберетін жүктемесі үлкен болады.
Көрсеткіштер вариациясы - өзгерiссiз сыртқы шарттарда құралдың шығыс белгiсiнiң ең үлкен вариациясы. Ол құралдардың түйiндерiндегi, механикалық және магниттi гистерезистiк элементтерде, т. б. үйкелiс және люфт әсерi болып табылады.
Шығу белгiсiнiң вариациясы - кiретiн шаманың тиiстi оңынан және сол жағынан кіретін мәні кезінде нақты мәнiне сәйкес келетін шығыс белгі мәндерi арасындағы айырым.
Динамикалық сипаттама , яғни ӨЖ-нің шығыс сигналының уақыт бойынша өзгеретін: кіріс сигнал параметрлері, сыртқы әсерлер, жүктемеге тәуелділігін анықтайтын өлшеу құрылғыларының инерциялық қасиеттерінің сипаттамасы. Оларға өлшеу құралының жұмысын көрсететін дифференциалды теңдеулер; ауыспалы және импульсты ауыспалы функция, амплитудалық және фазалық сипаттамалар, берiлiс функциясы жатады.
Өлшеу құралдарының динамикалық сипаттамасы динамикалық қателікті анықтайды. Өлшеу құралдарының динамикалық сипаттамасы - өзгермелі физикалық шаманың өлшеу кезінде пайда болатын қателігі.
Мөлшерленетiн метрологиялық мiнездемелер - нормативтiк құжатпен орнатылатын өлшеу құралдарының метрологиялық мiнездемелерiнiң жиынтығы. Осы жиынтықты құрайтын мөлшерленетiн метрологиялық сипаттамалар ӨЖ-нің нақты қасиеттерін қамтып көрсету тиiс және олардың номенклатурасы қойылған өлшеу міндетін орындау үшін қажетті ӨЖ-нің жұмыс шарттарында өлшеу қателігінің құраушысын бағалау үшін жеткілікті болуы қажет. ӨЖ-нің мөлшерлелетiн метрологиялық мiнездемелерiнiң ортақ тiзiмi, олардың ұсынысының формасы және мөлшерлеудiң әдiстерi ГОСТтармен бекiтiледi. Оған кiре алады:
• өлшеу шектерi, шкала шектері;
• аналогтық құралдың бiрдей өлшемдi межелiгiн бөлу немесе көпмәндi өлшемдi бөлуді бағалау, бiрқалыпты емес межелiк кезінде - ең төменгi бөлу бағасы;
• шығыс коды, код разрядтарының саны, ең кіші разрядты сандық ӨЖ-нің нақтылы бағасы;
• бiр мәндi өлшемнің номинал мәні, өлшеу түрлендiргiштерінің өрнектеуiнiң номиналды статикалық мiнездемесi;
• ӨЖ қателігі;
• аспаптың немесе түрлендіргіштің шығыс сигналының көрсеткіш вариациясы;
• өлшеу құралының толық кіріс кедергісі, өлшеу түрлендіргіштің толық шығыс кедергісі;
• өлшеу түрлендiргiшінің немесе өлшеуіштің шығыс сигналының информативтi емес параметрлерi;
• ӨЖ динамикалық мінездемесі; әсер ету функциясы.
Өлшеу құралдарын пайдалану кезінде метрологиялық мiнездемелерден басқа метрологиялық емес мінездемелер де маңызды: сенiмдiлiк көрсеткiштерi, электртөзімділік, оқшаулау кедергісі, климаттық және механикалық әсерлерге орнықтылық, жұмыс тәртiбiн орнату уақыты, тағы басқалар.
Өлшеу құралының сенiмдiлiгi - бұл берілген уақыт мерзімінде белгілі жұмыс жағдайларында ӨЖ-нің мөлшерленген мiнездемелерін сақтау қабілеті. Құрал сенiмдiлiгінің негiзгi белгiлері болып ықтималдық және орташа тоқтаусыз жұмыс істеу ұзақтығы есептеледі.
Бұзықсыз жұмыстың ықтималдығы белгілі уақыт ағымында құралдың ақауларының жоқтығының ықтималдығымен анықталады.
Средняя продолжительность - отношение времени работы прибора к числу отказов за это время.
Орташа ұзақтық - құралдың жұмыс уақытының осы уақыттағы ақаулар санына қатынасы
.
