Айнымалы электр тогы


Конспект
Еркін тербелістер тез өшеді, сондықтан олар көп қолданылмайды. Керісінше, өшпейтін тербелістер әртүрлі салаларда кеңінен қолданылады. Төменде айнымалы токты өндіру және электр энергиясын алыс қашықтықтарға тарату туралы айтылады. Тізбекте орныққан еріксіз электромагниттік тербелістерді айнымалы ток деп атайды. Тізбектегі кернеудің гармониялық өзгерістері өткізгіштердің ішіндегі электр өрісі кернеулігінің гармониялық өзгерісін туғызады. Олай болса, ток күші де соған сәйкес өзгереді.
Айнымалы электр тогы генераторының қарапайым үлгісі:
Магнит ағыны [, мұндағы α - векторымен рамаға тұрғызылған нормаль арасындағы бұрыш] . Рама айналғанда α бұрышын өзгерткенде, магнит ағыны да өзгереді. Электромагниттік индукция құбылысы әсерінен рамада айнымалы индукциялық ток пайда болады.

Электромагниттік индукция заңы бойынша индукция ЭҚК-ші:

индукция ЭҚК-нің амплитудасы.
Рама N орамнан тұрса, онда .
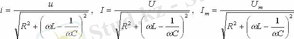
u ‒ айнымалы токтың кернеуінің өзгерісі,
U m кернеудің амплитудалық мәні.

i ‒ ток күшінің өзгерісі, мұндағы φ ы ‒ ток күші мен кернеудің тербелістері арасындағы фаза бойынша ығысуы,
I m ток күшінің амплитудалық мәні.
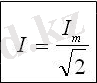
Ток күші мен кернеудің әсерлік мәндері
Айнымалы ток күшінің әсерлік мәні I айнымалы ток өткізгіште қанша жылу мөлшерін бөліп шығарса, өткізгіште сонша уақытта дәл сондай жылу мөлшерін бөліп шығаратын тұрақты ток күшіне тең



Айнымалы ток тізбегіндегі резонанс
Сыртқы айнымалы кернеудің жиілігі тербелмелі контурдың меншікті жиілігімен бірдей болғанда, ток күшінің еріксіз тербеліс амплитудасының кенет арту құбылысын электрлік тербелмелі контурдағы резонанс деп атайды. (Бұл құбылыс радиобайланыста таратушы байланыстың жиілігіне келтіру үшін қолданылады)

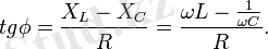
және
Айнымалы ток тізбегінде
сыйымдылық кедергі
болғанда Ом заңы орындалады және кернеуден ток күшінің тербеліс фазалары
-ге озады:
және
себебі
‒ айнымалы ток тізбегіндегі
сыйымдылық кедергі
(реактивті кедергі) .
Айнымалы ток тізбегінде
индуктивтілік кедергі
болғанда Ом заңы орындалады және кернеуден ток күшінің тербеліс фазалары
-ге қалады:
және
‒ айнымалы ток тізбегіндегі
индуктивтілік кедергі
(реактивті кедергі) . Айнымалы ток тізбегінде
толық кедергі
болғанда Ом заңы орындалады
Кернеу мен ток күшінің тербеліс фазалары тізбектің әр бөлігінде әртүрлі болады. Актив кедергідегі кернеудің тербеліс фазасы ток күшінің тербеліс фазасымен сәйкес келеді:
сиымдылық кедергіде кернеуден ток күшінің тербеліс фазалары
-ге озады:
индуктивтілік кедергіде кернеуден ток күшінің тербеліс фазалары
-ге қалады:
‒ айнымалы ток тізбегіндегі
толық кедергі
.
Айнымалы токтың жасайтын пайдалы жұмысын бағалау үшін қуаттың бір периодтағы орташа мәнін алады
мұндағы
мәндерін орындарына қойып, қуаттың орташа мәнін ток пен кернеудің әсерлік мәні арқылы өрнектейміз.
‒ айнымалы ток тізбегіндегі орташа қуат, cosφ=R/Z ‒ қуат коэффициенті .
25. 05. 2014 nurddl
0 Comment
Электр және магнетизм
Бiр-бiрiмен тiзбектей жалғанған актив кедергiден, сыйымдылықтан және индуктивтi катушкадан тұратын айнымалы токтың толық тiзбегiн қарастыралық ( 2. 8 - сурет ) .

Егер осы тiзбектiң ұшына жиiлiгi ω, ал амплитудасы U m -ға тең бола отырып гармониялық заңдылықпен өзгеретiн айнымалы кернеуiн берсек, онда бұл тiзбекте
I = I m cos ωt (2. 23)
заңдылығымен өзгеретiн ток күшiнiң ерiксiз тербелiсi пайда болады. Ендi осы ток күшi мен кернеудiң тербелiсi амплитудаларының арасындағы байланысты, басқаша айтқанда осы айнымалы ток тiзбегi үшiн Ом заңын табалық.
Тiзбектегi толық кернеудiң лездiк мәнi осы тiзбектiң әрбiр бөлiгiндегi кернеулердiң түсуiнiң қосындысына тең, яғни
Тiзбектегi толық кернеудiң амплитудасын оның бөлiктерiндегi кернеулердiң амплитудалары арқылы өрнектеу үшiн векторлық диаграмма деп аталатын әдiстi қолдану ыңғайлы.

Бұл әдiс тiзбек бөлiктерiндегi кернеулердiң фазаларының әртүрлi екенiн ескеруге мүмкiндiк бередi. Диаграмманы тұрғызу барысында алдымен тiзбектегi токка сәйкес бағытты таңдап алады да соған қатысты кернеулердiң амплитудалық мәндерiн олардың фазалар айырымын ескере отырып салады. Осылай тұрғызылған диаграмма 2. 9 - суретте келтiрiлген. Бұл суреттен тiзбектегi толық кернеудiң амплитудасы (үшбұрыштар үшiн Пифагор теоремасын пайдаланғанда)

екенi көрiнiп тұр. Онда, айнымалы ток тiзбегi үшiн Ом заңы

түрiнде жазылады. Бұл өрнектегi

шамасы тiзбектiң толық кедергiсi болып табылады.
Векторлық диаграммадан кернеу тербелiсiнiң фазасы ωt + φ екенi көрiнiп тұр. Сондықтан, кернеудiң лездiк мәнi
Ал кернеу мен токтың лездiк мәндерiнiң арасындағы фазалар айырымы

Айнымалы ток тiзбегiндегi қуаттың лездiк мәнi p = I 2 R = I m R cos 2 ωt. Бiр тербелiс периоды кезiндегi cos 2 ωt функциясының орташа мәнi 1/2 болғандықтан тiзбектегi қуаттың орташа мәнi