1. 3 Өлшеу жүйелері
Өлшеу жүйесінің негізгі бөліктері
Негізінен ӨЖ 3 негізгі бөліктен тұрады деуге болады:
Сезгiш элемент немесе Датчик - өлшенетiн шамамен сандай сабақтас сигналды беретін элемент. Мұндай элементтер өлшелетiн объект туралы мәлiметтердi алады және оның түрiн өлшенетiн шаманың қалған бөліктеріне өлшеу жүйесінің сандық мәнiн алу мақсатымен түсiнiктi етіп өзгертедi.
Сезгiш элементтен сигнал алатын және өлшеу жүйесiнiң мәлiметiн бейнелеу блогының талабына сай түрге өзгертетiн Сигнал түрлендiргiшi . Сигнал түрлендiргiшi өз кезегінде үш элементтерден тұрады: сигналды сезгіш элементінен бейнелеуге ыңғайлы физикалық түрге өзгертетін сигнал құрастырғыш; мысалы, сигналдың сапасын жақсартады, мысалы оны күшейтетін сигналдық процессор ; және бейнелеу құрылғысына дейiнгі кейбiр қашықтыққа сигналды беру үшiн сигнал хабарлағышы.
Бейнелеу құрылымы - өлшеу жүйесiнiң шығыс мәлiметi көрсетiлетiн элемент. Бұл элемент сигнал түрлендiргiшiнен мәлiметтi алады және оны адам шәкiл бойынша жылжымалы жебе тәрiздi нұсқағыштың түрiнде белгiлей алатын түрiнде ұсынады.
Сайып келгенде, өлшеу жүйесi өз кезегiнде, бейнелеу құрылымымен тұйықталған сигнал түрлендiргiшімен қосылған датчиктен тұрады. Бұл 1. 1-шi суретте көрсетілген блок-схема түрінде бола алады.
Рис. 1. 1 Өлшеу жүйесінің жалпы түрі
Жүйенің беріліс функциясы
Тұрақты шарттарда жүйенiң берiлiс функциясы - шығыс сигналдың кіріс сигналға қатынасы:
Беріліс функциясы:
.
Өлшеу жүйесі датчиктен, сигнал түрлендіргіштен және бейнелеу құрылымынан тұруы мүмкін. (1, 2-сурет) . Бұл элементтердің әрбірінің өз беріліс функциясы болады.
Рис. 1. 2. Өлшеу жүйесінің беріліс функциясы
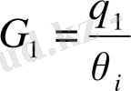
Сонымен, датчик үшін - кіріс сигналы θ i және шығыс сигналы θ 1 беріліс функциясы G 1 сигнал түрлендіргіші үшін кіріс болып есептеледі:
,
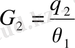
Сигнал құраушысы үшін - G 2 беріліс функциясының кіріс сигналы θ 1 және шығыс сигналы θ 2 :
,
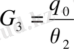
Ал бейнелеу құрылымы үшін - кіріс сигналы θ2 және шығыс сигналы θ 0 G 3 беріліс функциясы
.
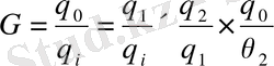
Сонда барлық өлшеу жүйесі үшін беріліс функциясы мына түрде жазылады:
,
.
Бағдарламаланатын құралдар
Өлшеу жүйелеріне қолданылатын «бағдарламанатын» термині жүйеге микропроцессор немесе компьютер қосылған дегенді білдіреді. «Жай» (бағдарланбайтын) термині жүйеде ешқандай микропоцессор жоқ кезде қолданылады. Жай аспаптарда жүйе тек шамаларды өлшейді, ал адам алынған деректерді өңдеуі қажет. Бағдарламаланатын аспаптарда тек өлшеу ғана емес, сондай-ақ өңдеу жұмыстары да жүреді.
Калибрлеу
Калибрлеу - бұл бейнелеу құрылғысының шкаласына белгі қою немесе датчик белгілі бір жағдайда тұрғанда бүрын калибрленген (стандарт) жүйеге сәйкес өлшеу жүйесін тексеру процесі.
Барлық басқа стандарттар туындайтын негізгі стандарттар біріншілік эталондар болып табылады. Біріншілік эталондар халықаралық келісіммен анықталған және ұлттық мемлекеттік мекемелерде сақталады. 7 біріншілік және 2 қосымша эталондар бар. 7 біріншілік эталондар:
1. Масса. Килограмм биіктігі мен диаметрі бірдей платина (90%) және иридий (10%) балқымасынан жасалған цилиндр массасы ретінде анықталады және Севрде (Франция) Халықаралық Өлшем және Салмақ Бюросымен сақталады.