АЙНЫМАЛЫ ТОК , к е ң м а ғ ы н а с ы н д а - бағыты мен шамасы периодты түрде өзгеріп отыратын электр тогы. Ал т е х н и к а д а А. т. деп ток күші мен кернеудің период ішіндегі орташа мәні нөлге тең болатын периодты ток түсініледі. Ток күші (және кернеу) өзгерісі қайталанатын уақыттың (сек-пен берілген) ең қысқа аралығы период (Т) деп аталады (1-сурет) . А. т-тың тағы бір маңызды сипаттамасы - жиілік (¦) . Дүние жүзі елдерінің көпшілігіндегі және Қазақстандағы электр энергет. жүйелерде пайдаланылатын стандартты жиілік - 50 Гц, ал АҚШ-та 60 Гц. Байланыс техникасында жиілігі жоғары (100 кГц-тен 30 ГГц-ке дейін) А. т. пайдаланылады. Арнайы мақсат үшін өндіріс орындарында, медицинада және ғылым мен техниканың басқа салаларында қр түрлі жиіліктегі А. т., сондай-ақ импульстік ток қолданылады. Ток кернеуін кемітпей түрлендіруге болатындықтан іс жүзінде А. т-ты электр энергиясын жеткізуде және таратуда кеңінен пайдаланады. А. т-тың үш фазалық жүйесі жиі қолданылады. Тұрақты токқа қарағанда А. т-тың генераторлары мен қозғалтқыштарының құрылымы қарапайым, жұмысы сенімді, мөлшері шағын әрі арзан. А. т. қуелі шала өткізгіштер арқылы, ал одан кейін шала өткізгішті инверторлар көмегімен жиілігі реттелмелі басқа А. т-қа түрлендіріледі. Бұл жағдай жылдамдығын бірте-бірте реттеуді талап ететін электр жетектерінің барлық түрі үшін қарапайым әрі арзан қозғалтқыштарын (асинхронды және синхронды) пайдалануға мүмкіндік береді. А. т. байланыс құрылғыларында (радио, теледидар, телефон т. б. ) кеңінен қолданылады. А. т. айнымалы кернеу арқылы өндіріледі. Ток жүріп тұрған сым төңірегінде пайда болатын айнымалы электрлі магниттік өріс А. т. тізбегінде энергия тербелісін тудырады, яғни энергия магнит немесе электр өрісінде периодты түрде бірде жиналып, бірде электр энергиясы көзіне қайтып отырады. Энергияның тербелуі А. т. тізбектерінде реактивті ток тудырады, ол сым мен ток көзіне артық ауырлық түсіреді және қосымша энергия шығынын жасайды. Бұл - А. т. энергиясын берудегі кемшілік. А. т. күші сипаттамасының негізіне А. т-тың орташа жылулық қсерін, осындай ток күші бар тұрақты токтың жылулық қсерімен салыстыру алынған. А. т күшінің ( Қ ) осындай жолмен алынған мәні қ с е р л і к м қ н (немесе эффективтік) деп аталады әрі ол период ішіндегі ток күші мәнінің матем. орташа квадратын көрсетеді. А. т-тың қсерлік кернеу ( U ) мәні де осы сияқты анықталады. Ток күші мен кернеудің осындай қсерлік мқндері А. т-тың амперметрлері және вольтметрлері арқылы өлшенеді.
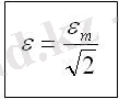
Тәжірибеде жай және неғұрлым маңызды жағдайда А. т. күшінің лездік мәні ( і ) синусоидалық заңға сәйкес белгілі бір уақыт ( t ) ішінде мынадай заң бойынша өзгереді: і = І m sіn(wt+a), мұндағы І m - ток амплитудасы, w= 2p¦- токтың бұрыштық жиілігі, a - бастапқы фаза. Сондай жиіліктегі кернеу де синусоидалық заң бойынша өзгереді: u = U m sіn(w t +b), мұндағы - кернеу амплитудасы, b - бастапқы фаза (2-сурет) . Мұндай А. т-тың қсерлік мқндері мынаған тең болады: Қ = Қ m /0, 707 І m , U = U m /0, 707 U m .
А. т. тізбегінде индуктивтілік не сыйымдылықтың болуына байланысты ток күші ( і ) мен кернеу ( u ) арасында j = b - a фаза ығысуы пайда болады. Фаза ығысуы салдарынан ваттметрмен өлшенетін А. т-тың орташа қуаты ( P ) қсерлік ток мәні мен әсерлік кернеу мәнінің көбейтіндісінен кем болады: P = ІU cosj. Индуктивтілік те, сыйымдылық та болмайтын тізбекте ток фаза бойынша кернеумен сқйкес келеді (3-сурет) . Токтың әсерлік мәндеріне арналған Ом заңы мұндай тізбекте тұрақты ток тізбегіндегідей пішінде болады: І = U / r , мұндағы r - тізбектегі актив қуат ( P ) бойынша анықталатын тізбектің актив кедергісі ( r = P / І 2 ) .
Тізбекте индуктивтілік ( L ) болған жағдайда А. т. сол тізбекте өздік индукцияның ЭҚК-н (электр қозғаушы күші) индукциялайды: e L = - L Һ dі / dt=- w LІ m cos(w t +a) =w LІ m sіn(w t +a-p/2) . Өздік индукцияның ЭҚК-і ток өзгерісіне кері қсер етеді, сондықтан тек индуктивтілік бар тізбекте ток фаза бойынша кернеуден ширек периодқа, яғни j=p/2-ге қалыс қалады (4-сурет) . e L -дің әсерлік мәні: E L = І w L = Іx L , мұндағы x L = w L - тізбектегі и н д у к т и в т і к к е д е р г і. Мұндай тізбекте Ом заңы былайша өрнектеледі: І = U / x L = U /w L .
Сыйымдылық ( С ) шамасы u -ге тең кернеуге қосылғанда, оның заряды: q = Cu . Периодты түрде өзгеріп отыратын кернеу периодты түрде өзгеретін зарядты тудырады, сөйтіп мына формуламен анықталатын сыйымдылық тогі ( і ) пайда болады: і = dq / dt = C Һ du / dt =w CU m cos(w t +b) =w CU m sіn(w t +b+p/2) . Сөйтіп сыйымдылық арқылы өтетін синусоидалы А. т., фаза бойынша оның қысқыштарындағы кернеуден ширек периодқа, яғни j=-p/2 озып кетеді (5-сурет) . Мұндай тізбектегі әсерлік мәндер мына қатынаспен байланысты: І =w CU = U / x С , мұндағы x L =1/w C - тізбектің с ы й ы м д ы л ы қ к е д е р г і с і.
Егер А. т. тізбегі тізбектей жалғастырылған r , L және C -тен тұрса, онда оның т о л ы қ к е д е р г і с і мынаған тең болады: z мұндағы w L -1/w C . А. т. тізбегіндегі р е а к т и в т і к е д е р г і. Осыған сқйкес, Ом заңы мына түрде өрнектеледі: І = U / z=U/ . Ал ток пен кернеу арасындағы фаза ығысуы тізбектегі реактивті кедергінің актив кедергіге қатынасымен анықталады: tgj= x / r . Синусоидалы А. т. тізбегіндегі есепті шешу векторлық диаграмма арқылы жеңілдетіледі. Квазистационар А. т-тың күрделі тізбектегі есептерін шешуге Кирхгоф ережесі қолданылады. Мұндайда комплексті шамалар әдісі (белгілер қдісі) пайдаланылады. Ол қдіс геометриялық операцияларды алгебралық формада А. т-тың векторы арқылы өрнектеуге және А. т. тізбектері есептеріне тұрақты ток тізбектерінің барлық қдістерін қолдануға мүмкіндік береді. Электр энергет. жүйелердегі А. т. қдетте синусоидалы болып келеді. Керісінше болған жағдайда оны азайту шаралары жасалады. Бірақ электрлік байланыс тізбектерінде, шала өткізгіштер мен электрондық құрылғылардағы А. т-тың синусоидалы болмайтындығы жұмыс процесінің өзінің қсерінен болады.
Әдеб. : Теоретические основы электротехники, 3 изд., ч. 2, М., 1970; Н е й м а н Л. Р., Д е м и р ч а н К. С., Теоретические основы электротехники, т. 1-2, М. -Л., 1966; К а с а т к и н А. С., Электротехника, 3 изд., М., 1974.
Айнымалы ток тізбегі үшін Ом заңыБір-біріне тізбектей жалғанған индуктивтігі
катушкадан, сыйымдылығы
конденсатордан және кедергісі
резистордан тұратын тізбектің қысқыштарына
айнымалы кернеу түсірейік (2. 15-сурет) . Ток күшінің
лездік мәні де,
амплитудалық мәні де тізбектей жалғанған тізбектің барлық бөлігінде бірдей болады. Ал ток көзінің полюстеріндегі лездік кернеу оның жеке бөліктеріндегі кернеудің лездік мәндерінің қосындысына тең
(2. 14) Тізбектей жалғанған тізбектің барлық бөлігіндегі токтың тербелісі
заңы бойынша өзгерсін. Қарастырып отырған тізбекте еріксіз электромагниттік тербелістер, яғни айнымалы ток пайда болады. Резистордағы, конденсатордағы және катушкадағы кернеудің амплитудаларын сәйкесінше
және
деп белгілеп, оларды векторлық диаграммаға салайық (2. 15-сурет) . Ток күшінің амплитудасын горизонталь ось бойымен бағытталған вектор түрінде кескіндейік. Онда горизонталь ось пен әрбір кернеу амплитудасы векторының арасындағы бұрыш ток күшімен ғана сәйкес кернеу тербелістерінің фазалық айырымына тең болады. Активті кедергідегі кернеудің тербеліс фазасы ток күшінің тербеліс фазасымен сәйкес келеді, ал конденсаторда кернеудің тербелісі ток күшінің тербелісінен фаза бойынша