2. Ұзындық. Метр 1/299792458 доли секундқа тең уақытта вакуумде жарықтың жүріп өткен жолының ұзындығы ретінде анықталады.
3. Уақыт. Секунд белгілі резонанс кезінде Цезий 133 атомының
шығаратын сәулелену периодының 9192631 ұзақтығы ретінде нықталады.
4. Ток. Ампер вакуумде бір бірінен 1 метр қашықтықта орналасқан өте аз дөңгелек қима мен 2 параллель өткізгіштерден өтетін электрлік ток туғызатын күш ретінде анықталады, ол өткізгіштер арасында әр 1 метр сайын 2·10 -7 Н-ға тең күш туғызады.
5. Температура. Кельвин (К) 273. 16 К-ге тең үштік су нүктесінің температурасымен анықталады (барлық судың 3 фазасы - сұйық, бу тәрізді және қатты тепе-теңдікте болғанда.
6. жарық күші . Кандела (свеча) 1 стерадианға 540·10 12 жиілікпен және 1/683 Вт қуатпен монохроматты сәулелену жіберетін бағыттағы жарық күшімен анықталады.
7. з ат саны. Заттың санының өлшемі - моль. 1 мольде 12-көміртегінің 0. 012 кг изотобы бар элементар бөлшектер бар.
«Элементар компоненттер» термині атом, молекула, иона, электрон және басқа бөлшектерге қатысты айтылады.
2 қосымша эталондар:
1. жазық бұрыш. Радиан - бұл доғасы радиус ұзындығы бойынша тең шеңберлердің 2 радиусы арасындағы жазық бұрыш.
2. денелік бұрыш. Стерадиан - сфераның радиусы ұзындығы бойынша тең қабырғасымен квадрат ауданына тең аудан киятын сфера ортасында ұшымен конустың денелік бұрышы.
Бұл біріншілік эталондар ұлттық эталондарды тек эталондық өлшеу бірліктерінде ғана емес, олардын туындаған бірліктерде де қолданылады. Мысалы, манганиннен жасалған сым орамының кедергі эталоны ұзындық, масса, уақыт және токты өлшеу эталондық бірліктеріне негізделген. әдетте бұл ұлттық эталондар өз кезегінде метрологиялық орталықтарда сақталып, өндірісте калибрлік жұмысарға қолданылатын үлгілік өлшемдерлі анықтауға қолданылады. Мұндай калибрлік эталондар аспаптарды үзбей калибрлеу үшін тікелей өндірісте кездеседі.
1-кестеде жиі қолданылатын өлшем бірліктердің тізімі мен олардың негізгі өлшем бірліктермен қатынасы көрсетілген.
1-кесте
Туынды бiрлiктер
... жалғасы- Іс жүргізу
- Автоматтандыру, Техника
- Алғашқы әскери дайындық
- Астрономия
- Ауыл шаруашылығы
- Банк ісі
- Бизнесті бағалау
- Биология
- Бухгалтерлік іс
- Валеология
- Ветеринария
- География
- Геология, Геофизика, Геодезия
- Дін
- Ет, сүт, шарап өнімдері
- Жалпы тарих
- Жер кадастрі, Жылжымайтын мүлік
- Журналистика
- Информатика
- Кеден ісі
- Маркетинг
- Математика, Геометрия
- Медицина
- Мемлекеттік басқару
- Менеджмент
- Мұнай, Газ
- Мұрағат ісі
- Мәдениеттану
- ОБЖ (Основы безопасности жизнедеятельности)
- Педагогика
- Полиграфия
- Психология
- Салық
- Саясаттану
- Сақтандыру
- Сертификаттау, стандарттау
- Социология, Демография
- Спорт
- Статистика
- Тілтану, Филология
- Тарихи тұлғалар
- Тау-кен ісі
- Транспорт
- Туризм
- Физика
- Философия
- Халықаралық қатынастар
- Химия
- Экология, Қоршаған ортаны қорғау
- Экономика
- Экономикалық география
- Электротехника
- Қазақстан тарихы
- Қаржы
- Құрылыс
- Құқық, Криминалистика
- Әдебиет
- Өнер, музыка
- Өнеркәсіп, Өндіріс
Қазақ тілінде жазылған рефераттар, курстық жұмыстар, дипломдық жұмыстар бойынша біздің қор #1 болып табылады.

Ақпарат
Қосымша
Email: info@stud.kz