-ге озады. Сондықтан (2. 14) өрнегін былай жазуға болады:
![]()
![]()
Түсірілген кернеудің
амплитудасын векторлардың қосындысы ретінде табуға болады, яғни
2. 16-суреттен, барлық тізбектегі кернеудің амплитудасы Пифагор теоремасы бойынша
тең. Ом заңына сәйкес
және
сондықтан
осыдан
(2. 15) Бұл айнымалы токтың толық тізбегі үшін Ом заңы.
және
болғандықтан, (2. 15) формуласын былай жазуға болады.
![]()
кедергісін реактивті кедергі, ал
кедергісі айнымалы ток тізбегінің толық кедергісі деп аталады.
фазалар айырымын векторлық диаграмманы колданып анықтауға болады:
немесе
(2. 16) Ток пен кернеудің әсерлік мәндерін колдансақ, (2. 15) өрнегін былай жазуға болады:
Тізбекте конденсатор жоқ кездегі векторлық диаграмманы салайық (2. 17-сурет) . Бұл дербес жағдайда
![]()
![]()
Егер (2. 15) пен (2. 16) өрнектерінде
яғни
деп алсақ, соңғы екі формула шығады. Олай болса, тізбекте конденсатор жоқ болса, сыйымдылық
нөлге емес, шексіздікке тең екен. Шынында да, егер тізбектегі конденсатордың астарларын бір-біріне шексіз жақындатса, конденсаторды жоқ деп есептеуге болады. Ал жазық конденсатордың сыйымдылығы
Бұл формуладан егер
болса,
шығады.
Генератордан алынатын энергия тек активті кедергіде ғана жылу энергиясы түрінде бөлініп шығады. Реактивті кедергіде энергияжұтылмайды. Реактивті кедергіде периодты түрде электр өрісінің энергиясы магнит өрісінің энергиясына айналып, түрленіп отырады. Периодтың бірінші ширегінде, конденсатор зарядталып жатқанда энергия тізбекке электр өрісінің энергиясы түрінде түсіп, жинақталады. Ал периодтың келесі ширегінде, конденсатор разрядталып жатканда, энергия қайтадан магнит өрісінің энергиясы түрінде желіге қайтарылады. [2] Тагы да R=p*l/S - ке тең болады.
31. Кернеу резонансы. Резонанстық жиілік .
Айнымалы ток тізбегінің толық кедергісі
өрнегімен анықталатыны белгілі болды. Бұл формуладағы индуктивтік кедергі мен сыйымдылық кедергі бір-біріне тең болса, толық кедергі
ең аз мәнге ие болатынын көреміз. Сонымен, егер
(2. 17) болса,
. Мұндай жағдайда ток пен кернеудің тербеліс фазаларының айырымы:
яғни ток пен кернеу тербелістері бірдей фазада жүреді. Активті кедергідегі кернеу тізбекке түсірілген кернеуге тең
, ал конденсатордағы
кернеу мен катушкадағы
кернеу амплитудалары бір-біріне тең және фазалары қарама-қарсы. Ом заңы бойынша ток амплитудасы
Бұл өрнектен, егер активті кедергі
аз болса, ток күшінің амплитудасы өте үлкен мәнге ие болатынын көреміз. Жоғарыда сипатталған құбылыс электр тізбегіндегі резонанс деп аталады. Резонанс байқалу үшін тізбекке түсірілген кернеудің жиілігі (2. 17) өрнегін қанағаттандыру керек:
Біз активті кедергісі
идеал тербелмелі контурдың меншікті тербелістерінің жиілігі
өрнегімен анықталатынын білеміз. Олай болса, электр тізбегінде резонанс тізбекке түсірілген сыртқы периодты кернеудің жиілігі тізбектің меншікті жиілігіне тең болғанда байқалады
(2. 19-сурет) . Осы кезде катушкадағы индуктивтік кедергі конденсатордың сыйымдыльщ кедергісіне тең болады:
. Активті кедергі неғұрлым аз болса, ток күшінің амплитудасы соғұрлым үлкен.
![]()
2. 19-суретте
. Егер активті кедергі шексіз аз болса
→
, ток амплитудасы шексіз артады
→
. Активті, индуктивтік және сыйымдылық кедергілер тізбектей жалғанғанда байқалатын резонансты кернеулер резонансы немесе тізбекті резонанс деп атайды. Себебі резонанс кезінде токтың өсуімен қатар, катушка мен конденсатордағы кернеулер де күрт өседі. Тізбектей жалғанған кезде конденсатор мен катушкадағы кернеулер қарама-қарсы фазада тербеледі, ал тізбектің барлық элементі арқылы өтетін токтың бағыты бірдей, сондықтан
болғанда, яғни резонанс кезінде кез келген уақыт мезеті үшін
. Ал
екенін ескерсек, индуктивтік катушкадағы және конденсатордағы кернеу тербелістерінің амплитудасы былай есептеледі:
Сонымен,
Тербелмелі контурда
![]()
қатынасы орындалады, сондықтан конденсатор мен катушкадағы кернеулер тізбекке түсірілген кернеуден артық және
азайған сайын арта түседі. Жалпы, активті кедергісі
аз болғанда ғана резонанс құбылысын қарастырады. Активті кедергінің үлкен мәндерінде іс жүзінде резонанс байқалмайды (2. 20-сурет) . Кернеулер резонансын кандай да бір берілген жиіліктегі кернеу тербелістерін күшейту үшін пайдаланады. Кернеудің резонанстық өсуі резонанстық жиілікке жуық өте аз интервалда жүретін болғандықтан, көптеген сигнал ішінен жиілігі сол резонанстық жиілікке жуық бір ғана сигнал бөліп алынады. Мысалы, радиоқабылдағышта керекті толқынды осылайша іздейді. Катушкалары мен конденсаторлары бар электр жүйелерінің изолядияларын есептегенде де кернеулер резонансын ескеру керек, әйтпесе электр тесілулері болуы мүмкін. Механикалық тербелістердід резонансы сыртқы периодты күштің жиілігі тербелмелі жүйенің меншікті жиілігімен дәл келгенде байқалатынын білеміз. Механикалық тербелістерде үйкеліс тербелістердегі активті кедергінің рөлін атқарады. [1]
Айнымалы ток тізбегінде берілген уақыт мезетіндегі қуат ток күші мен кернеудіңлездік мәндерінің көбейтіндісіне тең.
Бұл өрнекті түрлендіріп
аламыз.
Бізге бір период ішіндегі орташа қуатты анықтау керек. Ол үшін уақытқа тәуелді тригонометриялық функциялардың орташа мәндерін табайық:
онда
Олай болса, қуатты анықтайтын өрнектегі екінші қосылғыштың орташа мәні нөлге тең. Сонымен, айнымалы ток тізбегінде орташа қуат:
Бұл теңдеуге ток пен кернеудің әсерлік мәндерін қойып, ыңғайлы болу үшін әсерлік мәндердің индексін жазбай
және
деп белгілесек,
шығады. (2. 18) мен (2. 19) өрнектеріндегі
шамасы қуат коэффициенті деп аталады. Осы өрнек айнымалы токтың қуаты тек ток күші мен кернеуге ғана емес, сонымен қатар олардың тербеліс фазаларының айырымына да тәуелді екенін көрсетеді.
Егер тізбектегі реактивті кедергі
болса,
, онда
, яғни бұрыннан белгілі тұрақты токтың қуатының формуласын аламыз. Ал тізбекте активті кедергі жоқ болса,
онда
. Тек реактиві кедергісі ғана бар тізбекте орташа қуат нөлге тең. (2. 18) формуласынан қуатты өсіру үшін
шамасын - қуат коэффициентін ұлғайту қажет екенін көреміз. Өндірістік қондырғыларда ең аз дегенде
болуы керек. [1]
Кiрiспе
... жалғасы- Іс жүргізу
- Автоматтандыру, Техника
- Алғашқы әскери дайындық
- Астрономия
- Ауыл шаруашылығы
- Банк ісі
- Бизнесті бағалау
- Биология
- Бухгалтерлік іс
- Валеология
- Ветеринария
- География
- Геология, Геофизика, Геодезия
- Дін
- Ет, сүт, шарап өнімдері
- Жалпы тарих
- Жер кадастрі, Жылжымайтын мүлік
- Журналистика
- Информатика
- Кеден ісі
- Маркетинг
- Математика, Геометрия
- Медицина
- Мемлекеттік басқару
- Менеджмент
- Мұнай, Газ
- Мұрағат ісі
- Мәдениеттану
- ОБЖ (Основы безопасности жизнедеятельности)
- Педагогика
- Полиграфия
- Психология
- Салық
- Саясаттану
- Сақтандыру
- Сертификаттау, стандарттау
- Социология, Демография
- Спорт
- Статистика
- Тілтану, Филология
- Тарихи тұлғалар
- Тау-кен ісі
- Транспорт
- Туризм
- Физика
- Философия
- Халықаралық қатынастар
- Химия
- Экология, Қоршаған ортаны қорғау
- Экономика
- Экономикалық география
- Электротехника
- Қазақстан тарихы
- Қаржы
- Құрылыс
- Құқық, Криминалистика
- Әдебиет
- Өнер, музыка
- Өнеркәсіп, Өндіріс
Қазақ тілінде жазылған рефераттар, курстық жұмыстар, дипломдық жұмыстар бойынша біздің қор #1 болып табылады.

Ақпарат
Қосымша
Email: info@stud.kz